Đáp án đề thi tuyển sinh lớp 10 môn Toán Cần Thơ 2025
Sáng 5/6, các thí sinh tỉnh Cần Thơ bắt đầu làm bài thi Toán kì thi tuyển sinh vào lớp 10 năm 2025. VnDoc gửi tới các bạn Đề thi tuyển sinh lớp 10 môn Toán Cần Thơ năm 2025 kèm đáp án tham khảo ngay sau khi kết thúc thời gian làm bài. Mời các bạn tham khảo chi tiết sau đây.
Đề thi tuyển sinh lớp 10 môn Toán Cần Thơ
1. Đáp án đề thi vào 10 môn Toán Cần Thơ 2025






2. Đề thi vào 10 môn Toán Cần Thơ 2025
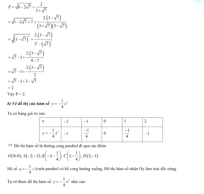
Mã đề 108




3. Đáp án đề thi vào 10 môn Toán Cần Thơ 2024
Mã đề 115
Mã đề 112




4. Đề thi vào 10 môn Toán Cần Thơ 2024
MÃ ĐỀ 112




Lịch thi vào lớp 10 của Trường THPT chuyên Lý Tự Trọng và các trường THPT tuyển sinh bằng hình thức thi tuyển tại Cần Thơ 2024:
|
Ngày thi |
Buổi thi |
Bài thi |
Thời gian |
|||
|
Làm bài |
Phát đề thi |
Tính giờ làm bài |
Thu bài |
|||
|
05/6/2024 |
Sáng |
Toán |
120 phút |
07 giờ 25 phút |
07 giờ 30 phút |
09 giờ 30 phút |
|
Chiều |
Ngoại ngữ |
60 phút |
13 giờ 55 phút |
14 giờ 00 phút |
15 giờ 00 phút |
|
|
06/6/2024 |
Sáng |
Ngữ văn |
120 phút |
07 giờ 25 phút |
07 giờ 30 phút |
09 giờ 30 phút |
|
07/6/2024 |
Sáng |
Các môn chuyên |
150 phút |
07 giờ 25 phút |
07 giờ 30 phút |
10 giờ 00 phút |
* Ghi chú: Bài thi các môn chuyên chỉ dành cho những thí sinh đăng ký dự thi vào Trường THPT chuyên Lý Tự Trọng.
5. Đáp án đề thi vào 10 Toán Cần Thơ 2023
Mã 901
| Câu | 1 | 2 | 3 | 4 | 5 | 6 | 7 | 8 | 9 | 10 |
| Đáp án | D | D | A | A | C | B | B | A | C | C |
| Câu | 11 | 12 | 13 | 14 | 15 | 16 | 17 | 18 | 19 | 20 |
| Đáp án | B | A | C | D | B | C | D | B | D | A |
Mã 904
| Câu | 1 | 2 | 3 | 4 | 5 | 6 | 7 | 8 | 9 | 10 |
| Đáp án | D | D | B | D | A | B | C | C | B | D |
| Câu | 11 | 12 | 13 | 14 | 15 | 16 | 17 | 18 | 19 | 20 |
| Đáp án | A | B | A | C | B | A | C | A | D | C |
Mã 905
| Câu | 1 | 2 | 3 | 4 | 5 | 6 | 7 | 8 | 9 | 10 |
| Đáp án | A | A | B | D | C | D | A | B | C | A |
| Câu | 11 | 12 | 13 | 14 | 15 | 16 | 17 | 18 | 19 | 20 |
| Đáp án | D | B | C | B | A | B | C | D | D | C |
Mã 906
| Câu | Đ/a | Câu | Đ/a |
|---|---|---|---|
| 1 | A (20,2) | 11 | B |
| 2 | C (4cm) | 12 | D (20⁰) |
| 3 | C (3;0) | 13 | B (y = 3x-2) |
| 4 | A | 14 | C. 135πcm3 |
| 5 | B | 15 | D (y = 7x-8) |
| 6 | D (x = 2, y = 9) | 16 | A |
| 7 | B (0,15) | 17 | A |
| 8 | D 288πcm3 | 18 | B |
| 9 | A | 19 | D |
| 10 | C | 20 | C (180⁰) |
Mã đề 917






6. Đề thi tuyển sinh lớp 10 môn Toán Cần Thơ 2023
(Mã đề 917)




Mã đề 919






