Đáp án đề thi tuyển sinh lớp 10 môn Toán Thanh Hóa 2025
Sáng 4/6/2025, các thí sinh Thanh Hóa tiếp tục làm bài thi môn Toán kỳ thi tuyển sinh vào lớp 10 năm học 2025 - 2026. VnDoc gửi tới các bạn Đề thi tuyển sinh lớp 10 môn Toán tỉnh Thanh Hóa năm 2025 kèm đáp án tham khảo sau khi hết thời gian làm bài. Mời các bạn theo dõi.
Đề thi vào lớp 10 Toán Thanh Hóa
- 1. Đáp án đề thi vào 10 môn Toán Thanh Hóa 2025
- 2. Đề thi vào 10 môn Toán Thanh Hóa 2025
- 3. Đáp án đề thi vào 10 môn Toán Thanh Hóa 2024
- 4. Đề thi vào 10 môn Toán Thanh Hóa 2024
- 5. Đáp án đề thi vào 10 môn Toán Thanh Hóa 2023
- 6. Đề thi vào 10 môn Toán Thanh Hóa 2023
- 7. Đáp án đề thi vào 10 môn Toán Thanh Hóa 2022
- 8. Đề thi tuyển sinh lớp 10 môn Toán Thanh Hóa 2022
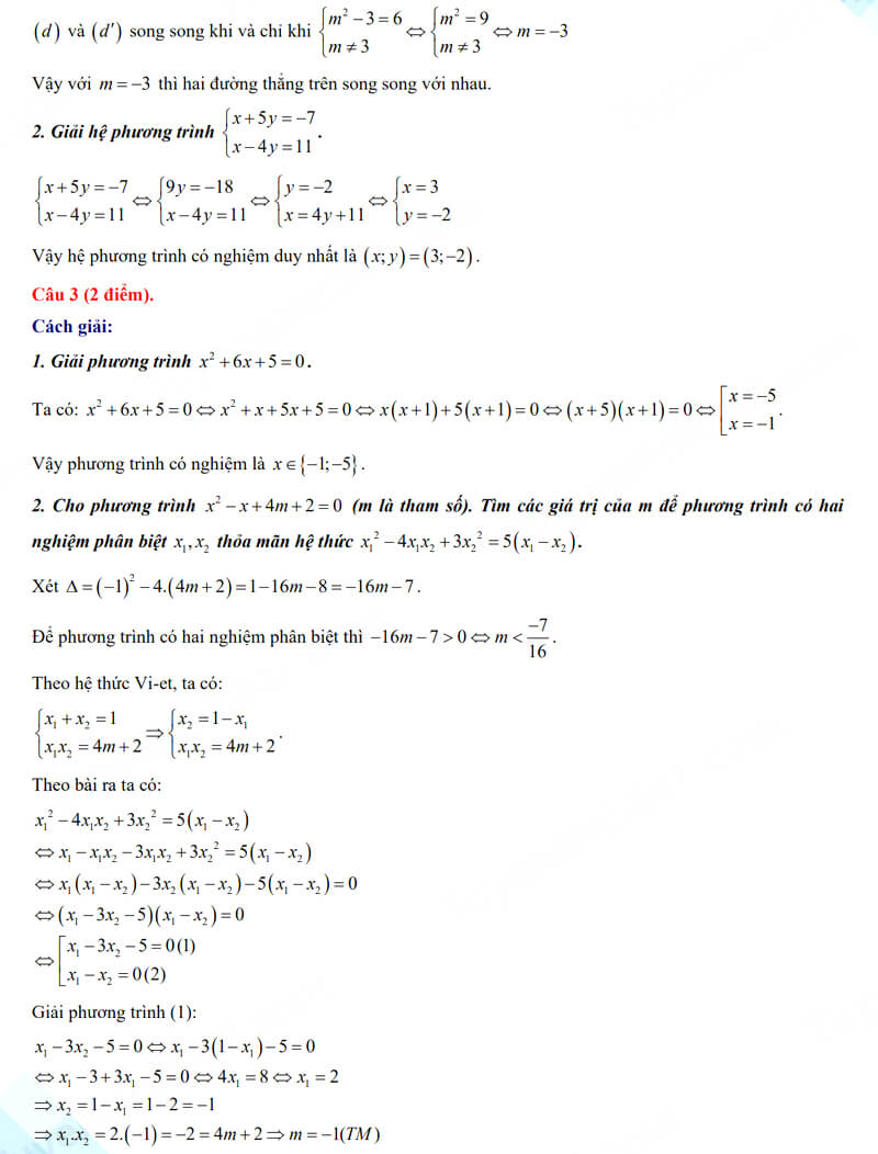
1. Đáp án đề thi vào 10 môn Toán Thanh Hóa 2025






2. Đề thi vào 10 môn Toán Thanh Hóa 2025


3. Đáp án đề thi vào 10 môn Toán Thanh Hóa 2024

Câu 2
1.





4. Đề thi vào 10 môn Toán Thanh Hóa 2024

Lịch thi vào lớp 10 tỉnh Thanh Hóa năm học 2024 - 2025:
|
Ngày |
Buổi |
Môn thi |
Thời gian làm bài |
Giờ phát đề thi |
Giờ bắt đầu làm bài |
|
13/6/2024 |
Sáng |
Ngữ văn |
120 phút |
7 giờ 55 |
8 giờ 00 |
|
Chiều |
Tiếng Anh |
60 phút |
13 giờ 55 |
14 giờ 00 |
|
|
14/6/2024 |
Sáng |
Toán |
120 phút |
7 giờ 55 |
8 giờ 00 |
5. Đáp án đề thi vào 10 môn Toán Thanh Hóa 2023



6. Đề thi vào 10 môn Toán Thanh Hóa 2023

Ngày 09/6/2023 và 10/6/2023: Thi theo lịch của Sở GD&ĐT Thanh Hóa
|
Ngày |
Buổi |
Môn thi |
Thời gian làm bài |
Giờ phát đề thi |
Giờ bắt đầu làm bài |
|
09/6/2023 |
Sáng |
Ngữ văn |
120 phút |
7 giờ 55 |
8 giờ 00 |
|
Chiều |
Tiếng Anh |
60 phút |
13 giờ 55 |
14 giờ 00 |
|
|
10/6/2023 |
Sáng |
Toán |
120 phút |
7 giờ 55 |
8 giờ 00 |
7. Đáp án đề thi vào 10 môn Toán Thanh Hóa 2022



8. Đề thi tuyển sinh lớp 10 môn Toán Thanh Hóa 2022
