Đáp án đề thi tuyển sinh lớp 10 môn Toán Điện Biên năm 2025
Đề thi tuyển sinh lớp 10 môn toán Điện Biên
Lớp:
Ôn vào 10
Môn:
Toán
Dạng tài liệu:
Đề thi
Loại:
Tài liệu Lẻ
Phân loại:
Tài liệu Tính phí
Sáng 28/5, các thí sinh tỉnh Điện Biên bắt đầu làm bài thi môn Toán kỳ thi tuyển sinh vào lớp 10 năm 2025. VnDoc gửi tới các bạn Đề thi tuyển sinh lớp 10 môn Toán tỉnh Điện Biên năm 2025 kèm đáp án tham khảo ngay sau khi kết thúc thời gian làm bài ngày 28/5. Mời các bạn tham khảo chi tiết.
Đề thi tuyển sinh lớp 10 môn Toán 2025 tỉnh Điện Biên
1. Đề thi vào lớp 10 môn Toán Điện Biên 2025
đang cập nhật
2. Đáp án đề thi vào 10 Toán Điện Biên 2025
đang cập nhật
Lịch thi tuyển sinh vào lớp 10 năm học 2025-2026 tỉnh Điện Biên:
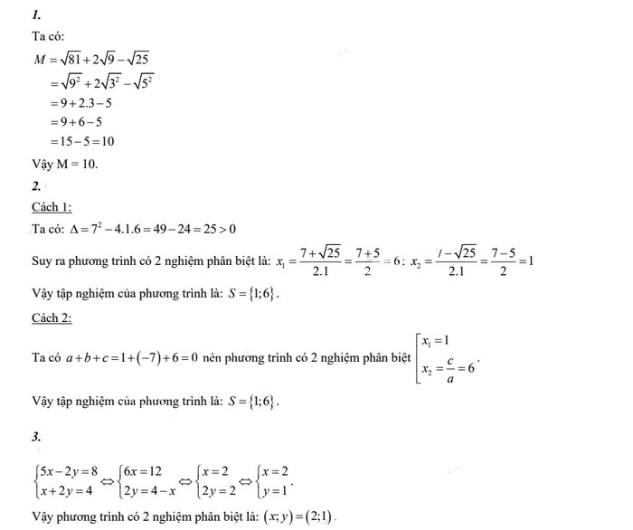
3. Đáp án đề thi vào 10 môn Toán Điện Biên 2023
Câu 1

Câu 2.

Câu 3
Câu 4


Câu 5.
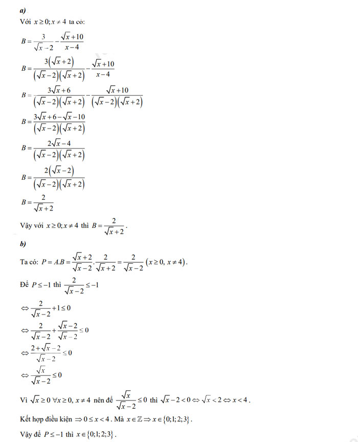
4. Đề thi tuyển sinh lớp 10 môn Toán Điện Biên 2023

