Đáp án đề thi tuyển sinh lớp 10 môn Toán Vĩnh Phúc 2025
Đề thi tuyển sinh lớp 10 môn Toán Vĩnh Phúc 2025
Lớp:
Ôn vào 10
Môn:
Ngữ Văn
Dạng tài liệu:
Đề thi
Loại:
Tài liệu Lẻ
Phân loại:
Tài liệu Tính phí
Đề thi tuyển sinh lớp 10 môn Toán 2025 Vĩnh Phúc
Sáng 2/4, các thí sinh tỉnh Vĩnh Phúc sẽ làm bài thi môn Toán Kỳ thi tuyển sinh vào lớp 10 năm 2024 - 2025. VnDoc gửi tới các bạn Đề thi tuyển sinh lớp 10 môn Toán Vĩnh Phúc 2024 kèm đáp án tham khảo ngay sau khi kết thúc thời gian làm bài. Mời các bạn theo dõi.
Xem thêm: Đáp án đề thi tuyển sinh lớp 10 môn Văn Vĩnh Phúc 2025
1. Đáp án đề thi vào lớp 10 môn Toán Vĩnh Phúc 2025





2. Đề thi vào lớp 10 môn Toán Vĩnh Phúc 2025


3. Đề thi vào lớp 10 môn Toán Vĩnh Phúc 2024

4. Đáp án đề thi vào lớp 10 môn Toán Vĩnh Phúc 2024






5. Đáp án đề thi vào 10 Toán Vĩnh Phúc 2023
PHẦN TRẮC NGHIỆM
Câu 1. B
Câu 2. A
Câu 3. D
Câu 4. C
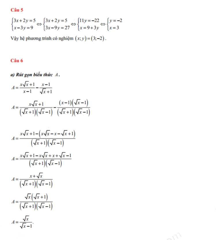
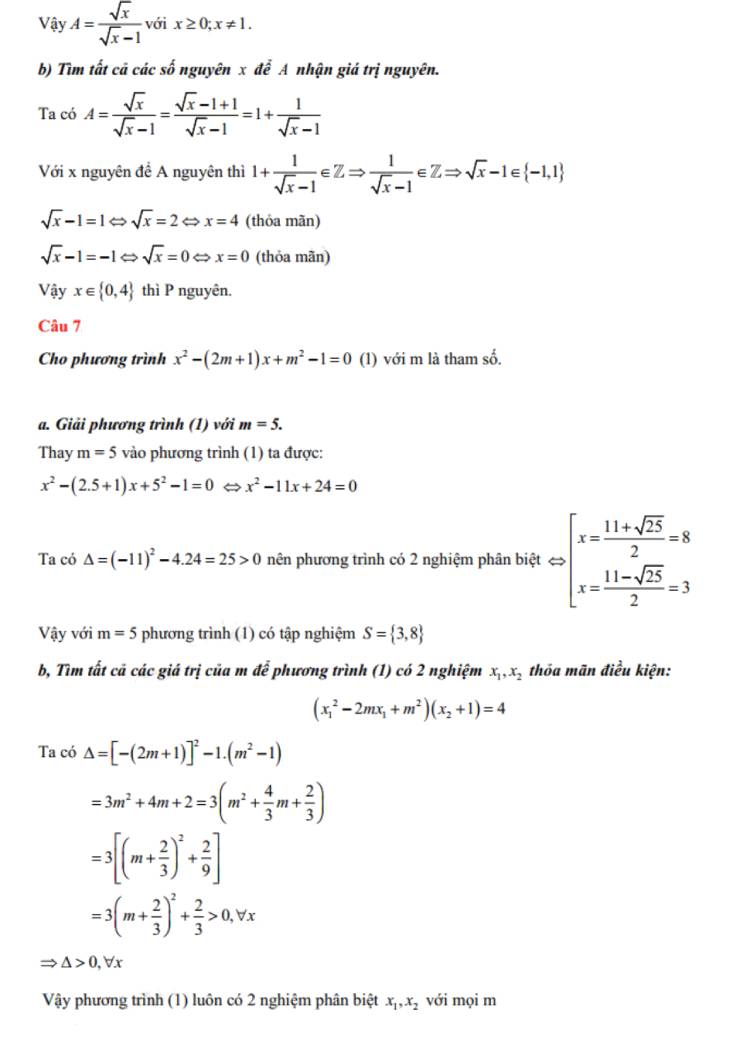
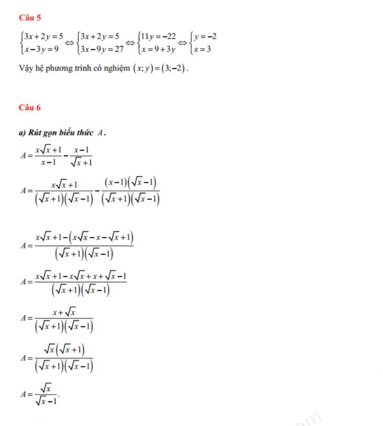
II. PHẦN TỰ LUẬN




6. Đề thi tuyển sinh lớp 10 môn Toán Vĩnh Phúc 2023
