Giải SBT Hóa 8 bài 25: Sự oxi hóa - Phản ứng hóa hợp - Ứng dựng của oxi
Giải sách bài tập hóa 8 bài 25: Sự oxi hóa - Phản ứng hóa hợp - Ứng dựng của oxi
Giải SBT Hóa 8 bài 25: Sự oxi hóa - Phản ứng hóa hợp - Ứng dựng của oxi tổng hợp lời giải chi tiết, rõ ràng các câu hỏi trong vở bài tập Hóa học lớp 8, các bài giải tương ứng với từng bài học trong sách giúp cho các em học sinh ôn tập và củng cố các dạng bài tập, rèn luyện kỹ năng giải môn Hóa lớp 8. Chúc các em học tốt.
Bài 25.1 trang 34 sách bài tập Hóa 8
Trong các công thức hóa học sau. Công thức nào là công thức của oxi: SO2, CH4O, CO2, NaOH, P2O5, Fe3O4, Al2O3.
Hướng dẫn giải bài tập
Các công thức oxit: SO2, CO2, P2O5, Fe3O4, Al2O3.
Bài 25.2 trang 35 sách bài tập Hóa 8
Trong các phản ứng hóa học sau. Phản ứng nào là phản ứng hóa hợp.
a) 4Al + 3O2
\(\overset{t^{\circ } }{\rightarrow}\) 2Al2O3
b) Fe + H2O
\(\overset{t^{\circ } }{\rightarrow}\) FeO + H2
c) CaCO3
\(\overset{t^{\circ } }{\rightarrow}\) CaO + CO2
d) SO3 + H2O
\(\overset{t^{\circ } }{\rightarrow}\) H2SO4
e) CaO + CO2
\(\overset{t^{\circ } }{\rightarrow}\) CaCO3
f) CaO + H2O
\(\overset{t^{\circ } }{\rightarrow}\) Ca(OH)2
Hướng dẫn giải bài tập
Các phản ứng hóa hợp:
a) 4Al + 3O2
\(\overset{t^{\circ } }{\rightarrow}\) 2Al2O3
b) SO3 + H2O
\(\overset{t^{\circ } }{\rightarrow}\) H2SO4
c) CaO + CO2
\(\overset{t^{\circ } }{\rightarrow}\) CaCO3
d) CaO + H2O
\(\overset{t^{\circ } }{\rightarrow}\) Ca(OH)2
Bài 25.3 trang 35 sách bài tập Hóa 8
a) Củi, than cháy được trong không khí. Nhà em có củi, thanh xếp trong học bếp, xung quanh có không khí. Tại sao củi, than đó lại không cháy?
b) Củi, than đang chay em muốn dập tắt thì phải làm như thế nào?
Hướng dẫn giải bài tập
a) Vì than, củi xếp trong hộc bếp, xung quanh có không khí ẩm, nhiệt độ thấp hơn nhiệt độ cháy nên than không bốc cháy.
b) Củi, than đang cháy em muốn dập tắt thì phải để chúng không tiếp xúc với oxi của không khí, do đó vẩy nước hay phủ cát lên bề mặt vật cháy để cho vật không tiếp xúc với không khí và hạ nhiệt độ xuống dưới nhiệt độ cháy.
Bài 25.4 trang 35 sách bài tập Hóa 8
Cho các oxit sau: CO2, SO2, P2O5, Al2O3, Fe3O44.
a) Chúng được tạo thành từ các đơn chất nào?
b) Viết phương trình phản ứng và nêu điều kiện phản ứng (nếu có) điều chế các oxit trên.
Hướng dẫn giải bài tập
a) CO2: được tạo ra từ đơn chất cacbon và oxi.
SO2: được tạo ra từ đơn chất lưu huỳnh và oxi.
P2O5: được tạo ra từ đơn chất photpho và oxi.
Al2O3: được tạo ra từ đơn chất nhôm và oxi.
