Đáp án đề thi tuyển sinh lớp 10 môn Toán Lạng Sơn 2025
Đề thi vào 10 môn Toán Lạng Sơn 2025
Lớp:
Ôn vào 10
Môn:
Toán
Dạng tài liệu:
Đề thi
Loại:
Tài liệu Lẻ
Phân loại:
Tài liệu Tính phí
Sáng 6/6, các thí sinh tỉnh Lạng Sơn tiếp tục hoàn thành bài thi vào lớp 10 môn Toán năm 2025. VnDoc sẽ gửi tới các bạn Đề thi tuyển sinh lớp 10 môn Toán tỉnh Lạng Sơn 2025 kèm đáp án tham khảo sau khi hết thời gian làm bài. Mời các bạn theo dõi.
Đề thi vào lớp 10 Toán Lạng Sơn
- 1. Đáp án đề thi vào 10 môn Toán Lạng Sơn 2025
- 2. Đề thi vào 10 môn Toán Lạng Sơn 2025
- 3. Đáp án đề thi vào 10 môn Toán Lạng Sơn 2024
- 4. Đề thi vào 10 môn Toán Lạng Sơn 2024
- 5. Đáp án đề thi vào 10 môn Toán Lạng Sơn 2023
- 6. Đề thi vào 10 môn Toán Lạng Sơn 2023
- 7. Đáp án đề thi vào 10 môn Toán Lạng Sơn 2022
- 8. Đề thi tuyển sinh lớp 10 môn Toán Lạng Sơn 2022
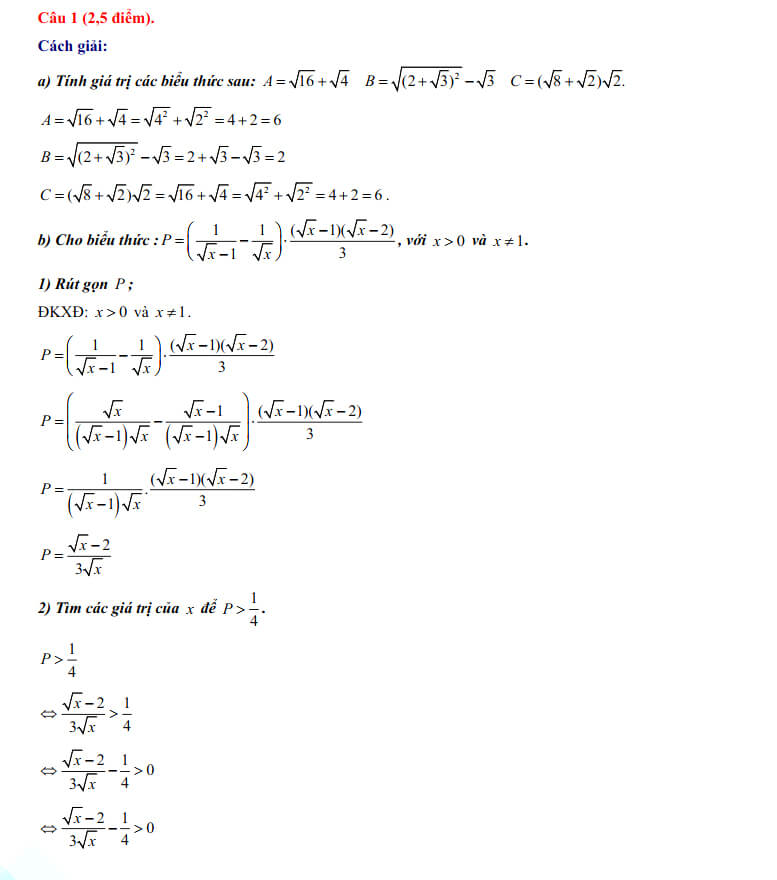
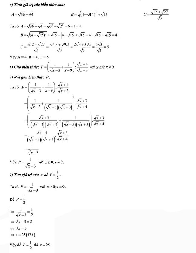
1. Đáp án đề thi vào 10 môn Toán Lạng Sơn 2025







2. Đề thi vào 10 môn Toán Lạng Sơn 2025


Lịch thi vào 10 Lạng Sơn 2025

3. Đáp án đề thi vào 10 môn Toán Lạng Sơn 2024






4. Đề thi vào 10 môn Toán Lạng Sơn 2024

5. Đáp án đề thi vào 10 môn Toán Lạng Sơn 2023
Câu 1.

Câu 2.

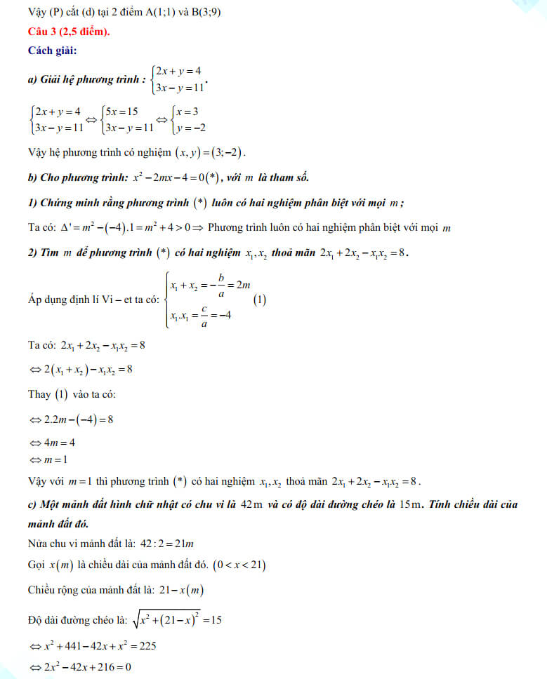
Câu 3.
Câu 4.

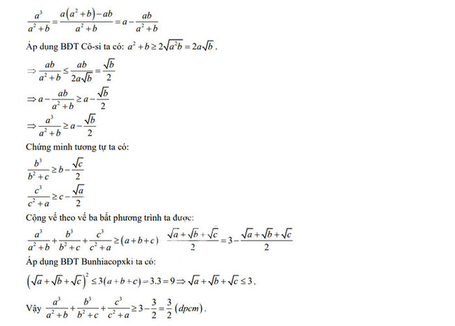
Câu 5.

6. Đề thi vào 10 môn Toán Lạng Sơn 2023

7. Đáp án đề thi vào 10 môn Toán Lạng Sơn 2022


8. Đề thi tuyển sinh lớp 10 môn Toán Lạng Sơn 2022
