Đáp án đề thi tuyển sinh lớp 10 môn Toán Quảng Trị 2025
Đề thi tuyển sinh lớp 10 môn toán Quảng Trị
Lớp:
Ôn vào 10
Môn:
Toán
Dạng tài liệu:
Đề thi
Phân loại:
Tài liệu Tính phí
Đề thi tuyển sinh lớp 10 môn Toán tỉnh Quảng Trị
- 1. Đáp án đề thi vào lớp 10 môn Toán tỉnh Quảng Trị 2025
- 2. Đề thi vào lớp 10 môn Toán tỉnh Quảng Trị 2025
- 3. Đáp án đề thi vào lớp 10 môn Toán tỉnh Quảng Trị 2024
- 4. Đề thi vào lớp 10 môn Toán tỉnh Quảng Trị 2024
- 5. Đáp án đề thi vào 10 môn Toán Quảng Trị 2023
- 6. Đề thi tuyển sinh lớp 10 môn Toán Quảng Trị 2023
Sáng 30/5, các thí sinh tỉnh Quảng Trị bước vào kỳ thi tuyển sinh vào lớp 10 năm 2025 với bài thi môn Toán. VnDoc gửi tới các bạn Đề thi tuyển sinh lớp 10 môn Toán tỉnh Quảng Trị năm 2025 kèm đáp án tham khảo ngay sau khi kết thúc thời gian làm bài. Mời các bạn tham khảo chi tiết sau đây.
Xem thêm: Đáp án đề thi tuyển sinh lớp 10 môn Văn tỉnh Quảng Trị năm 2025
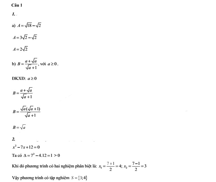
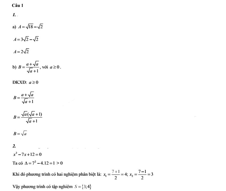
1. Đáp án đề thi vào lớp 10 môn Toán tỉnh Quảng Trị 2025

2. Đề thi vào lớp 10 môn Toán tỉnh Quảng Trị 2025


3. Đáp án đề thi vào lớp 10 môn Toán tỉnh Quảng Trị 2024
Mã đề 01
Đáp án trắc nghiệm
1. D
2. C
3. A
4. C
5. B
6. D
7. B
8. A
9. D
10. B
11. A
12. C
Đáp án tự luận



4. Đề thi vào lớp 10 môn Toán tỉnh Quảng Trị 2024


5. Đáp án đề thi vào 10 môn Toán Quảng Trị 2023



6. Đề thi tuyển sinh lớp 10 môn Toán Quảng Trị 2023





