Giải bài tập Hóa 12 nâng cao bài 6
Hóa học 12 - Saccarozơ
VnDoc xin giới thiệu tới các bạn học sinh tài liệu Giải bài tập Hóa 12 nâng cao bài 6, với nội dung tài liệu gồm 6 bài tập trang 38, 39 SGK kèm theo lời giải chi tiết sẽ giúp các bạn học sinh học tốt hơn môn Hóa học. Mời thầy cô và các bạn học sinh cùng tham khảo.
Giải bài tập Hóa 12 nâng cao bài 2
Giải bài tập Hóa 12 nâng cao bài 3
Giải bài tập Hóa 12 nâng cao
Bài 1 (trang 38 sgk Hóa 12 nâng cao): Chọn phát biểu đúng: Trong phân tử disaccarit, số thứ tự của C ở mỗi gốc monosaccarit
A. Được ghi theo chiều kim đồng hồ
B. Được bắt đầu từ nhóm –CH2OH
C. Được bắt đầu từ C liên kết với cầu O nối liền 2 gốc monosaccarit
D. Được ghi như ở mỗi monosaccarit
Lời giải:
Đáp án D
Bài 2 (trang 38 sgk Hóa 12 nâng cao): Để phân biệt các dung dịch hóa chất riêng biệt là saccarozo, mantozo, etanol và fomadehit người ta có thể dùng một trong các hóa chất nào sau đây?
A. Cu(OH)2/OH-
B. AgNO3/NH3
C. H2/Ni
D. Vôi sữa
Lời giải:
Đáp án A
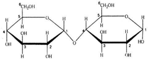
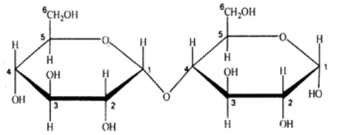
Bài 3 (trang 38 sgk Hóa học 12 nâng cao): a) Hãy viết công thức cấu trúc của saccarozo (có ghi số thứ tự của C) và nói rõ cách hình thành nó từ phân tử glucozo và phân tử fructozo. Vì sao saccarozo không có tính khử?
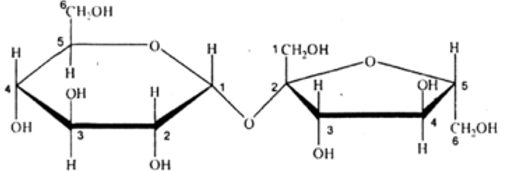
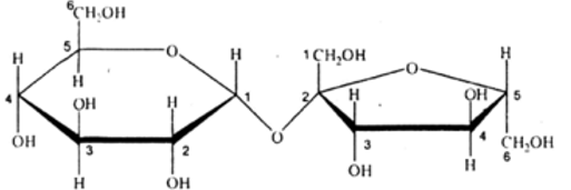
b) Hãy viết công thức cấu trúc của mantozo (có ghi số thứ tự của C) và nói rõ cách hình thành nó từ 2 phân tử glucozo. Vì sao mantozo có tính khử
Lời giải:
a. Công thức cấu tạo của saccarozo
Phân tử saccarozo gồm một α-glucozo liên kết với một gốc β-fructozo ở C1 của gốc thức nhất và C2 của gốc thức hai qua nguyên tử oxi. Saccarozo không có tính khử vì không có dạng mạch hở, hay không có nhóm chức –CH=O
b. Công thức cấu tạo của mantozo

Phân tử mantozo gồm hai gốc α-glucozo liên kết với nhau qua nguyên tử oxi, một gốc ở C1 và một gốc ở C4. Gốc glucozo thức hai có nhóm OH tự do, nên trong dung dịch gốc này có thể mở vòng tạo ra nhóm –CH=O, tương tự glucozo. Mantozo có tính khử
Bài 4 (trang 38 sgk Hóa 12 nâng cao): Viết phương trình hóa học của các phản ứng xảy ra (nếu có) giữa saccarozo với Cu(OH)2 (ở nhiệt độ thường và đun nóng) với dung dịch AgNO3 trong amoniac (đun nhẹ) và với dung dịch H2SO4 (loãng đun nhẹ)
Cũng câu hỏi như vậy nhưng thay saccarozo bằng mantozo
Lời giải:
Phản ứng của saccarozo:

