Đề thi tuyển sinh lớp 10 môn Toán Hải Phòng 2025 (có đáp án)
Bộ tài liệu tổng hợp đề tuyển sinh lớp 10 môn Toán năm 2025 – 2026 sở GD&ĐT Hải Phòng bao gồm cả đề thi không chuyên (chung) và đề thi chuyên, giúp các em có cái nhìn toàn diện về cấu trúc và mức độ khó của đề thi chính thức.
Đây là nguồn tài liệu luyện tập cực kỳ giá trị để các bạn ôn tập, làm quen cấu trúc, tự kiểm tra năng lực và xác định kiến thức cần bổ sung.
Mời các bạn tham khảo ngay để thử sức, làm quen với áp lực phòng thi và chuẩn bị chiến lược ôn tập tốt nhất, sẵn sàng chinh phục cánh cửa vào lớp 10 mơ ước!
Mục lục bài viết
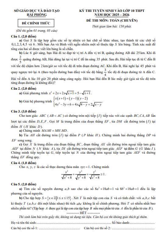
1. Đề thi vào 10 môn Toán (chuyên) Hải Phòng 2025

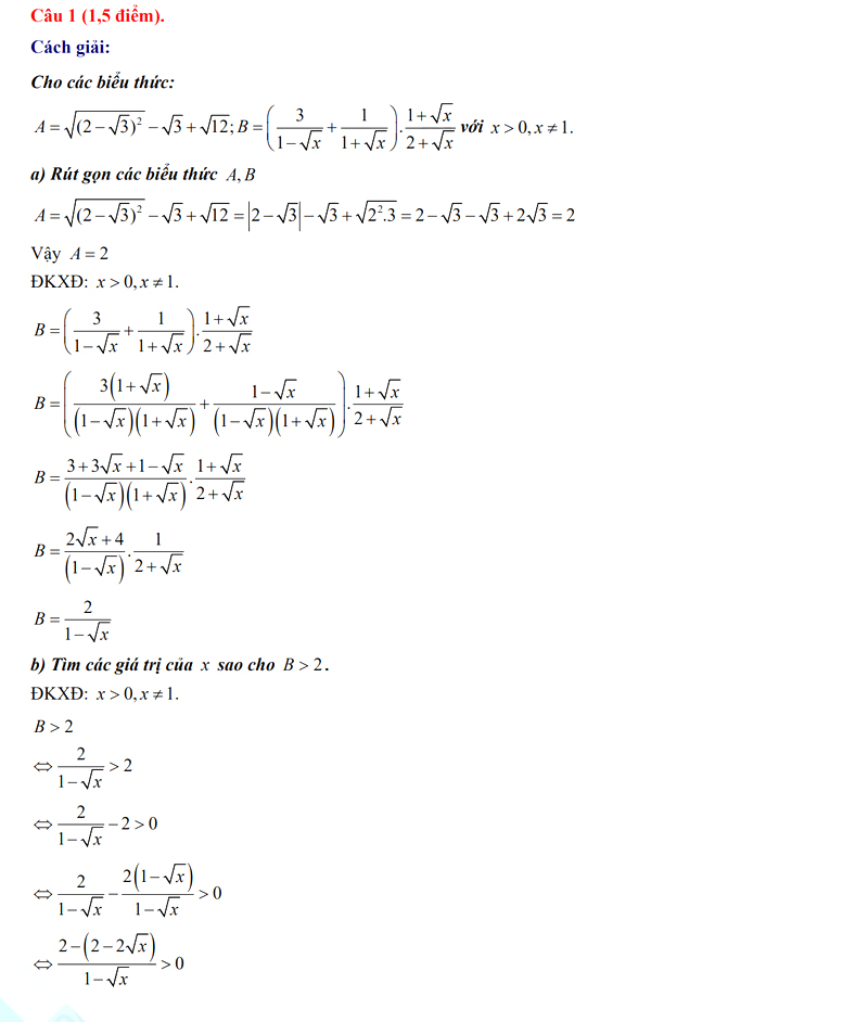
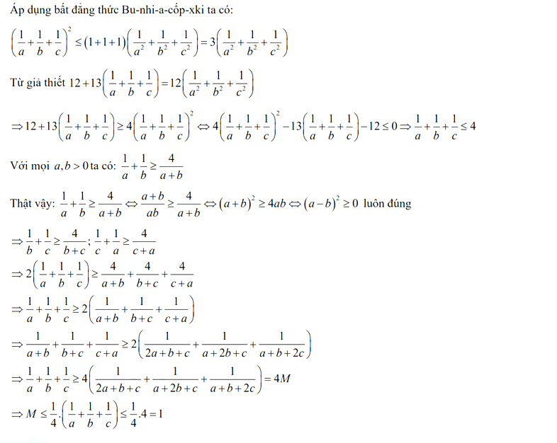
Đáp án chi tiết của đề thi, mời các bạn xem trong file tải về cuối bài.
2. Đề thi vào 10 môn Toán Hải Phòng 2025




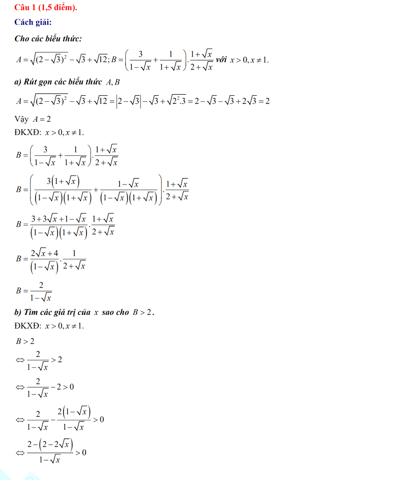
3. Đáp án đề thi vào 10 môn Toán Hải Phòng 2024


Câu 2

Câu 3


Câu 4

Câu 5


Câu 6


4. Đề thi tuyển sinh lớp 10 môn Toán Hải Phòng 2024

