Đáp án đề thi tuyển sinh lớp 10 môn Toán Bắc Ninh 2025
Sáng 6/6, các thí sinh tỉnh Bắc Ninh tiếp tục làm bài thi môn Toán kỳ thi tuyển sinh vào lớp 10 năm 2025. VnDoc sẽ gửi tới các bạn Đề thi tuyển sinh lớp 10 môn Toán năm 2025 tỉnh Bắc Ninh, có đáp án kèm theo ngay sau khi hết thời gian làm bài. Mời các bạn theo dõi.
Đề thi vào lớp 10 Toán Bắc Ninh năm 2025
- 1. Đáp án đề thi vào 10 môn Toán Bắc Ninh 2025
- 2. Đề thi vào 10 môn Toán Bắc Ninh 2025
- 3. Đáp án đề thi vào 10 môn Toán Bắc Ninh 2024
- 4. Đề thi vào 10 môn Toán Bắc Ninh 2024
- 5. Đáp án đề thi vào 10 môn Toán Bắc Ninh 2023
- 6. Đề thi tuyển sinh vào lớp 10 môn Toán Bắc Ninh 2023
- 7. Đáp án đề thi vào 10 môn Toán Bắc Ninh 2022
- 8. Đề thi tuyển sinh lớp 10 môn Toán Bắc Ninh 2022
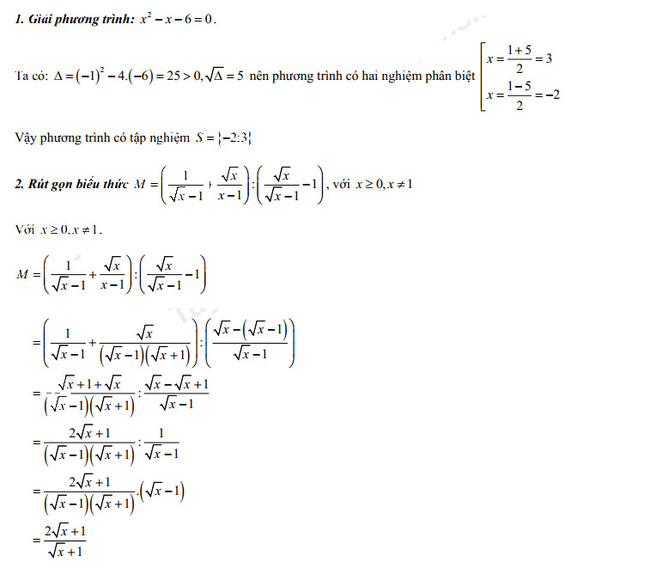
1. Đáp án đề thi vào 10 môn Toán Bắc Ninh 2025




