Giải bài tập Hóa 12 nâng cao bài 12
Hóa học 12 - Amino axit
Để giúp các bạn học sinh học tập tốt hơn môn Hóa học lớp 12, VnDoc xin giới thiệu tới các bạn học sinh tài liệu Giải bài tập Hóa 12 nâng cao bài 12, chắc chắn tài liệu sẽ giúp các bạn học sinh giải bài tập Hóa học nhanh và hiệu quả hơn.
Giải bài tập Hóa 12 nâng cao bài 7
Giải bài tập Hóa 12 nâng cao bài 8
Giải bài tập Hóa 12 nâng cao
Bài 1 (trang 66 sgk Hóa 12 nâng cao): Phát biểu nào sau đây đúng?
A. Trong phân tử amino axit chỉ có một nhóm –NH2 và một nhóm –COOH
B. Dung dịch các amino axit đều không làm đổi màu quỳ tím
C. Dung dịch các amino axit đều làm đổi màu quỳ tím
D. Các amino axit đều là chất rắn ở nhiệt độ thường
Lời giải:
Đáp án D
Bài 2 (trang 66 sgk Hóa 12 nâng cao): pH của dung dịch 3 chất NH2CH2COOH, CH3CH2COOH, CH3[CH2]3NH2 tăng theo trật tự nào sau đây?
A. CH3[CH2]3NH2 < NH2CH2COOH < CH3CH2COOH
B. CH3CH2COOH < NH2CH2COOH < CH3[CH2]3NH2
C. NH2CH2COOH < CH3CH2COOH < CH3[CH2]3NH2
D. CH3CH2COOH < CH3[CH2]3NH2 < NH2CH2COOH
Lời giải:
Đáp án B
Bài 3 (trang 67 sgk Hóa 12 nâng cao): Amin axit là gì? Viết công thức cấu tạo và gọi tên các amino axit có công thức phân tử là C4H9NO2
Lời giải:
Amino axit là loại hợp chất hữu cơ tạp chức mà phân tử chứa đồng thời nhóm amino (-NH2) và nhóm cacboxyl(-COOH)
Các amino axit có CTPT C4H9NO2
Bài 4 (trang 67 sgk Hóa 12 nâng cao): Viết các phương trình của phản ứng giữa axit 2-amino propanoic với các chất sau: NaOH, H2SO4, CH3OH có mặt khí HCl bão hòa, HNO2
Lời giải:
Các phương trình hóa học của axit 2-aminopropanoic (alanin)

Bài 5 (trang 67 sgk Hóa 12 nâng cao): Viết phương trình hóa học biểu diễn phản ứng trùng ngưng của amino axit sau:
a. Axit 7-amino heptanoic
b. Axit 2-amino propanoic
Lời giải:
Phương trình trùng ngưng
a. Axit 7-amino heptanoic H2N-(CH2)6-COOH

b. Axit 2-amino propanoic CH3-CH(NH2)COOH

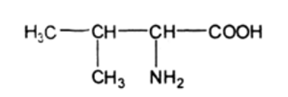
Bài 6 (trang 67 sgk Hóa học 12 nâng cao): Viết công thức cấu tạo của các amino axit sau đây:
a. Axit 2-amino-3-phenyl propanoic (phenyl alanin)
b. Axit 2-amino-3-metyl butanoic (valin)
c. Axit 2-amino-4-metyl pentanoic (leuxin)
d. Axit 2-amino-3-metyl pentanoic (iisoleuxin )
Lời giải:
a. Axit 2-amino-3-phenyl propanoic (phenyl alanin)

b. Axit 2-amino-3-metyl bytanoic (valin)

c. Axit 2 amino-4-metyl pentanoic (lơxin)

d. Axit 2-amino-3-metyl pentanoic (iso lơxin)

Bài 7 (trang 67 sgk Hóa 12 nâng cao): Cho sơ đồ chuyển hóa sau:
![]()
Hãy viết công thức cấu tạo của X, Y, Z và viết các phương trình hóa học của các phản ứng xảy ra?
Lời giải:
Các phương trình hóa học biểu diễn theo sơ đồ chuyển hóa:

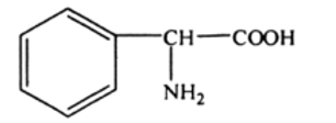
Bài 8 (trang 67 sgk Hóa 12 nâng cao): Cho 0,1 mol hợp chất A tác dụng vừa đủ với 80ml dung dịch HCl 1,25M, sau đó cô cạn dung dịch thì được 18,75 g muối. Mặt khác, nếu cho 0,1 mol A tác dụng với lượng NaOH vừa đủ, rồi đem cô cạn thì được 17,3 gam muối. Xác định công thức phân tử và công thức cấu tạo của A, biết rằng A là một α-amino axit, không làm mất màu dung dịch KMnO4.
Lời giải:
nHCl = 0,08.1,25 = 0,1 mol = nA
A + HCl tỉ lệ 1 : 1 → A có 1 nhóm –NH2
Công thức A có dạng: R(NH2)(COOH)a
(HOOC)a –R-NH2 + HCl → (HOOC)a –R-NH3Cl
H2N-R-(COOH)a + aNaOH → H2N-R-(COONa)a + aH2O
0,1(16 + R + 67a) = 17,3 => R + 67a = 157
=> a = 1; R = 90
A là một α-amino axit và không làm mất màu dung dịch KMnO4, suy ra A có gốc hidrocacbon thơm. Công thức cấu tạo của A là:

----------------------------------
Trên đây VnDoc.com đã giới thiệu tới bạn đọc tài liệu: Giải bài tập Hóa 12 nâng cao bài 12. Để có kết quả cao hơn trong học tập, VnDoc xin giới thiệu tới các bạn học sinh tài liệu Giải bài tập Toán lớp 12, Giải bài tập Hóa học lớp 12, Giải bài tập Vật Lí 12 mà VnDoc tổng hợp và đăng tải.
