Đáp án đề thi tuyển sinh lớp 10 môn Toán Thái Bình 2025
Đề thi vào 10 môn Toán 2025 có đáp án
Lớp:
Ôn vào 10
Môn:
Toán
Dạng tài liệu:
Đề thi
Loại:
Tài liệu Lẻ
Phân loại:
Tài liệu Tính phí
Đề thi vào lớp 10 Toán Thái Bình năm 2025
- 1. Đáp án đề thi tuyển sinh lớp 10 môn Toán Thái Bình 2025
- 2. Đề thi vào lớp 10 môn Toán Thái Bình năm 2025
- 3. Đáp án đề thi vào 10 môn Toán Thái Bình 2024
- 4. Đề thi vào 10 môn Toán Thái Bình 2024
- 5. Đáp án đề thi tuyển sinh lớp 10 môn Toán Thái Bình 2023
- 6. Đề thi tuyển sinh vào lớp 10 Toán Thái Bình 2023
- 7. Đề thi vào 10 môn Toán Thái Bình 2022
- 8. Đáp án đề thi tuyển sinh lớp 10 môn Toán Thái Bình 2022
Chiều 1/6, các thí sinh tỉnh Thái Bình bắt đầu làm bài thi vào lớp 10 môn Toán năm 2025. VnDoc gửi tới các bạn Đề thi tuyển sinh lớp 10 môn Toán tỉnh Thái Bình kèm đáp án tham khảo sau khi hết thời gian làm bài. Mời các bạn theo dõi để so sánh đối chiếu với bài làm của mình nhé.
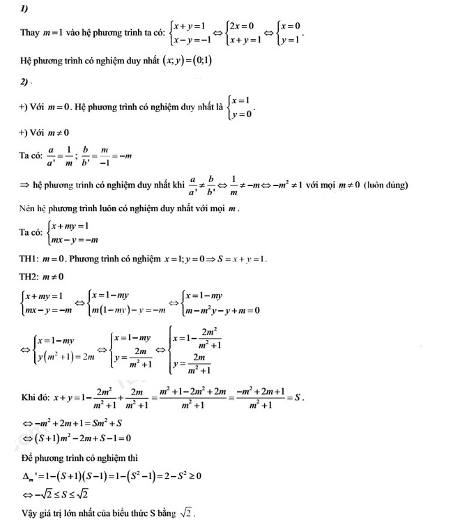
1. Đáp án đề thi tuyển sinh lớp 10 môn Toán Thái Bình 2025






2. Đề thi vào lớp 10 môn Toán Thái Bình năm 2025

3. Đáp án đề thi vào 10 môn Toán Thái Bình 2024






4. Đề thi vào 10 môn Toán Thái Bình 2024

Lịch thi vào lớp 10 tỉnh Thái Bình năm 2024
(Trường THPT công lập và THPT Chuyên tại Thái Bình)

5. Đáp án đề thi tuyển sinh lớp 10 môn Toán Thái Bình 2023
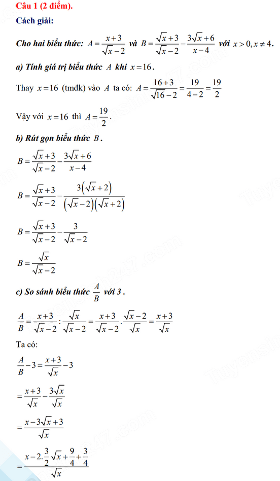
Câu 1.

Câu 2.

Câu 3.

6. Đề thi tuyển sinh vào lớp 10 Toán Thái Bình 2023

7. Đề thi vào 10 môn Toán Thái Bình 2022

8. Đáp án đề thi tuyển sinh lớp 10 môn Toán Thái Bình 2022
Câu 1

Câu 2

Câu 3

Câu 4.
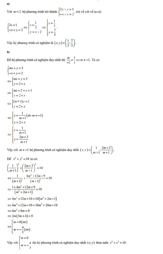
1.

2.
Ta có chu vi đáy C = 2πR = 20π ⇒ R = 10 (cm)
Thể tích hình trụ là V = πR²h = π.10².7 = 700π (cm³).
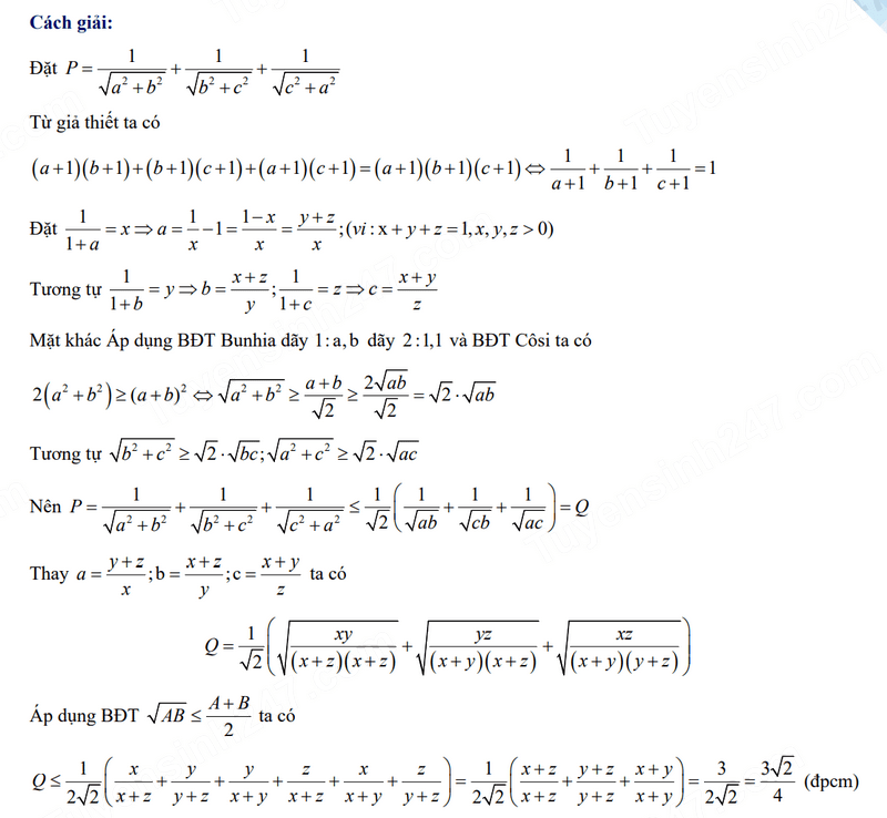
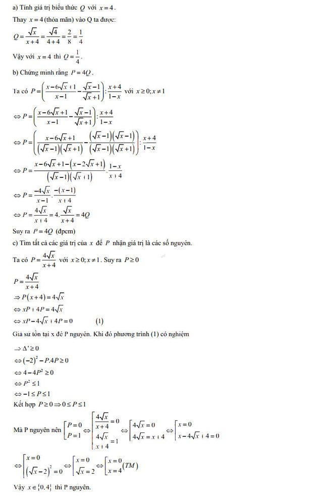
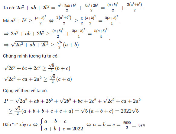
Câu 5.
