Đáp án đề thi tuyển sinh lớp 10 môn Toán Đồng Nai năm 2025
Đề thi vào 10 môn Toán năm 2025 có đáp án
Lớp:
Ôn vào 10
Môn:
Toán
Dạng tài liệu:
Đề thi
Phân loại:
Tài liệu Tính phí
Sáng 29/05, các thí sinh tỉnh Đồng Nai bắt đầu bước vào kỳ thi tuyển sinh lớp 10 năm 2025 với môn thi đầu tiên là Toán. VnDoc sẽ gửi tới các bạn đề và đáp án tham khảo Đề thi tuyển sinh lớp 10 môn Toán năm 2025 tỉnh Đồng Nai ngay sau khi hết thời gian làm bài ngày 29/05/2025.
Đề thi vào lớp 10 Toán Đồng Nai năm 2025
- 1. Đề thi vào 10 Toán Đồng Nai 2025
- 2. Đáp án đề thi vào 10 Toán Đồng Nai 2025
- 3. Đáp án đề thi vào 10 môn Toán Đồng Nai 2024-2025
- 4. Đề thi tuyển sinh lớp 10 môn Toán Đồng Nai 2024
- 5. Đề thi tuyển sinh lớp 10 môn Toán Đồng Nai 2023
- 6. Đáp án đề thi vào 10 môn Toán Đồng Nai 2023
- 7. Đề thi tuyển sinh lớp 10 môn Toán Đồng Nai 2022
- 8. Đáp án đề thi vào 10 môn Toán Đồng Nai 2022
1. Đáp án đề thi vào 10 Toán Đồng Nai 2025
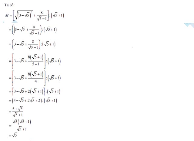
Câu 1

Câu 2


Câu 3.


Tiếp tục cập nhật
2. Đề thi vào 10 Toán Đồng Nai 2025



3. Đáp án đề thi vào 10 môn Toán Đồng Nai 2024-2025




4. Đề thi tuyển sinh lớp 10 môn Toán Đồng Nai 2024

5. Đề thi tuyển sinh lớp 10 môn Toán Đồng Nai 2023

6. Đáp án đề thi vào 10 môn Toán Đồng Nai 2023


2) Một hình nón có bán kính đáy r = 6cm, độ dài đường sinh l = 10cm. Tính thể tích của hình nón đó.

7. Đề thi tuyển sinh lớp 10 môn Toán Đồng Nai 2022

........................
8. Đáp án đề thi vào 10 môn Toán Đồng Nai 2022
Câu 1

Câu 2

Câu 3

Câu 4

Câu 5
