Giải bài tập Hóa 12 nâng cao bài 4
Hóa học 12 - Luyện tập: Mối liên hệ giữa hiđrocacbon và một số dẫn xuất của hiđrocacbon
VnDoc xin giới thiệu tới các bạn học sinh tài liệu Giải bài tập Hóa 12 nâng cao bài 4, tài liệu gồm 9 bài tập kèm theo lời giải chi tiết sẽ giúp các bạn học sinh có kết quả cao hơn trong học tập. Mời thầy cô và các bạn học sinh cùng tham khảo.
Giải bài tập Hóa 12 nâng cao
Bài 1 (trang 22 sgk Hóa 12 nâng cao): Nguyên liệu cho công nghiệp hóa chất hữu cơ ngày nay dựa chủ yếu vào:
A. khí thiên nhiên
B. than đá và đá vôi
C. thực vật
D. dầu mỏ
Lời giải:
Đáp án D
Bài 2 (trang 22 sgk Hóa 12 nâng cao): a. Vì sao trong sơ đồ mối liên hệ giữa hidrocacbon và dẫn xuất chứa oxi, ankan lại được đặt ở trung tâm?
b. Xuất phát từ ô trung tâm lần lượt điền vào đó metan, etan và n-hexan rồi viết phương trình phản ứng (nếu có) theo các mũi tên đã chỉ để đi đến các ô khác trong sơ đồ (“dạo quanh sơ đồ”)
c. Hãy thử tìm một hidrocacbon no để từ đó đi theo hết mọi mũi tên đến hết mọi ô của sơ đồ
Lời giải:
a. Ankan được đặt ở trung tâm của sơ đồ do ankan là nguyên liệu chính để tổng hợp ra các hidrocacbon khác và dẫn xuất có oxi của chúng
b. Sơ đồ của metan
Sơ đồ và phản ứng của metan
Sơ đồ và phản ứng của etan

Bài 3 (trang 22 sgk Hóa 12 nâng cao): Hãy dùng sơ đồ phản ứng chứng tỏ rằng từ metan có thể tổng hợp được các ancol, andehit và axit có từ 1 đến 2 nguyên tử C trong phân tử
Lời giải:
Từ metan tổng hợp các ancol, andehit và axit có từ 1 đến 2 nguyên tử C trong phân tử

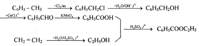
Bài 4 (trang 23 sgk Hóa 12 nâng cao): Hãy viết sơ đồ phản ứng từ etilen và toluen điều chế ra các hợp chất sau
a) Etyl benzoat
b) 1-Etyl-4-metylbenzen
c) Benzyl axetat
Lời giải:
Từ etilen và toluen viết sơ đồ điều chế ra
a) etyl benzoat: C6H5COOC2H5

b) 1-etyl-4-metylbenzen
![]()
c) benzyl axeta

Bài 5 (trang 23 sgk Hóa 12 nâng cao): Hãy viết sơ đồ phản ứng từ etilen và toluen điều chế ra các hợp chất sau:

a. Chúng thuộc chức hữu cơ nào?
b. Hãy viết công thức cấu tạo thu gọn và công thức phân tử của chúng
c. Gọi tên hai hợp chất đầu theo danh pháp IUPAC
Lời giải:
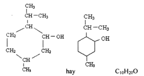
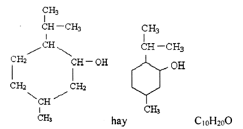
Công thức cấu tạo thu gọn nhất
a. Xitronelal và geranial thuộc chức andehit do phân tử có chứa nhóm chức –CH=O. Metol thuộc chức rượu (ancol) vì phân tử có chứa nhóm –OH
b. Công thức cấu tạo thu gọn và công thức phân tử:
Xitronelal

Geranial

Metol

c. Tên của xitronelal và geranial theo IUPAC
Xitronelal : 3,7-dimetyl oct-6-en-1-al
Geranial : 3,7-dimetyl oct-2,6-dien-1-al
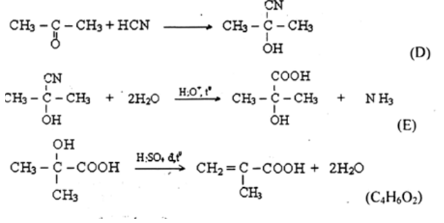
Bài 6 (trang 23 sgk Hóa 12 nâng cao): Hãy hoàn thành các sơ đồ phản ứng sau:

