Giải bài tập SBT Hóa học lớp 8 bài 42: Nồng độ dung dịch
Giải bài tập SBT Hóa học lớp 8 bài 42
Giải bài tập SBT Hóa học lớp 8 bài 42: Nồng độ dung dịch tổng hợp lời giải chi tiết, rõ ràng các câu hỏi trong vở bài tập Hóa học lớp 8, các bài giải tương ứng với từng bài học trong sách giúp cho các em học sinh ôn tập và củng cố các dạng bài tập, rèn luyện kỹ năng giải môn Hóa lớp 8. Chúc các em học tốt.
Bài 42.1 trang 57 sách bài tập Hóa 8:
Hãy chọn câu trả lời đúng nhất vào chỉ ra chỗ sai của câu trả lời không đúng sau đây:
a) Nồng độ phần trăm của dung dịch cho biết:
1. Số g chất tan trong 100g dung môi.
2. Số g chất tan trong 100g dung dịch.
3. Số g chất tan trong 1 lit dung dịch.
4. Số g chất tan trong 1 lit dung môi.
5. Số gam chất tan trong một lượng dung dịch xác định.
b) Nồng độ mol của dung dịch cho biết:
1. Số g chất tan trong 1 lit dung dịch.
2. Số mol chất tan trong 1 lit dung dịch.
3. Số mol chất tan trong 1 lit dung môi.
4. Số gam chất tan trong 1 lit dung môi.
5. Số mol chất tan trong một thể tích xác định dung dịch.
Lời giải:
a) – Câu đúng là câu 2.
- Câu sai của các câu:
(1) Sai từ "dung môi".
(3) sai từ "1lit"
(4) sai từ "1 lit dung môi".
(5) sai từ "một lượng dung dịch xác định".
b) – Câu đúng là câu 2.
- Câu sai:
(1) sai là "gam".
(3) sai từ "dung môi"
(4) Sai từ "gam" và "dung môi"
(5) Sai từ "thể tích xác định".
Bài 42.2 trang 57 sách bài tập Hóa 8:
Trong phòng thí nghiệm có các lọ đựng dung dịch NaCl, H2SO4, NaOH có cùng nồng độ là 0,5M.
a) Lấy 1 ít mỗi dung dịch trên vào ống nghiệm riêng biệt. Hỏi phải lấy như thế nào để có số mol chất tan có trong mỗi ống nghiệm là bằng nhau?
b) Nếu thể tích dung dịch có trong mỗi ống nghiệm la 5ml. Hãy tính số gam chất tan có trong mỗi ống nghiệm.
Lời giải:
a) Theo công thức: n = CM.V
Muốn có số mol bằng nhau thì thể tích cũng bằng nhau
Vì CM = 0,5 mol/l. Do đó ta phải lấy thể tích các dung dịch bằng nhau vào các ống nghiệm.
b) Số mol chất tan có trong dung dịch của mỗi ống nghiệm:
V = 5ml = 0,005lit
n = CM.V = 0,5.0,005=0,0025(mol)
mNaCl = n.M = 0,0025.58,5 = 0,14625(g)
mH2SO4 = 0,0025.98 = 0,245(g)
mNaOH = 0,0025.40 = 0,1(g)
Bài 42.3 trang 58 sách bài tập Hóa 8:
Để xác định độ tan của một muối trong nước bằng phương pháp thực nghiệm, người ta dựa vào những kết quả sau:
- Nhiệt độ của dung dịch muối bão hòa đo được là 19oC.
- Chén nung rỗng có khối lượng là 47,1g.
- Chén nung đựng dung dịch muối bão hà có khối lượng là 69,6g.
- Chén nung và muối kết tinh thu được sau khi làm bay hết hơi nước, có khôi lượng là 49,6g.
Hãy cho biết:
a) Khối lượng muối kết tinh thu được là bao nhiêu?
b) Độ tan muối ở nhiệt độ 19oC?
c) Nồng độ phần trăm của dung dịch muối bão hòa ở nhiệt độ 19oC?
Lời giải:
a) Khối lượng của muối tinh khiết: 49,6-47,1= 2,5(g)
b) mH2O = 69,6 – 49,6 = 20 (g)
Độ tan của muối ở 19oC

Bài 42.4 trang 58 sách bài tập Hóa 8:
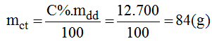
Làm bay hơi 300g nước ra khỏi 700g dung dịch muối 12%, nhận thấy 5g muối tách khỏi dung dịch bão hòa. Hãy xác định nồng độ phần trăm của dung dịch muối bão hòa trong điều kiện thí nghiệm trên.
Lời giải:
Khối lượng muối có trog dung dịch ban đầu:

Khối lượng muối có trong dung dịch bão hòa:
mct = mmuối = 84 -5 = 79(g)
Khối lượng dung dịch muối sau khi bay hơi:
mdd = 700 – (300 + 5) = 395(g)
Nồng độ phần trăm của dung dịch bão hòa:

Bài 42.5 trang 58 sách bài tập Hóa 8:
Một dung dịch CuSO4 có khối lượng riêng là 1,206g/ml. Khi cô cạn 165,84ml dung dịch này người ta thu được 36g CuSO4. Hãy xác định nồng độ phần trăm của dung dịch CuSO4 đã dùng.
Lời giải:
Khối lượng dung dịch CuSO4 ban đầu:
mdd = V.D = 165,84.1,206 = 200(g)
Nồng độ % của dung dịch CuSO4:

Bài 42.6 trang 58 sách bài tập Hóa 8:
Hãy điền vào những ô trống của bảng những số liệu thích hợp của mỗi dung dịch glucozo C6H12O6 trong nước:

Lời giải:

Bài 42.7 trang 58 sách bài tập Hóa 8:
Trình bày phương pháp thực nghiệm để xác định nồng độ phần trăm và nồng độ ml của mẫu dung dịch CuSO4 có sẵn trong phòng thí nghiệm.
Lời giải:
* Phương pháp xác định nồng độ phần trăm dung dịch CuSO4
- Cân một lượng dung dịch CuSO4 tùy ý.
- Cô cạn dung dịch cho đến khi thu được chất rắn màu trắng đó là CuSO4. Sau đó đem cân lượng muối sau khi cô cạn này.
Áp dụng công thức:
ta sẽ tính C% của dung dịch CuSO4.
* Phương pháp xác định nồng độ m của dung dịch CuSO4:
- Cần cân một ượng dung dịch CuSO4 để đo thể tích tùy ý.
- Sau đó dùng công thức n = m/M để tính số mol của CuSO4.
- Tính nồng độ mol của dung dịch CuSO4: CM = n/V
ta sẽ tính C% của dung dịch CuSO4.