Giải SBT Hóa 8 bài 26: Oxit
Giải bài tập SBT Hóa học lớp 8 bài 26
Giải bài tập SBT Hóa học lớp 8 bài 26: Oxit tổng hợp lời giải chi tiết, rõ ràng các câu hỏi trong vở bài tập Hóa học lớp 8, các bài giải tương ứng với từng bài học trong sách giúp cho các em học sinh ôn tập và củng cố các dạng bài tập, rèn luyện kỹ năng giải môn Hóa lớp 8. Chúc các em học tốt.
Bài 26.1 trang 35 sách bài tập Hóa 8
Dãy gồm các chất thuộc loại oxit axit là:
A. CO2, SO2, Na2O, NO2
B. CaO, CO2, SO2, P2O5
C. CO2, SO2, SO3, P2O5, NO2
D. NO2, P2O5, Fe3O4, CaO.
Hướng dẫn giải
Chọn C.
Bài 26.2 trang 35 sách bài tập Hóa 8
Dãy gồm các chất thuộc loại oxit bazo là:
A. FeO, CaO, CO2, NO2
B. CaO, Al2O3, MgO, Fe3O4
C. CaO, NO2, P2O5, MgO
D. CuO, Mn2O3, CO2, SO3
Hướng dẫn giải bài tập
Chọn B.
Bài 26.3 trang 36 sách bài tập Hóa 8:
Có một số công thức hóa học được viết như sau:
KO, Al2O3, FeO, CaO, Zn2O, Mg2O, N2O, PO, SO, S2O
Hãy chỉ ra những công thức viết sai.
Hướng dẫn giải bài tập
Các công thức hóa học viết sai: KO, Zn2O, Mg2O, PO, SO, S2O
Bài 26.4 trang 36 sách bài tập Hóa 8
Hãy viết tên và công thức hóa học của oxit axit và 4 oxit bazo. Hãy chỉ ra các oxit tác dụng được với nước (nếu có).
Hướng dẫn giải bài tập
a) Bốn công thức hóa học của oxit axit:
SO2: Lưu huỳnh đioxit.
P2O5: điphotpho pentaoxit
N2O5: đinito pentaoxit.
CO2: cacbon dioxit.
SO2 + H2O → H2PO4
N2O5 + H2O → 2HNO3
P2O5 + 3H2O → 2H3PO4
CO2 + H2O → H2CO3
b) Bốn oxit bazo:
K2O: kali oxit; Na2O: natri oxit
CaO: canxi oxit; Al2O3: nhôm oxit
K2O + H2O → 2KOH
Na2O + H2O → 2NaOH
CaO + H2O → Ca(OH)2
Al2O3 + H2O không phản ứng
Bài 26.5 trang 36 sách bài tập Hóa 8:
Hãy điều chế ba oxit. Viết các phương trình phản ứng.
Hướng dẫn giải bài tập
S + O2
\(\overset{t^{\circ } }{\rightarrow}\) SO2
2Mg + O2
\(\overset{t^{\circ } }{\rightarrow}\) 2MgO
4Al + 3O2
\(\overset{t^{\circ } }{\rightarrow}\) 2Al2O3
Bài 26.6 trang 36 sách bài tập Hóa 8
Lập công thức các bazo ứng với các oxit sau đây: CuO, FeO, Na2O, BaO, Fe2O3, MgO.
Hướng dẫn giải bài tập
CuO-Cu(OH)2; FeO-Fe(OH)2
Na2O-NaOH; BaO-Ba(OH)2; Fe2O3-Fe(OH)3
Al2O3-Al(OH)3; MgO-Mg(OH)2.
Bài 26.7 trang 36 sách bài tập Hóa 8
Viết phương trình biểu diễn những chuyển hóa sau:
a) natri → natri oxit → natri hidroxit.
b) Cacbon → cacbon đioxit → axit cacbon (H2CO3).
Hướng dẫn giải bài tập
a) Na
\(\overset{1 }{\rightarrow}\) Na2O
\(\overset{2 }{\rightarrow}\) NaOH
4Na + O2
\(\overset{t^{\circ } }{\rightarrow}\) 2Na2O
Na2O + H2O → 2NaOH
b) C
\(\overset{1 }{\rightarrow}\) CO2
\(\overset{2 }{\rightarrow}\) H2CO3
C + O2
\(\overset{t^{\circ } }{\rightarrow}\) CO2
CO2 + H2O → H2CO3
Bài 26.8 trang 36 sách bài tập Hóa 8:
Khu mỏ sắt ở Trại Cau (Thái Nguyên) có một lạo quặng sắt (thành phần chính là Fe2O3). Khi phân tích mẫu quặng này, người ta nhận thấy có 2,8g sắt. Trong mẫu quặng trên, khối lượng sắt (III) oxit Fe2O3 ứng với hàm lượng sắt nói trên là:
A. 6g.
B. 8g.
C. 4g.
D. 3g.
Hãy chọn đáp số đúng.
Hướng dẫn giải bài tập
Phương trình hóa học:
2Fe + 3/2O2
\(\overset{t^{\circ } }{\rightarrow}\) Fe2O3
2.56 160 gam
2,8 gam x? gam
Khối lượng Fe2O3 ứng với lượng sắt trên là:
x = (2,8.160)/(2.56) = 4 (gam)
→ Chọn C.
Bài 26.9 trang 36 sách bài tập Hóa 8
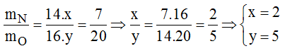
Tỉ lệ khối lượng của nito và oxi trong một oxit của nito là 7 : 20. Công thức của oxit là:
A. N2O.
B. N2O3.
C. NO2.
D. N2O5.
Hãy chọn đáp số đúng.
Hướng dẫn giải bài tập
Gọi công thức hóa học của oxit là NxOy.
Tỉ số khối lượng:

