Đáp án đề thi tuyển sinh lớp 10 môn Toán Bình Định 2025
Đề thi tuyển sinh lớp 10 môn Toán Bình Định
Lớp:
Ôn vào 10
Môn:
Toán
Dạng tài liệu:
Đề thi
Loại:
Tài liệu Lẻ
Phân loại:
Tài liệu Tính phí
Đề thi tuyển sinh lớp 10 môn Toán Bình Định
Sáng 5/6, các thí sinh tỉnh Bình Định tiếp tục làm bài thi môn Toán Kỳ thi tuyển sinh vào lớp 10 năm 2025. VnDoc gửi tới các bạn Đề thi tuyển sinh lớp 10 môn Toán Bình Định năm 2025 kèm đáp án tham khảo ngay sau khi kết thúc thời gian làm bài.
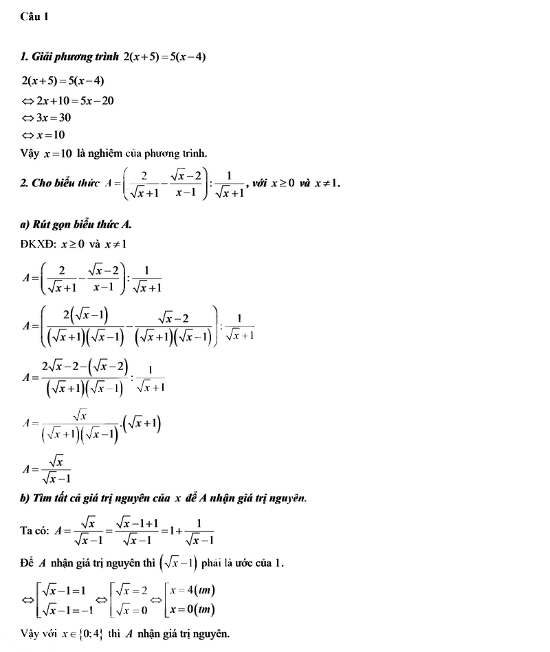
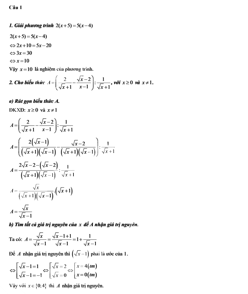
1. Đáp án đề thi vào 10 môn Toán Bình Định 2025





2. Đề thi vào 10 môn Toán Bình Định 2025

3. Đáp án đề thi vào 10 môn Toán Bình Định 2024





4. Đề thi vào 10 Toán Bình Định 2024

Lịch thi và thời gian làm bài:
|
Ngày thi |
Buổi thi |
Môn thi |
Thời gian |
Giờ phát |
Giờ bắt đầu |
|
04/6/2024 |
Sáng |
Ngữ văn |
120 phút |
7 giờ 25 |
7 giờ 30 |
|
Chiều |
Tiếng Anh |
60 phút |
14 giờ 10 |
14 giờ 15 |
|
|
05/6/2024 |
Sáng |
Toán |
120 phút |
7 giờ 25 |
7 giờ 30 |
|
Chiều |
Môn chuyên |
150 phút |
14 giờ 10 |
14 giờ 15 |
5. Đáp án đề thi vào 10 Toán Bình Định 2023

Bài 2

Bài 3.

Bài 4

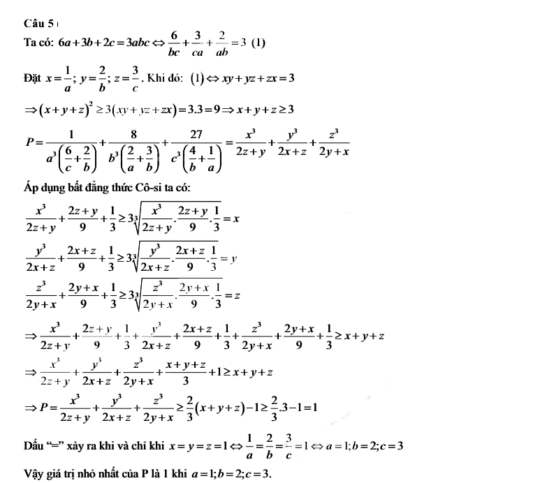
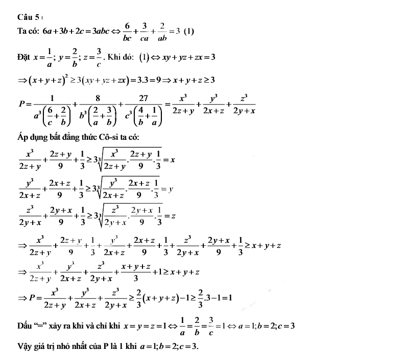
Bài 5.

6. Đề thi tuyển sinh lớp 10 môn Toán Bình Định 2023
