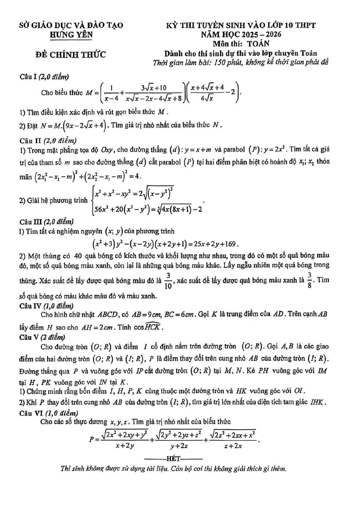
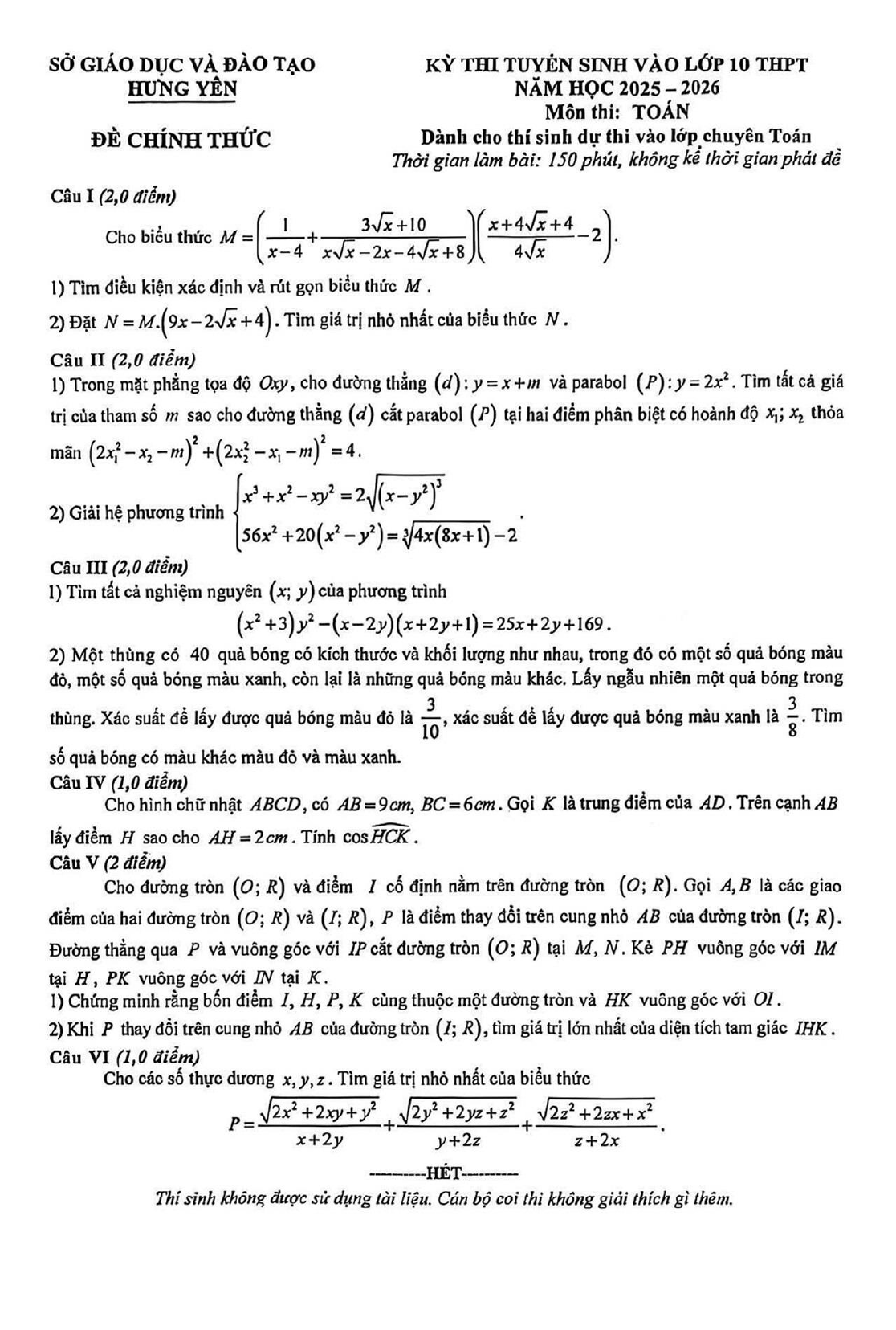
Đề tuyển sinh lớp 10 môn Toán (chuyên) sở GD&ĐT Hưng Yên năm 2025 - 2026
Lớp:
Ôn vào 10
Môn:
Toán
Dạng tài liệu:
Đề thi
Loại:
Tài liệu Lẻ
Loại File:
PDF
Phân loại:
Tài liệu Tính phí

Đề thi vào 10 môn Toán 2025
VnDoc giới thiệu đến quý thầy, cô giáo và các em học sinh Đề tuyển sinh lớp 10 môn Toán (chuyên) sở GD&ĐT Hưng Yên năm 2025 - 2026. Đề thi với cấu trúc tự luận, thời gian làm bài 120 phút. Tài liệu có đáp án đi kèm cho các em so sánh đối chiếu sau khi làm xong.
Ngoài tài liệu trên, VnDoc còn gửi tới các bạn nhiều tài liệu tuyển sinh vào lớp 10 các môn để giúp các em ôn luyện, làm quen với nhiều đề thi khác nhau, chuẩn bị cho kì thi tuyển sinh vào lớp 10 năm học 2025 - 2026.