Đáp án đề thi tuyển sinh lớp 10 môn Toán Bà Rịa Vũng Tàu 2025
Đề thi tuyển sinh lớp 10 môn Toán Bà Rịa Vũng tàu
Sáng 6/6, các thí sinh tỉnh Bà Rịa Vũng tàu tiếp tục làm bài thi môn Toán kỳ thi tuyển sinh vào lớp 10 năm học 2025 - 2026. VnDoc gửi tới các bạn Đề thi tuyển sinh lớp 10 môn Toán Bà Rịa Vũng tàu năm 2025 kèm đáp án tham khảo ngay sau khi kết thúc thời gian làm bài. Mời các bạn theo dõi.
1. Đáp án đề thi vào 10 môn Toán Vũng Tàu 2025





2. Đề thi vào 10 môn Toán Vũng Tàu 2025


Lịch thi vào 10 Vũng Tàu 2025

3. Đáp án đề thi vào 10 môn Toán Vũng Tàu 2024





4. Đề thi vào 10 môn Toán Vũng Tàu 2024

Lịch thi vào lớp 10 tỉnh Bà Rịa Vũng Tàu 2024:
|
Ngày
|
Buổi
|
Môn thi |
Thời gian làm bài |
Giờ phát đề thi |
Tính giờ làm bài |
|
05/06/2024 |
Sáng |
7g30 khai mạc kỳ thi, thí sinh tập trung về phòng thi làm thủ tục dự thi, học tập Quy chế thi, đính chính sai sót (nếu có) |
|||
|
Chiều |
Ngữ văn |
120 phút |
14g00’ |
14g05’ |
|
|
06/06/2024 |
Sáng |
Toán |
120 phút |
8g00’ |
8g05’ |
|
Chiều |
Tiếng Anh |
60 phút |
14g00’ |
14g05’ |
|
|
07/06/2024 |
Sáng |
HĐ thi THPT chuyên LQĐôn thi môn chuyên |
(*) |
8g00’ |
8g05’ |
|
Chiều |
Thi nói Anh chuyên |
Bắt đầu từ 13g30’ |
|||
5. Đáp án đề thi vào 10 Toán Bà Rịa Vũng tàu 2023
Câu 1:

Câu 2:

Câu 3
Câu 4
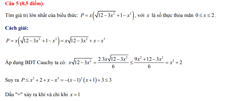
Câu 5

6. Đề thi tuyển sinh lớp 10 môn Toán Bà Rịa Vũng tàu 2023
