Giải bài tập Hóa 12 nâng cao bài 5
Hóa học 12 - Glucozơ
VnDoc xin giới thiệu tới bạn đọc tài liệu Giải bài tập Hóa 12 nâng cao bài 5, tài liệu gồm 8 bài tập trang 32, 33 SGK kèm theo lời giải chi tiết sẽ giúp các bạn học sinh học môn Hóa học được tốt hơn. Mời các bạn học sinh tham khảo.
Giải bài tập Hóa 12 nâng cao bài 1
Giải bài tập Hóa 12 nâng cao bài 2
Giải bài tập Hóa 12 nâng cao
Bài 1 (trang 32 sgk Hóa 12 nâng cao): Phát biểu nào sau đây không đúng?
A. Glucozơ và fructozơ là đồng phân cấu tạo của nhau
B. Có thể phân biệt glucozơ và fructozơ bằng phản ứng tráng bạc
C. Trong dung dịch, glucozơ tồn tại ở dạng mạch vòng ưu tiên hơn dạng mạch hở
D. Metyl α-glucozit không thể chuyển sang dạng mạch hở
Lời giải:
Đáp án B
Bài 2 (trang 32 sgk Hóa 12 nâng cao): Cho các dung dịch: glucozo, glixerol, axit axetic, etanol. Thuốc thử nào sau đây để nhận biết được các dung dịch trên?
A. Cu(OH)2 trong môi trường kiềm
B. [Ag(NH3)2]OH
C. Na kim loại
D. Nước brom
Lời giải:
Đáp án A
Bài 3 (trang 32 sgk Hóa 12 nâng cao): a) Cacbohidrat là gì? Có mấy loại cacbohidrat quan trọng? b) Nêu định nghĩa từng loại cacbohidrat và lấy thí dụ minh họa?
Lời giải:
Cacbonhiđrat là những hợp chất hữu cơ tạp chức thường có công thức chung là Cn(H2O)m
Có ba loại cacbohiđrat:
Monosaccarit: Là nhóm cacbohiđrat đơn giản nhất không thể thủy phân được. Thí dụ: glucozơ, fructozơ
Đisaccarit: Là nhóm cacbohiđrat mà khi thủy phân sinh ra 2 phân tử monosaccarit. Thí dụ: saccarozơ, mantozơ
Polisaccarit: Là nhóm cacbohiđrat phức tạp mà khi thủy phân đến cùng sinh ra nhiều phân tử monosaccarit. Thí dụ: tinh bột, xenlulozơ
Bài 4 (trang 32 sgk Hóa 12 nâng cao): a) Hãy viết công thức dạng mạch hở của glucozo và nhận xét về các nhóm chức của nó(tên nhóm chức, số lượng, bậc nếu có). Những thí nghiệm nào chứng minh được cấu tạo dạng mạch hở của glucozo?
b) Hãy viết công thức dạng mạch vòng của glucozo và nhận xét về các nhóm chức của nó (tên nhóm chức, số lượng, bậc và vị trí tương đối trong không gian). Những thí nghiệm nào chứng minh được glucozo tồn tại ở dạng mạch vòng?
c)trong dung dịch, glucozo tồn tại ở những dạng nào (viết công thức và gọi tên?
Lời giải:
Công thức dạng mạch hở của glucozo
CH2OH-CHOH-CHOH-CHOH-CHOH-CH=O
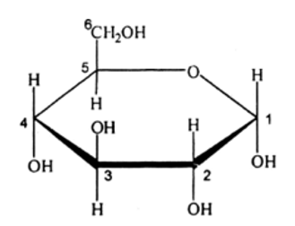
Công thức dạng mạch vòng của glucozo
Bài 5 (trang 33 sgk Hóa 12 nâng cao): Hãy viết phương trình hóa học của các phản ứng sau (nếu có):
a.Glucozơ tác dụng với nước brom
b.Fructozơ + H2 → (Ni,to)
c. Fructozơ + [Ag(NH3)2]OH →
d. Glucozơ + [Ag(NH3)2]OH →
Lời giải:
a. CH2OH-(CHOH)4-CHO + Br2 + H2O → CH2OH – (CHOH)4-COOH + 2HBr
b. Fructozơ tác dụng với H2, xúc tác Ni

c. Fructozơ không tác dụng với [Ag(NH3)2]OH
d. Glucozơ tác dụng với [Ag(NH3)2]OH

Bài 6 (trang 33 sgk Hóa 12 nâng cao): Cho 200 ml dung dịch glucozo phản ứng hoàn toàn với dung dịch AgNO3 trong NH3 thu được 10,8 gam bạc. Tính nồng độ mol của glucozo đã dùng
Lời giải:
nAg = 10,8 : 108 = 0,1 mol

Theo phương trình: nglucozơ = 1/2nAg = 0,05 mol
→CMglucozo = 0,05 : 0,2 = 0,25 M
Bài 7 (trang 33 sgk Hóa 12 nâng cao): Đun nóng dung dịch chứa 18 gam glucozo với một lượng vừa đủ AgNO3 trong NH3 thấy Ag tách ra. Tính lượng Ag thu được và khối lượng AgNO3 cần dùng, biết rằng các phản ứng xảy ra hoàn toàn
Lời giải:
Phương trình phản ứng:
AgNO3 + 3NH3 + H2O → [Ag(NH3)2]OH + NH4NO3

Số mol glucozo nC6H12O6 = 18 : 180 = 0,1 mol
nAg = 2
\(n_{C_6H_{12}O_6}\) = 0,2 mol =
\(n_{AgNO_3}\)
khối lượng bạc thu được mAg = 0,2.108 = 21,6 (g)
khối lượng bạc nitrat cần dùng
\(m_{AgNO_3}\) = 0,2.170 = 34 (g)
Bài 8 (trang 33 sgk Hóa học 12 nâng cao): Cho lên men 1m3 rỉ đường, sau đó chưng cất thu được 60 lít cồn 96o. Tính khối lượng glucozo có trong 1m3 nước rỉ đường glucozo trên, biết rằng khối lượng riêng của ancol etylic bằng 0,789 g/ml ở 20oC và hiệu suất của quá trình lên men đạt 80%
Lời giải:
Phản ứng lên men: C6H12O6 lên men→ 2C2H5OH + 2CO2 (1)
Thể tích C2H5OH trong cồn 96o là 96:100.60 = 57,6 (lít)
\(D_{C_2H_5OH}\) = 0,789 (g/ml) = 0,789 kg/lít
Vậy khối lượng etanol nguyên chất là m = 57,6.0,789 (kg)
Theo (1) cứ 180 (g) glucozo → 2.46 (g) etanol
86,92 kg <- 57,6.0,789 (kg) etanol
Do H = 80% → khối lượng glucozo có trong 1m3 nước rỉ đường là:
86,92.100:80 = 108,7 (kg)
----------------------------------
Trên đây VnDoc.com đã giới thiệu tới bạn đọc tài liệu: Giải bài tập Hóa 12 nâng cao bài 5. Để có kết quả cao hơn trong học tập, VnDoc xin giới thiệu tới các bạn học sinh tài liệu Giải bài tập Toán lớp 12, Giải bài tập Hóa học lớp 12, Giải bài tập Vật Lí 12 mà VnDoc tổng hợp và đăng tải.
