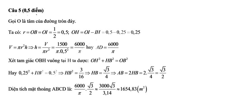
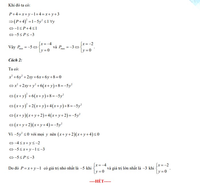
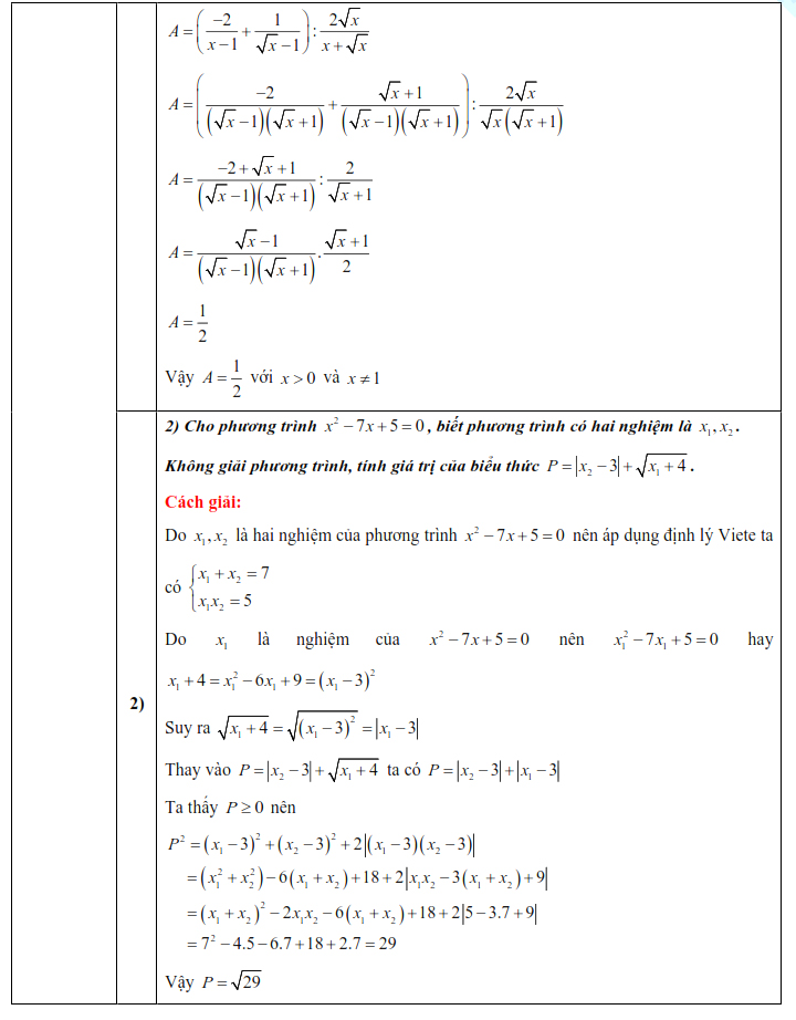
Đáp án đề thi tuyển sinh lớp 10 môn Toán tỉnh Kon Tum 2025
Đề thi vào 10 môn Toán 2025 Kon Tum
Lớp:
Ôn vào 10
Môn:
Toán
Dạng tài liệu:
Đề thi
Phân loại:
Tài liệu Tính phí
Sáng 3/6, các thí sinh tỉnh Kon Tum tiếp tục làm bài thi môn Toán kì thi tuyển sinh vào lớp 10 năm học 2024 - 2025. VnDoc gửi tới các bạn Đề thi tuyển sinh lớp 10 môn Toán tỉnh Kon Tum năm 2024 kèm đáp án tham khảo ngay sau khi kết thúc thời gian làm bài. Mời các bạn tham khảo chi tiết sau đây.
Đề thi vào lớp 10 môn Toán Kon Tum
1. Đáp án đề thi vào 10 môn Toán Kon Tum 2025





2. Đề thi vào 10 môn Toán Kon Tum 2025


3. Đề thi vào 10 môn Toán Kon Tum 2024

4. Đáp án đề thi tuyển sinh lớp 10 môn Toán Kon Tum 2024





5. Đề thi tuyển sinh lớp 10 môn Toán tỉnh Kon Tum năm 2022

6. Đáp án đề thi tuyển sinh lớp 10 môn Toán tỉnh Kon Tum năm 2022