Fe3O4: được tạo ra từ đơn chất sắt và oxi.
b) C + O2
\(\overset{t^{\circ } }{\rightarrow}\) CO2
S + O2
\(\overset{t^{\circ } }{\rightarrow}\) SO2
4P + 5O2
\(\overset{t^{\circ } }{\rightarrow}\) 2P2O5
4Al + 3O2
\(\overset{t^{\circ } }{\rightarrow}\) 2Al2O3
3Fe + 2O2
\(\overset{t^{\circ } }{\rightarrow}\) Fe3O4
Bài 25.5 trang 35 sách bài tập Hóa 8
Hỗn hợp C2H2 và O2 với tỉ lệ nào về thể tích thì phản ứng cháy sẽ tạo ra nhiệt độ ca nhất? Ứng dụng phản ứng này để làm gì?
Hướng dẫn giải bài tập
Phương trình phản ứng khí C2H2 cháy:
2C2H2 + 5O2
\(\overset{t^{\circ } }{\rightarrow}\) 4CO2 + 2H2O
2 mol 5 mol
Để có phản ứng cháy xảy ra ở nhiệt độ cao nhất thì tỉ lệ thể tích:
VC2H2 : VO2 = 1: 2,5
Ứng dụng của phản ứng này dùng trong xì đèn.
Oxi – axetilen để hàn và cắt kim loại
Bài 25.6 trang 35 sách bài tập Hóa 8
a) Xác định công thức hóa học của nhôm oxit, biết tỉ lệ khối lượng của hai nguyên tố nhôm và oxi bằng 4,5 : 4. Công thức hóa học của nhôm oxit là:
A. AlO. B.AlO2. C. Al2O3 D. Al3O4.
b) Oxit của một nguyên tố có hóa trị (II) chứa 20% oxi (về khối lượng). Công thức hóa học của oxit đó là:
A.CuO. B. FeO. C.CaO. D.ZnO
Tìm công thức đúng.
Hướng dẫn giải bài tập
a) Công thức của oxit là AlxOy
Ta có:
\(\frac{{{m_{Al}}}}{{{m_O}}} = \frac{{27x}}{{16y}} = \frac{{4,5}}{4} = > \frac{x}{y} = \frac{{4,5.16}}{{4.27}} = \frac{2}{3} = > \left\{ \begin{array}{l}
x = 2\\
y = 3
\end{array} \right.\)
Vậy công thức hóa học của nhôm oxit là Al2O3.
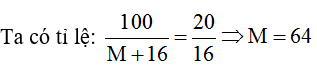
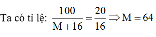
b) Công thức hóa học của oxit cần tìm là MO.
Khối lượng mol của MO = M + 16
Và trong 100g MO có 20g oxi.

Vậy M là kim loại Cu, công thức hóa học của oxit là CuO.
Bài 25.7 trang 35 sách bài tập Hóa 8
Một oxit của lưu huỳnh trong đó oxi chiếm 60% về khối lượng. Tìm công thức phân tử của oxit đó.
Hướng dẫn giải bài tập
Gọi công thức hóa học của oxit là: SxOy.
Theo đề bài ta có:
\(\frac{{16y}}{{32x + 16y}} = \frac{{60}}{{100}} = > \frac{{640}}{{1920}} = \frac{1}{3} = > \left\{ \begin{array}{l}
x = 1\\
y = 3
\end{array} \right.\)
Vậy công thức hóa học của oxit là SO3.
........................................
Mời các bạn tham khảo thêm một số tài liệu liên quan:
Để có kết quả cao hơn trong học tập, VnDoc xin giới thiệu tới các bạn học sinh tài liệu Chuyên đề Toán 8, Chuyên đề Vật Lý 8, Chuyên đề Hóa 8, Tài liệu học tập lớp 8 mà VnDoc tổng hợp và đăng tải.
Ngoài ra, VnDoc.com đã thành lập group chia sẻ tài liệu học tập THCS miễn phí trên Facebook: Tài liệu học tập lớp 8. Mời các bạn học sinh tham gia nhóm, để có thể nhận được những tài liệu mới nhất.