Lời giải:
a. Các phương trình phản ứng

b. Các phương trình phản ứng

Bài 7 (trang 23 sgk Hóa học 12 nâng cao): Đun nóng 3,21 gam hỗn hợp A gồm hai chất hữu cơ B và C có cùng nhóm chức với dung dịch NaOH dư thu được hỗn hợp muối natri của hai axit no đơn chức kế tiếp nhau trong dãy đồng đẳng và một chất lỏng D. Chất D phản ứng với CuO đun nóng cho sản phẩm có phản ứng tráng gương. Cho 1/10 lượng chất D phản ứng với natri được 33,6 ml H2 (đktc). Tỉ khối hơi của D so với không khí là 2
a. xác định công thức cấu tạo của B, C và D
b. Tính thành phần % khối lượng hỗn hợp A
c. Viết phương trình phản ứng của B hoặc C với H2 (Ni, to), Br2 và phản ứng tạo thành polime của chúng
Lời giải:
Hai chất hữu cơ cùng chức tác dụng với NaOH dư tạo ra 2 muối natri của 2 axit no đơn chức kế tiếp và một chất lỏng D. D + CuO →(to) sản phẩm có tráng bạc.
Do đó D là ancol bậc 1: R – CH2OH
B và C là 2 este tạo bởi 2 axit no, đơn chức kế tiếp nhau có công thức chung là CnH2n+1COOH và ancol D.
- Tìm ancol D: dd/kk = 2 → MD = 29.2 = 58
R’ + 14 + 17 = 58 → R’ = 27 (C2H3)
D là C3H5OH: CH2=CH-CH2OH (ancol anlylic)
- Tìm B, C: Đặt công thức chung cho B và C là CnH2n+1COOC3H5
Các phương trình phản ứng:
CnH2n+1COOC3H5 + NaOH → CnH2n+1COONa + C3H5OH (1)
C3H5OH + Na → C3H5ONa + 1/2 H2 (bay hơi) (2)
Số mol H2 = 0,0366 : 22,4 = 0,0015
Vậy 1:10 số mol D là nC3H5OH = 2.0,0015 = 0,003 mol
Theo (1) số mol este CnH2n+1COOC3H5 bằng số mol ancol trong cả lượng D:
neste = 10*0,003 = 0,03 mol
![]()
14n + R1 + 44 + 41 = 107 => n = 1,5
Vậy 2 axit kế tiếp là CH3COOH và C2H5COOH, hai este là CH3COOC3H5 và C2H5COOC3H5
Cấu tạo của 2 este:

b.Tính % (m)
Theo sơ đồ đường chéo ta có:

→ Tỉ lệ số mol 2 este = 7 : 7 = 1 : 1
→ Mỗi este = 0,03 : 2 = 0,015 (mol)
%(m)CH3COOC3H5 = (0,015.100: 3,21).100% = 46,73 %
%(m) C2H5COOC3H5 = 53,27%
c. Phương trình phản ứng của một este với H2, Br2 và tạo polime

Bài 8 (trang 23 sgk Hóa 12 nâng cao): Hãy phân tích các chất vào các loại sau (một chất có thể thuộc nhiều loại)

Lời giải:
A. Chất béo: e
B. Chất giặt rửa: b,c
C. Este: a, d, e
D. Lipit: e
Bài 9 (trang 24 sgk Hóa 12 nâng cao): Chỉ số xà phóng hóa của chất béo là số mg KOH cần để xà phòng hóa triglixerit và trung hòa axit béo tự do trong một gam chất béo (tức xà phòng hóa hoàn toàn 1 gam chất béo). Hãy tính chỉ số xà phòng hóa của một chất béo, biết rằng khi xà phòng hóa hoàn toàn 1,5 gam chất béo đó cần 50 ml dung dịch KOH 0,1 M
Lời giải:
nKOH = 0,05.0,1 = 0,005 (mol)
=> mKOH = 0,005. 56 = 0,28 g = 280 (mg)
Xà phòng hóa 1,5 gam chất béo cần 280 mg KOH do đó xà phòng hóa 1 gam chất béo cần 186,7 mg KOH. Vậy chỉ số xà phòng là 186,7.
----------------------------------
Trên đây VnDoc.com đã giới thiệu tới bạn đọc tài liệu: Giải bài tập Hóa 12 nâng cao bài 4. Để có kết quả cao hơn trong học tập, VnDoc xin giới thiệu tới các bạn học sinh tài liệu Giải bài tập Toán lớp 12, Giải bài tập Hóa học lớp 12, Giải bài tập Vật Lí 12 mà VnDoc tổng hợp và đăng tải.