2. Đề thi vào 10 môn Toán Bắc Ninh 2025





Lịch thi vào lớp 10 Bắc Ninh năm 2025 - 2026:
|
Ngày |
Buổi thi |
Môn thi |
Hình thức thi |
Thời gian làm bài |
Thời gian phát đề |
Thời gian tính giờ làm bài |
Thời gian thu bài |
|
04/6/2025 |
Sáng |
8 giờ 00: Họp cán bộ làm công tác Coi thi tại Hội đồng thi |
|||||
|
Chiều |
14 giờ 00: Thí sinh đến phòng thi làm thủ tục dự thi, đính chính sai sót (nếu có) và nghe phổ biến Quy định thi, Lịch thi |
||||||
|
05/6/2025 |
Sáng |
Ngữ văn |
Tự luận |
120 phút |
07h55’ |
08h00’ |
10h00’ |
|
Chiều |
Tiếng Anh |
Trắc nghiệm |
60 phút |
14h25’ |
14h30’ |
15h30’ |
|
|
Tự luận |
30 phút |
15h35’ |
15h40’ |
16h10’ |
|||
|
06/6/2025 |
Sáng |
Toán |
Trắc nghiệm |
50 phút |
07h55’ |
08h00’ |
08h50’ |
|
Tự luận |
70 phút |
08h55’ |
09h00’ |
10h10’ |
|||
3. Đáp án đề thi vào 10 môn Toán Bắc Ninh 2024
ĐÁP ÁN TRẮC NGHIỆM
Mã đề 135
| Câu | Đ/a | Câu | Đ/a | Câu | Đ/a | Câu | Đ/a |
|---|---|---|---|---|---|---|---|
| 1 | A | 9 | B | 17 | C | 25 | C |
| 2 | C | 10 | A | 18 | D | 26 | C |
| 3 | B | 11 | D | 19 | D | 27 | A |
| 4 | A | 12 | A | 20 | C | 28 | D |
| 5 | C | 13 | C | 21 | D | 29 | B |
| 6 | C | 14 | A | 22 | D | 30 | B |
| 7 | D | 15 | D | 23 | D | 31 | A |
| 8 | D | 16 | C | 24 | B | 32 | C |
Mã đề 246
| Câu | Đ/a | Câu | Đ/a | Câu | Đ/a | Câu | Đ/a |
|---|---|---|---|---|---|---|---|
| 1 | D | 9 | A | 17 | B | 25 | B |
| 2 | D | 10 | C | 18 | C | 26 | B |
| 3 | D | 11 | C | 19 | B | 27 | A |
| 4 | D | 12 | B | 20 | A | 28 | D |
| 5 | A | 13 | B | 21 | A | 29 | D |
| 6 | A | 14 | B | 22 | C | 30 | B |
| 7 | A | 15 | C | 23 | C | 31 | D |
| 8 | A | 16 | C | 24 | D | 32 | B |
Mã đề 468
| Câu | Đ/a | Câu | Đ/a | Câu | Đ/a | Câu | Đ/a |
|---|---|---|---|---|---|---|---|
| 1 | A | 9 | A | 17 | C | 25 | A |
| 2 | B | 10 | A | 18 | C | 26 | D |
| 3 | B | 11 | A | 19 | A | 27 | B |
| 4 | D | 12 | B | 20 | A | 28 | A |
| 5 | D | 13 | D | 21 | D | 29 | A |
| 6 | C | 14 | A | 22 | C | 30 | D |
| 7 | B | 15 | A | 23 | A | 31 | B |
| 8 | A | 16 | D | 24 | B | 32 | B |
Mã đề 579
| Câu | Đ/a | Câu | Đ/a | Câu | Đ/a | Câu | Đ/a |
|---|---|---|---|---|---|---|---|
| 1 | B | 9 | B | 17 | A | 25 | C |
| 2 | D | 10 | C | 18 | D | 26 | C |
| 3 | C | 11 | D | 19 | B | 27 | B |
| 4 | B | 12 | D | 20 | B | 28 | A |
| 5 | B | 13 | B | 21 | B | 29 | C |
| 6 | B | 14 | B | 22 | C | 30 | D |
| 7 | D | 15 | B | 23 | B | 31 | D |
| 8 | B | 16 | D | 24 | A | 32 | B |
Mã đề 693
| Câu | Đ/a | Câu | Đ/a | Câu | Đ/a | Câu | Đ/a |
|---|---|---|---|---|---|---|---|
| 1 | D | 9 | A | 17 | C | 25 | C |
| 2 | D | 10 | B | 18 | C | 26 | C |
| 3 | B | 11 | A | 19 | B | 27 | A |
| 4 | B | 12 | D | 20 | C | 28 | D |
| 5 | B | 13 | D | 21 | D | 29 | D |
| 6 | D | 14 | C | 22 | A | 30 | D |
| 7 | D | 15 | B | 23 | A | 31 | B |
| 8 | A | 16 | C | 24 | B | 32 | A |
Mã đề 357



