Trắc nghiệm Hóa học 8 bài 29
Trắc nghiệm Hóa học 8 có đáp án
Trắc nghiệm Hóa học 8 bài 29 do VnDoc biên soạn với các bài tập Hóa 8 khác nhau bám sát nội dung trọng tâm bài học, hỗ trợ học sinh đạt kết quả cao trong chương trình học lớp 8.
Bài tập Hóa học 8 bài 29: Bài luyện tập 5
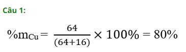
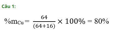
Câu 1: Phần trăm khối lượng của Cu trong CuO là
A. 60%
B. 70%
C. 80%
D. 50%
Câu 2: Bari oxit có công thức hóa học là
A. Ba2O
B. BaO
C. BaO2
D. Ba2O2
Câu 3: Sử dụng chất nào để nhận biết 3 chất rắn Na2O, Al2O3, MgO.
A. H2SO4
B. BaCl2
C. H2O
D. HCl
Câu 4: Phát biểu nào sau đây về oxi là không đúng?
A. Oxi nhẹ hơn không khí
B. Oxi cần thiết cho sự sống
C. Oxi không mùi và không vị
D. Oxi chiếm chiếm 20,9% về thể tích trong không khí
Câu 5: Nhóm chất nào sau đây đều là oxit?
A. SO2, MgSO4, CuO
B. CO, SO2, CaO
C. CuO, HCl, KOH
D. FeO, CuS, MnO2
Câu 6: Oxit là hợp chất của oxi với:
A. Một nguyên phi kim
B. Một nguyên tố kim loại
C. Nhiều nguyên tố hóa học
D. Một nguyên tố hóa học khác
Câu 7: Nếu đốt cháy hoàn toàn 2,8 g nito trong không khí thì thu được bao nhiêu lít khí NO2(đktc)?
A. 4,48 l
B. 1,024 l
C. 3,36 l
D. 1,12 l
Câu 8: Số gam KClO3 để điều chế 2,4 g Oxi ở dktc?
A. 18
B. 17,657 g
C. 18,375 g
D. 9,17 g
Câu 9: Tỉ lệ khối lượng của Nitơ và Oxi là 7: 8. Công thức của oxit là
A. NO
B. NO2
C. N2O5
D. N2
Câu 10: Người ta thu khí oxi bằng cách đẩy không khí là dựa vào tính chất nào?
A. Oxi tan trong nước
B. Oxi nặng hơn không khí
C. Oxi không mùi, màu, vị
D. Khí oxi dễ trộn lẫn trong không khí
Đáp án Câu hỏi trắc nghiệm Hóa học 8
| 1.C | 2.B | 3.C | 4.A | 5.B |
| 6.D | 7.A | 8.C | 9.A | 10.B |
Hướng dẫn:

Câu 3: Cho 3 chất rắn tác dụng với nước
+ Chất rắn tan là Na2O
Na2O + H2O → 2NaOH
+ Chất rắn không tan là Al2O3 và MgO
Cho 2 chất còn lại tác dụng với dung dịch NaOH vừa thu được
+ Chất rắn tan là Al2O3
Al2O3 + 2NaOH → 2NaAlO2 + H2O
+ chất rắn không tan là MgO


Tham khảo thêm các bài Hóa học 8