Đáp án đề thi tuyển sinh lớp 10 môn Toán Đắk Lắk năm 2025
Đề thi vào 10 môn Toán năm 2025 có đáp án
Lớp:
Ôn vào 10
Môn:
Toán
Dạng tài liệu:
Đề thi
Phân loại:
Tài liệu Tính phí
Đề thi vào lớp 10 Toán Đắk Lắk năm 2025
- 1. Đáp án đề thi vào 10 môn Toán Đắk Lắk 2025
- 2. Đề thi vào 10 môn Toán Đắk Lắk 2025
- 3. Đáp án đề thi vào 10 môn Toán Đắk Lắk 2024
- 4. Đề thi vào 10 môn Toán Đắk Lắk 2024
- 5. Đáp án đề thi vào 10 môn Toán Đắk Lắk 2023
- 6. Đề thi vào 10 môn Toán Đắk Lắk 2023
- 7. Đáp án đề thi vào 10 môn Toán Đắk Lắk 2022
- 8. Đề thi tuyển sinh lớp 10 môn Toán Đắk Lắk 2022
Sáng 6/6, các thí sinh tỉnh Đắk Lắk tiếp tục hoàn thành bài thi môn Toán kỳ thi tuyển sinh vào lớp 10 năm 2025. VnDoc sẽ gửi tới các bạn Đề thi tuyển sinh lớp 10 môn Toán năm 2025 tỉnh Đắk Lắk kèm đáp án tham khảo sau khi hết thời gian làm bài. Mời các bạn theo dõi để so sánh đối chiếu với kết quả bài làm của mình nhé.
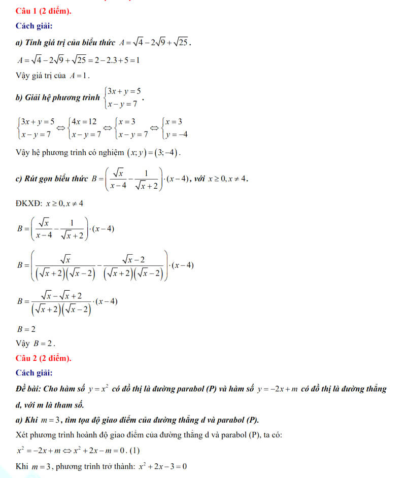
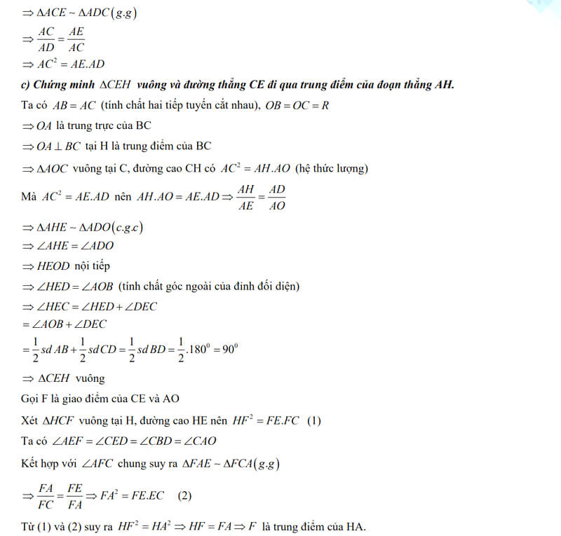
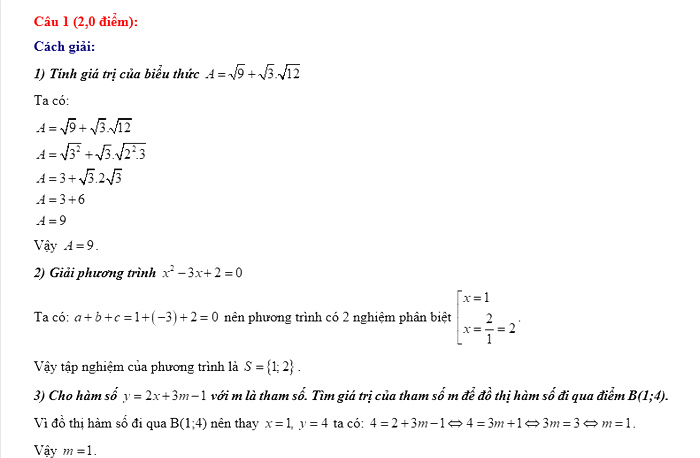
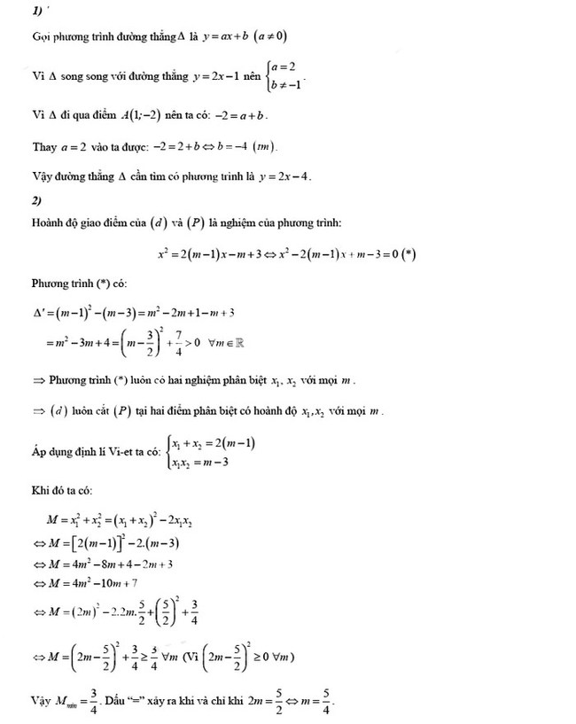
1. Đáp án đề thi vào 10 môn Toán Đắk Lắk 2025








2. Đề thi vào 10 môn Toán Đắk Lắk 2025


Lịch thi tuyển sinh lớp 10 Đắk Lắk năm học 2025-2026:

3. Đáp án đề thi vào 10 môn Toán Đắk Lắk 2024




4. Đề thi vào 10 môn Toán Đắk Lắk 2024

5. Đáp án đề thi vào 10 môn Toán Đắk Lắk 2023


6. Đề thi vào 10 môn Toán Đắk Lắk 2023

7. Đáp án đề thi vào 10 môn Toán Đắk Lắk 2022

Câu 3

Câu 4

Câu 5

8. Đề thi tuyển sinh lớp 10 môn Toán Đắk Lắk 2022
