Đáp án đề thi tuyển sinh lớp 10 môn Toán Quảng Ngãi 2025
Đề thi vào 10 môn Toán năm 2025 có đáp án
Lớp:
Ôn vào 10
Môn:
Toán
Dạng tài liệu:
Đề thi
Loại:
Tài liệu Lẻ
Phân loại:
Tài liệu Tính phí
Chiều 5/6, các thí sinh tỉnh Quảng Ngãi tiếp tục làm bài thi môn Toán kỳ thi tuyển sinh lớp 10 năm 2025. Sau đây, VnDoc sẽ gửi tới các bạn Đề thi tuyển sinh lớp 10 môn Toán năm 2025 tỉnh Quảng Ngãi, có đáp án kèm theo. Mời các bạn theo dõi để so sánh đối chiếu với kết quả bài làm của mình nhé.
Đề thi vào lớp 10 Toán Quảng Ngãi năm 2025
- 1. Đáp án đề thi vào 10 môn Toán Quảng Ngãi 2025
- 2. Đề thi vào 10 môn Toán Quảng Ngãi 2025
- 3. Đáp án đề thi vào 10 môn Toán Quảng Ngãi 2024
- 4. Đề thi vào 10 môn Toán Quảng Ngãi 2024
- 5. Đáp án đề thi vào 10 môn Toán Quảng Ngãi 2023
- 6. Đề thi tuyển sinh vào 10 môn Toán Quảng Ngãi 2023
- 7. Đáp án đề thi vào 10 môn Toán Quảng Ngãi 2022
- 8. Đề thi tuyển sinh lớp 10 môn Toán Quảng Ngãi 2022
1. Đáp án đề thi vào 10 môn Toán Quảng Ngãi 2025




![]()



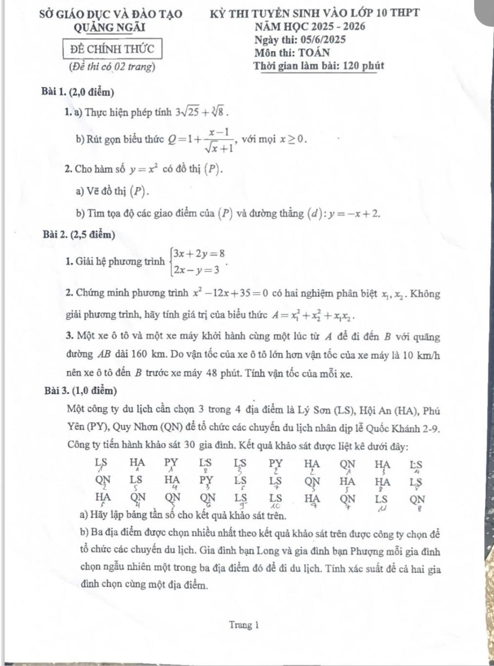
2. Đề thi vào 10 môn Toán Quảng Ngãi 2025


Lịch thi vào 10 Quảng Ngãi 2025

3. Đáp án đề thi vào 10 môn Toán Quảng Ngãi 2024





4. Đề thi vào 10 môn Toán Quảng Ngãi 2024

Lịch thi vào lớp 10 tỉnh Quảng Ngãi năm học 2024 - 2025

5. Đáp án đề thi vào 10 môn Toán Quảng Ngãi 2023


Vậy Pmin = 4 khi m = 1.





6. Đề thi tuyển sinh vào 10 môn Toán Quảng Ngãi 2023

7. Đáp án đề thi vào 10 môn Toán Quảng Ngãi 2022


Câu 4

Câu 5
8. Đề thi tuyển sinh lớp 10 môn Toán Quảng Ngãi 2022