Phản ứng của mantozo:

Bài 5 (trang 39 sgk Hóa 12 nâng cao): Trình bày phương pháp phân biệt các dung dịch hóa chất trong mỗi dãy sau bằng phương pháp hóa học
a. saccarozo, glucozo, glixerol
b. saccarozo, mantozo và andehit
c. saccarozo, mantozo, glixerol và andehit axetic
Lời giải:
a.- Cho các chất thực hiện phản ứng tráng bạc nhận ra glucozo do tạo kết tủa Ag.
![]()
- Hai chất còn lại cho tác dụng với dung dịch sữa vôi, nếu phản ứng xảy ra tạo thành dung dịch đồng nhất thì đó là saccarozo, chất không phản ứng là glixerol.
b. Cho Cu(OH)2 vào 3 dung dịch rồi đun nóng.
- Nhận ra saccarozo vì tạo ra dung dịch màu xanh lam
2C12H22O11 + Cu(OH)2 → (C12H21O11)2Cu + 2H2O
- Nhận ra mantozo do lúc đầu tạo dung dịch màu xanh lam, khi đun nóng xuất hiện kết tủa đỏ gạch
2C12H22O11 + Cu(OH)2 (to thường) → (C12H21O11)2Cu + 2H2O
C11H21O10CH=O + 2Cu(OH)2 (to)→ C12H21O10-COOH + 2H2O + Cu2O (kết tủa)
- Nhận ra andehit axetic vì tạo kết tủa đỏ gạch
CH3CHO + 2Cu(OH)2 (to)→ CH3COOH + 2H2O + Cu2O (kết tủa)
c. Phân biệt saccarozo, mantozo, glixerol và andehit axetic
Cho 4 chất tác dụng với phức bạc amoniac. Chia 4 chất thành 2 nhóm
- Nhóm có phản ứng tráng bạc gồm mantozo và andehit axetic(nhóm 1)
C11H21O10CHO + 2[Ag(NH3)2]OH (to)→ C11H21O11-COONH4 + 3NH3+ 2H2O + 2Ag (kết tủa)
CH3CHO + 2[Ag(NH3)2]OH (to)→ CH3-COONH4 + 3NH3+ 2H2O + 2Ag (kết tủa)
- Nhóm không có phản ứng tráng bạc gồm saccarozo và glixerol (nhóm 2)
Cho 2 chất thuộc nhóm 1 tác dụng với Cu(OH)2 ở nhiệt độ thương
- Nhận ra mantozo vì nhó hòa tan Cu(OH)2 tạo thành dung dịch có màu xanh lam
2C12H22O11 + Cu(OH)2 (to thường) → (C12H21O11)2Cu + 2H2O
- Andehit axetic không có phản ứng trên
Cho hai chất nhóm 2 tác dụng với sữa vôi, nếu tạo thành dung dịch trong suốt thì đó là saccarozo, do tạo thành saccarat canxi tan
- Glixerol không có phản ứng trên
Bài 6 (trang 39 sgk Hóa 12 nâng cao): Thủy phân hoàn toàn 34,2 gam saccarozo sau đó tiến hành phản ứng tráng bạc với dung dịch thu được. Tính khối lượng Ag kết tủa
Lời giải:
nsaccarozo = 34,2:342 = 0,1 (mol)
C12H22O11 + H2O (H+ ) → C6H12O6+ C6H12O6
CH2OH-[CHOH]4CHO+ 2[Ag(NH3)2]OH (to) → CH2OH-(CHOH)4-COONH4 + 3NH3+ 2H2O + 2Ag (kết tủa)
Số mol bạc nAg = 2nglucozo = 2nsaccarozo = 0,2 mol
=> Khối lượng bạc là: 0,2.108 = 21,6 (gam)
----------------------------------
Trên đây VnDoc.com đã giới thiệu tới bạn đọc tài liệu: Giải bài tập Hóa 12 nâng cao bài 6. Để có kết quả cao hơn trong học tập, VnDoc xin giới thiệu tới các bạn học sinh tài liệu Giải bài tập Toán lớp 12, Giải bài tập Hóa học lớp 12, Giải bài tập Vật Lí 12 mà VnDoc tổng hợp và đăng tải.
