Trắc nghiệm Hóa học 8 bài 28
Trắc nghiệm Hóa học 8 có đáp án
Trắc nghiệm Hóa học 8 bài 28 do VnDoc biên soạn với các bài tập Hóa 8 khác nhau bám sát nội dung trọng tâm bài học, hỗ trợ học sinh đạt kết quả cao trong chương trình học lớp 8.
Bài tập Hóa học 8 bài 28: Không khí - Sự cháy
Câu 1: Trong không khí Oxi chiếm bao nhiêu phần trăm thể tích?
A. 21%
B. 79%
C. 21%
D. 0%
Câu 2: Phương pháp nào để dập tắt lửa do xăng dầu?
A. Quạt
B. Phủ chăn bông hoặc vải dày
C. Dùng nước
D. Dùng cồn
Câu 3: Chọn đáp án đúng nhất. Bản chất của phản ứng cháy là:
A. Cần có Oxi
B. Sản phẩm tạo ra có CO2
C. Là phản ứng oxi hóa – khử
D. Là phản ứng tỏa nhiệt
Câu 4: Để bảo vệ không khí trong lành chúng ta nên làm gì?
A. Chặt cây xây cầu cao tốc
B. Đổ chất thải chưa qua xử lí ra môi trường
C. Trồng cây xanh
D. Xây thêm nhiều khu công nghiệp
Câu 5: Thành phần các chất trong không khí:
A. 9% Nitơ, 90% Oxi, 1% các chất khác
B. 91% Nitơ, 8% Oxi, 1% các chất khác
C. 50% Nitơ, 50% Oxi
D. 21% Oxi, 78% Nitơ, 1% các chất khác
Câu 6: Điều kiện phát sinh phản ứng cháy là:
A. Chất phải nóng đến nhiệt độ cháy
B. Phải đủ khí oxi cho sự cháy.
C. Cần phải có chất xúc tác cho phản ứng cháy
D. Cả A & B
Câu 7: Chọn đáp án đúng nhất
A. Phản ứng oxi hóa chính là phản ứng cháy
B. Sự oxi hóa chậm không tỏa nhiệt và phát sáng
C. Sự oxi hóa chậm tỏa nhiệt và không phát sáng
D. Cả 3 đáp án đều sai
Câu 8: Sự giống nhau giữa sự cháy và sự oxi hóa chậm là
A. Phát sáng
B. Cháy
C. Tỏa nhiệt
D. Sự oxi hóa xảy ra chậm
Câu 9: Làm thế nào để dập tắt sự cháy?
A. Hạ nhiệt độ của chất cháy xuống dưới nhiệt độ cháy
B. Cách li chất cháy với oxi
C. Quạt
D. A & B đều đúng
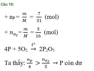
Câu 10: Đốt cháy 6g oxi và 7g P trong bình. Sau phản ứng chất nào còn dư?
A. Photpho
B. Oxi
C. Không xác định được
D. Cả hai chất
Câu 11: Sự cháy là
A. sự tỏa nhiệt, phát sáng nhưng không có sự oxi hóa.
B. sự oxi hóa, có tỏa nhiệt nhưng không phát sáng.
C. sự oxi hóa, có tỏa nhiệt và phát sáng.D. sự phát sáng, không tỏa nhiệt và không có sự oxi hóa.
Câu 12: Đốt cháy hỗn hợp bột Al và Mg cần 16,8 lít oxi (đktc). Biết lượng Al trong hỗn hợp là 13,5 gam. Phần trăm khối lượng của Mg trong hỗn hợp là:
A. 96,2%
B. 97,2%
C. 86,3%
D. 84,4%
Câu 13: Để bảo vệ không khí trong lành, không bị ô nhiễm chúng ta nên làm gì?
A. Chặt cây xây cầu cao tốc.
B. Đổ chất thải chưa qua xử lí ra môi trường.
C. Xây thêm nhiều khu công nghiệp.
D. Trồng thêm nhiều cây xanh.
Câu 14: Khí chiếm thể tích lớn nhất trong không khí là
A. khí cacbonic.
B. khí oxi.
C. khí nitơ.D. khí neon.
Câu 15: Chọn đáp án đung nhất. Bản chất của phản ứng cháy là:
A. Cần có Oxi
B. Sản phẩm tạo ra có CO2
C. Là phản ứng oxi hóa – khử
D. Là phản ứng tỏa nhiệt
Câu 16: Trong không khí oxi chiếm
B. 80%.
C. 30%.
D. 100%.
Câu 17: Phát biểu nào sau đây đúng?
A. Sự cháy là sự oxi hóa có tỏa nhiệt
B. Sự cháy là sự oxi hóa có tỏa nhiệt và phát sángC. Sự cháy là sự oxi hóa có tỏa nhiệt và không phát sáng
D. Sự cháy là sự oxi hóa có khí và kết tủa tạo thành
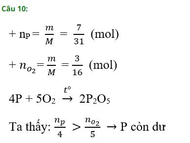
Câu 18: Đốt cháy 7 gam P trong bình chứa 6 gam oxi. Sau phản ứng chất nào còn dư?
A. PhotphoB. Oxi
C. Không xác định được
- D. Cả hai chất
Đáp án Câu hỏi trắc nghiệm Hóa học 8
| 1. A | 2.B | 3.C | 4.C | 5.D |
| 6.D | 7.C | 8.C | 9.D | 10.A |
| 11.C | 12.A | 13.D | 14.C | 15.C |
| 16.A | 17.B | 18.A |
Hướng dẫn
