Đáp án đề thi tuyển sinh lớp 10 môn Toán Tiền Giang 2025
Đề thi vào 10 môn Toán năm 2025 có đáp án
Lớp:
Ôn vào 10
Môn:
Toán
Dạng tài liệu:
Đề thi
Loại:
Tài liệu Lẻ
Phân loại:
Tài liệu Tính phí
Đề thi vào lớp 10 Toán tỉnh Tiền Giang
- 1. Đáp án đề thi vào 10 môn Toán Tiền Giang 2025
- 2. Đề thi vào 10 môn Toán Tiền Giang 2025
- 3. Đáp án đề thi vào 10 môn Toán Tiền Giang 2024
- 4. Đề thi vào 10 môn Toán Tiền Giang 2024
- 5. Đáp án đề thi tuyển sinh lớp 10 Toán Tiền Giang 2023
- 6. Đề thi tuyển sinh lớp 10 Toán Tiền Giang 2023
- 7. Đáp án đề thi vào 10 môn Toán tỉnh Tiền Giang 2022
- 8. Đề thi tuyển sinh lớp 10 môn Toán tỉnh Tiền Giang 2022
Kỳ thi tuyển sinh lớp 10 năm 2025 của tỉnh Tiền Giang diễn ra trong hai ngày: 5 và 6/6/2025. VnDoc sẽ gửi tới các bạn Đề thi tuyển sinh lớp 10 môn Toán năm 2025 tỉnh Tiền Giang kèm đáp án tham khảo sau khi hết thời gian làm bài. Mời các bạn theo dõi.
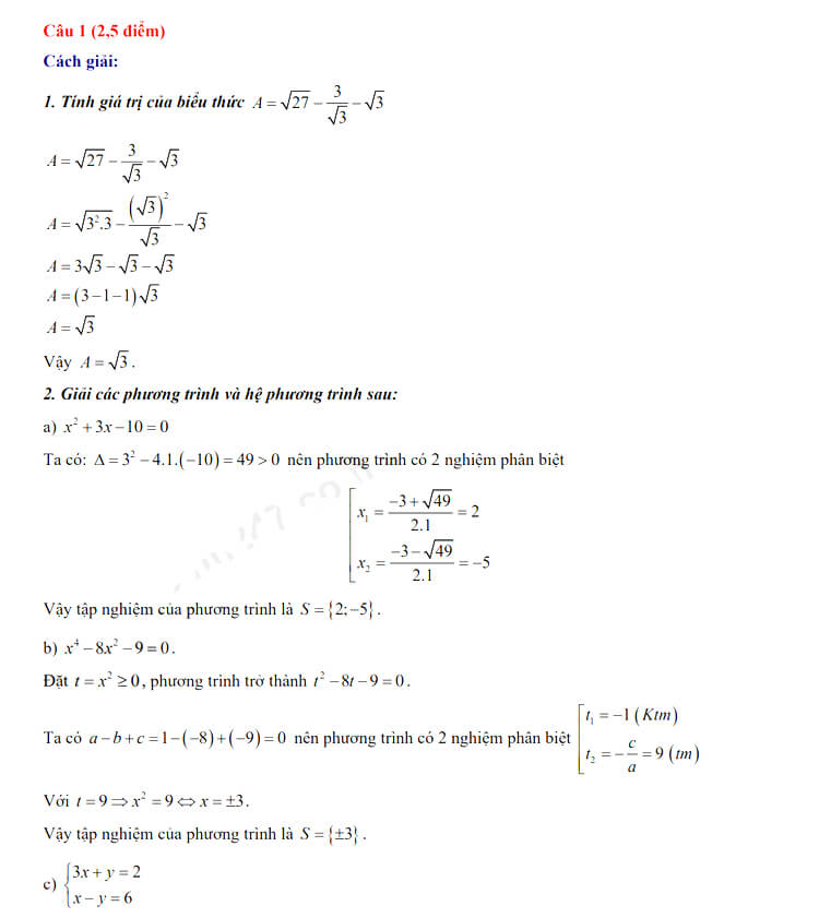
1. Đáp án đề thi vào 10 môn Toán Tiền Giang 2025







2. Đề thi vào 10 môn Toán Tiền Giang 2025


Lịch thi vào 10 Tiền Giang 2025

3. Đáp án đề thi vào 10 môn Toán Tiền Giang 2024





4. Đề thi vào 10 môn Toán Tiền Giang 2024

5. Đáp án đề thi tuyển sinh lớp 10 Toán Tiền Giang 2023


6. Đề thi tuyển sinh lớp 10 Toán Tiền Giang 2023

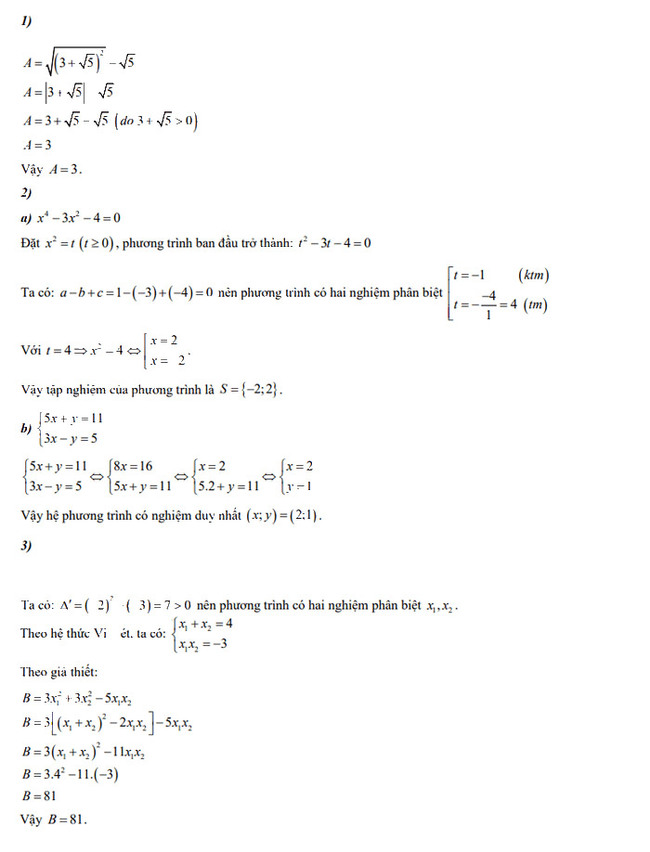
7. Đáp án đề thi vào 10 môn Toán tỉnh Tiền Giang 2022
Câu 1

Câu 2
Câu 3
8. Đề thi tuyển sinh lớp 10 môn Toán tỉnh Tiền Giang 2022
