Đáp án đề thi tuyển sinh lớp 10 môn Toán Lào Cai 2025
Đề thi vào 10 môn Toán 2025 Lào Cai
Lớp:
Ôn vào 10
Môn:
Toán
Dạng tài liệu:
Đề thi
Loại:
Tài liệu Lẻ
Phân loại:
Tài liệu Tính phí
Chiều 4/6, các thí sinh tỉnh Lào Cai tiếp tục làm bài thi môn Toán kỳ thi tuyển sinh vào lớp 10 năm học 2025 - 2026. VnDoc sẽ gửi tới các bạn Đề thi tuyển sinh lớp 10 môn Toán tỉnh Lào Cai năm 2025 kèm đáp án tham khảo sau khi hết thời gian làm bài. Mời các bạn theo dõi.
Đề thi vào 10 môn Toán Lào Cai
- 1. Đáp án đề thi vào 10 môn Toán Lào Cai 2025
- 2. Đề thi vào 10 môn Toán Lào Cai 2025
- 3. Đáp án đề thi vào 10 môn Toán Lào Cai 2024
- 4. Đề thi vào 10 môn Toán Lào Cai 2024
- 5. Đề thi tuyển sinh lớp 10 môn Toán tỉnh Lào Cai 2023
- 6. Đáp án đề thi tuyển sinh lớp 10 môn Toán tỉnh Lào Cai 2023
- 7. Đáp án đề thi tuyển sinh lớp 10 môn Toán tỉnh Lào Cai 2022
- 8. Đề thi tuyển sinh lớp 10 môn Toán tỉnh Lào Cai 2022
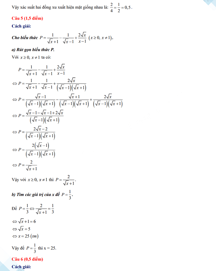
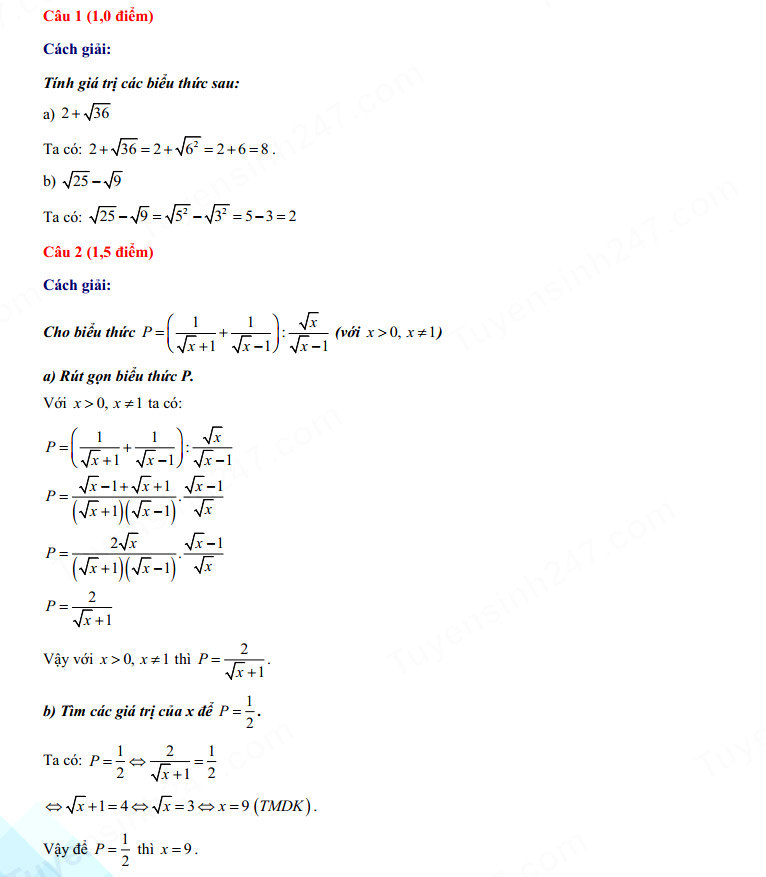
1. Đáp án đề thi vào 10 môn Toán Lào Cai 2025






2. Đề thi vào 10 môn Toán Lào Cai 2025

3. Đáp án đề thi vào 10 môn Toán Lào Cai 2024

\





4. Đề thi vào 10 môn Toán Lào Cai 2024

Lịch thi vào lớp 10 Lào Cai năm học 2024 - 2025
|
Ngày |
Buổi |
Môn thi |
Thời gian làm |
|
04/6/2024 |
Sáng |
Ngữ văn |
120 phút |
|
Chiều |
Toán |
120 phút |
|
|
05/6/2024 |
Chiều |
Ngoại ngữ |
90 phút |
5. Đề thi tuyển sinh lớp 10 môn Toán tỉnh Lào Cai 2023

6. Đáp án đề thi tuyển sinh lớp 10 môn Toán tỉnh Lào Cai 2023







7. Đáp án đề thi tuyển sinh lớp 10 môn Toán tỉnh Lào Cai 2022







8. Đề thi tuyển sinh lớp 10 môn Toán tỉnh Lào Cai 2022