Vậy công thức hóa học của oxit Nito là: N2O5.
→ Chọn D.
Bài 26.10 trang 36 sách bài tập Hóa 8
Cho 28,4g điphotpho penoxit P2O5 vào cốc có chứa 90g H2O để tạo thành axit photphoric H3PO4. Khối lượng axit H3PO4 tạo thành là:
A. 19.6g
B. 58,8g
C. 39,2g
D. 40g
Hãy chọn đáp số đúng.
Hướng dẫn giải bài tập
Phương trình phản ứng:
P2O5 + 3H2O
\(\overset{t^{\circ } }{\rightarrow}\) 2H3PO4
1 mol 3 mol 2 mol
0,2 mol 5 mol
nP2O5 = 28,4/142 = 0,2 (mol); nH2O = 90/18 = 5 mol
Tỉ lệ mol:

Vậy H2O dư và P2O5 hết.

→ Chọn C.
Bài 26.11 trang 36 sách bài tập Hóa 8
Một oxit tạo thành bởi mangan và oxi, trong đó tỉ lệ khối lượng giữa mangan và oxi là 55:24. Hãy xác định công thức phân tử của oxi.
Hướng dẫn giải bài tập
Gọi công thức tổng quát của oxit: Mn2Oy
Theo đề bài ta có:

Vậy công thức phân tử của oxit là Mn2O3.
...............................
Để có kết quả cao hơn trong học tập, VnDoc xin giới thiệu tới các bạn học sinh tài liệu Chuyên đề Toán 8, Chuyên đề Vật Lý 8, Chuyên đề Hóa 8, Tài liệu học tập lớp 8 mà VnDoc tổng hợp và đăng tải.
Ngoài ra, VnDoc.com đã thành lập group chia sẻ tài liệu học tập THCS miễn phí trên Facebook: Tài liệu học tập lớp 8. Mời các bạn học sinh tham gia nhóm, để có thể nhận được những tài liệu mới nhất.