Đáp án tự luận
Mã 357



4. Đề thi vào 10 môn Toán Bắc Ninh 2024





Lịch thi vào lớp 10 tỉnh Bắc Ninh năm 2024 - 2025:
- Ngày 06, 07/6/2024: Thi 03 môn Toán, Ngữ văn và Tiếng Anh.
- Ngày 08/6/2024: Thi môn chuyên.
|
Ngày |
Buổi thi |
Môn thi |
Hình thức thi |
Thời gian làm bài |
Thời gian phát đề |
Thời gian tính giờ làm bài |
Thời gian thu bài |
|
05/6/2024 |
Sáng |
8 giờ 00: Họp cán bộ làm công tác Coi thi tại Hội đồng thi |
|||||
|
Chiều |
14 giờ 00: Thí sinh đến phòng thi làm thủ tục dự thi, đính chính sai sót (nếu có) và nghe phổ biến Quy định thi, Lịch thi |
||||||
|
06/6/2024 |
Sáng |
Ngữ văn |
Tự luận |
120 phút |
07h55’ |
08h00’ |
10h00’ |
|
Chiều |
Tiếng Anh |
Trắc nghiệm |
60 phút |
14h25’ |
14h30’ |
15h30’ |
|
|
07/6/2024 |
Sáng |
Toán |
Trắc nghiệm |
50 phút |
07h55’ |
08h00’ |
08h50’ |
|
Tự luận |
70 phút |
08h55’ |
09h00’ |
10h10’ |
|||
|
08/6/2024 |
Sáng |
Môn Chuyên |
Tự luận |
150 phút |
07h55’ |
08h00’ |
10h30’ |
|
09/6/2024 |
Dự phòng |
||||||
5. Đáp án đề thi vào 10 môn Toán Bắc Ninh 2023
I. Phần trắc nghiệm
| 1C | 2D | 3B | 4C | 5B | 6D | 7A | 8A |
| 9D | 10C | 11C | 12C | 13B | 14D | 15B | 16B |
| 17C | 18C | 19B | 20A | 21C | 22D | 23D | 24A |
| 25C | 26A | 27D | 28B | 29C | 30C | 31B | 32C |
II. Phần tự luận
Câu 1

Câu 2
Câu 3
Câu 4

Câu 5.
Ta có:
\(x^2+y^2-8 x-8 y+64 z \leq 0\)
\(\Leftrightarrow x^2+y^2+64 z \leq 8 x+8 y\)
\(\Leftrightarrow x^2+y^2+64 z+8 z \leq 8 x+8 y+8 z\)
\(\Leftrightarrow x^2+y^2+72 z \leq 8(x+y+z) (1)\)
Lại có:
\(x^2+y^2 \geq 2 x y\) (theo BĐT Cauchy) (2)
Vi x, y, z > 0 nên
\(2 x y+72 z \geq 2 \sqrt{2 x y .72 z}=24 \sqrt{x y z}\) (theo BĐT Cauchy) (3)
Từ (1) (2) và (3) suy ra
\((x+y+z) \geq 24 \sqrt{x y z} \Leftrightarrow \frac{x+y+z}{3} \geq \sqrt{x y z}\)
Vây ta có đpcm
6. Đề thi tuyển sinh vào lớp 10 môn Toán Bắc Ninh 2023





7. Đáp án đề thi vào 10 môn Toán Bắc Ninh 2022
Trắc nghiệm mã đề 638
| Câu | Đáp án | Câu | Đáp án |
| 1 | B | 11 | A |
| 2 | B | 12 | C |
| 3 | C | 13 | D |
| 4 | A | 14 | C |
| 5 | B | 15 | A |
| 6 | C | 16 | B |
| 7 | C | 17 | A |
| 8 | C | 18 | C |
| 9 | A | 19 | D |
| 10 | C | 20 | D |
TỰ LUẬN
Câu 1

Câu 2
Câu 3.

Câu 4

8. Đề thi tuyển sinh lớp 10 môn Toán Bắc Ninh 2022
Mã 638


TỰ LUẬN
