Đáp án đề thi tuyển sinh lớp 10 môn Toán Bắc Kạn 2025
Đề thi tuyển sinh lớp 10 môn Toán 2025 Bắc Kạn
Sáng 4/6, các thí sinh tỉnh Bắc Kạn tiếp tục làm bài thi môn Toán Kỳ thi tuyển sinh vào lớp 10 năm 2025. VnDoc gửi tới các bạn Đề thi tuyển sinh lớp 10 môn Toán Bắc Kạn năm 2025 kèm đáp án tham khảo ngay sau khi kết thúc thời gian làm bài. Mời các bạn theo dõi.
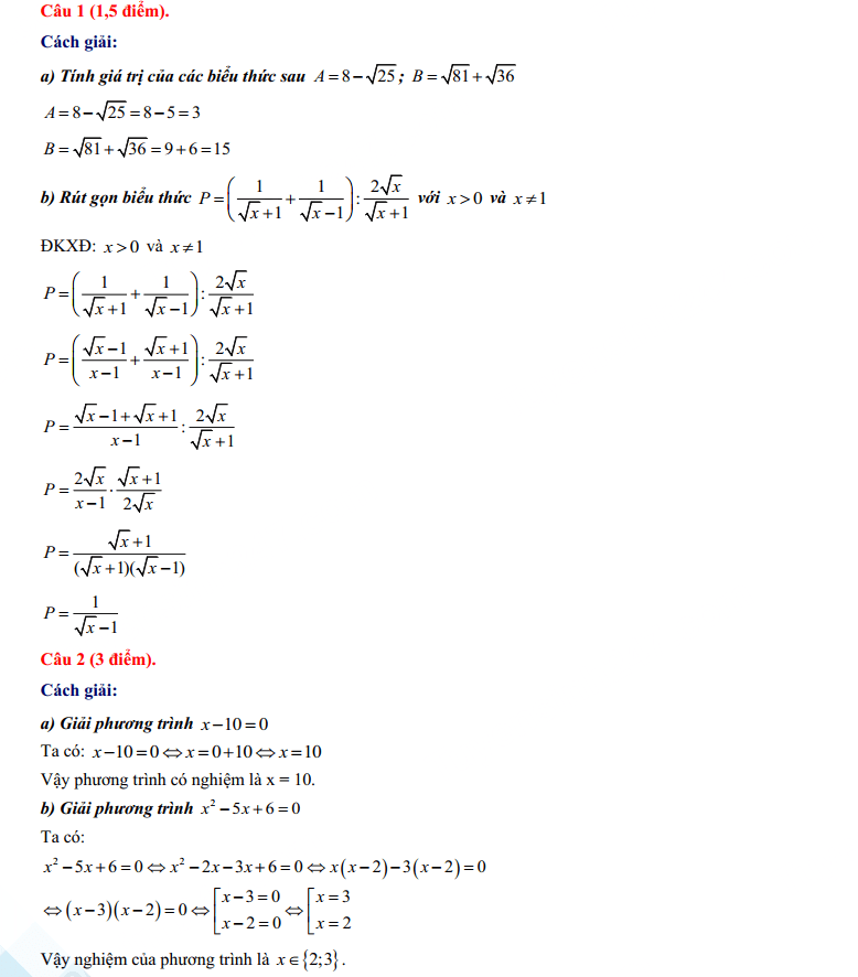
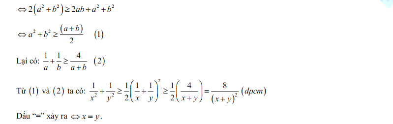
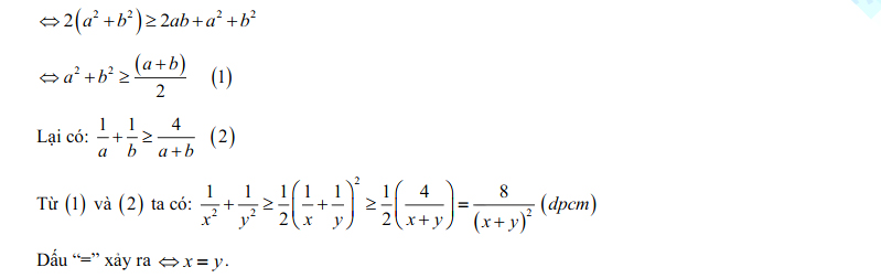
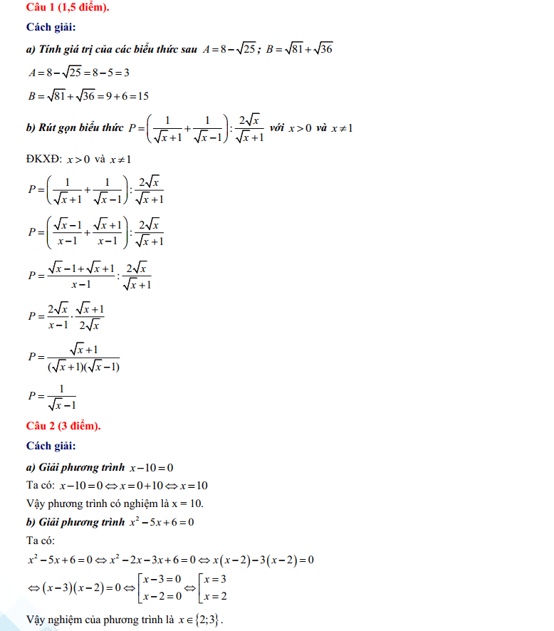
1. Đáp án đề vào 10 Toán Bắc Kạn 2025






2. Đề vào 10 Toán Bắc Kạn 2025


3. Đáp án đề vào 10 Toán Bắc Kạn 2024





2. Đề thi vào lớp 10 Toán Bắc Kạn 2024

3. Lịch thi tuyển sinh vào lớp 10 năm học 2024 - 2025 tỉnh Bắc Kạn:
Lịch thi vào lớp 10 Bắc Kạn năm 2024
|
Ngày |
Buổi |
Môn thi |
Thời gian làm bài |
Giờ phát đề cho thí sinh |
Giờ bắt đầu làm bài |
|
03/6/2024 |
Sáng |
Ngữ văn |
120 phút |
7 giờ 25’ |
7 giờ 30’ |
|
Chiều |
Tiếng Anh |
90 phút |
14 giờ 25’ |
14 giờ 30’ |
|
|
04/6/2024 |
Sáng |
Toán |
120 phút |
7 giờ 25’ |
7 giờ 30’ |
|
05/6/2024 |
Sáng |
Chuyên Toán, Chuyên Ngữ văn, Chuyên Tiếng Anh |
150 phút |
7 giờ 25’ |
7 giờ 30’ |
|
Chiều |
Chuyên Vật lí, Chuyên Hóa học, Chuyên Sinh học, Chuyên Lịch sử, Chuyên Địa lí |
150 phút |
14 giờ 25’ |
14 giờ 30’ |