Giải SBT Hóa 8 bài 22: Tính theo phương trình hóa học
Giải bài tập SBT Hóa học lớp 8 bài 22: Tính theo phương trình hóa học tổng hợp lời giải chi tiết, rõ ràng các câu hỏi trong vở bài tập Hóa học lớp 8, các bài giải tương ứng với từng bài học trong sách giúp cho các em học sinh ôn tập và củng cố các dạng bài tập, rèn luyện kỹ năng giải môn Hóa lớp 8. Chúc các em học tốt.
Giải bài tập SBT Hóa học lớp 8 bài 22
A. Giải SBT Hóa 8 bài 22: Tính theo phương trình hóa học
Bài 22.1 trang 29 sách bài tập Hóa 8
Đốt cháy 3,25g một mẫu lưu huỳnh không tinh khiết trong không khí có oxi dư, người ta thu được 2,24 lit khí sunfuro(dktc).
a) Viết phương trình hóa học xảy ra.
b) Bằng cách nào ta có thể tính được nồng độ tinh khiết của mẫu lưu huỳnh đã dùng?
c) Căn cứ vào phương trình hóa học trên, ta có thể trả lời ngay được thể tích khí oxi (đktc) vừa đủ để đốt cháy lưu huỳnh là bao nhiêu lít?
Hướng dẫn giải
a) Phương trình hóa học: S + O2 → SO2

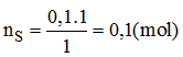
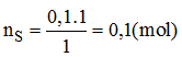
Số mol của lưu huỳnh tham gia phản ứng:

Khối lượng của lưu huỳnh tinh khiết: mS = nS.MS = 0,1.32 = 3,2(g)
b) Độ tinh khiết của mẫu lưu huỳnh:

Bài 22.2 trang 29 sách bài tập Hóa 8
Trong phòng thí nghiệm người ta có thể điều chế oxi bằng cách đốt nóng kali clorat:

Hãy dùng phương trình hóa học trên nên trả lời những câu hỏi sau:
a) Muốn điều chế được 4,48 lit khí oxi (đktc) cần dùng bao nhiêu gam KClO3?
b) Nếu có 1,5 mol KClO3 tham gia phản ứng, sẽ được bao nhiêu gam khí oxi?
c) Nếu có 0,1 mol KClO3 tham gia phản ứng, sẽ được bao nhiêu mol chất rắn và chất khí?
Hướng dẫn giải


Bài 22.3 trang 29 sách bài tập Hóa 8
Cho khí hidro dư đi qua đồng (II) oxit nóng màu đen, người ta thu được 0,32g kim loại đồng màu đỏ và hơi nước ngưng tụ.
a) Viết phương trình hóa học xảy ra.
b) Tính lựng đồng (II) oxit tham gia phản ứng.
c) Tính thể tích khí hidro ở đktc đã tham gia phản ứng.
d) Tính lượng nước ngưng tụ thu được sau phản ứng.
Hướng dẫn giải
a) Phương trình hóa học:

mCuO = nCuO.MCuO = 0,005.80 = 0,4(g)
Chú ý: có thể tính mH2O theo định luật bảo toàn khối lượng:
(mH2O = (mCuO + mH2) - mCu)

Bài 22.4 trang 30 sách bài tập Hóa 8
Đốt nóng 1,35g bột nhôm trong khi clo, người ta thu được 6,675g nhôm clorua. Em hãy cho biết:
a) Công thức hóa học đơn giản của nhôm clorua, giải sử rằng ta chưa biết hóa trị của nhôm và clo.
b) Phương trình hóa học của nhôm tác dụng với khí clo.
c) Thể tích khí clo (đktc) đã tham gia phản ứng với nhôm.
Hướng dẫn giải
a) mCl = nAlCl3 - mAl = 6,675 - 1,35 = 5,325 (g)
nAl = mAl/MAl = 1,35/27 = 0,05 (mol); nCl = mCl/MCl = 5,325/35,5 = 0,15 mol

Số nguyên tử Cl gấp 3 số nguyên tử Al. Công thức hóa học đơn giản của nhôm clorua: AlCl3
b) Phương trình hóa học: 2Al + 3Cl2 → 2AlCl3

Bài 22.5 trang 30 sách bài tập Hóa 8
Đốt nóng hidro trong khí oxi người ta nhận thấy cứ 2 thể tích khí hidro kêt hợp với 1 thể tích oxi tạo thành nước.
a) Hãy tìm công thức hóa học đơn giản của nước.
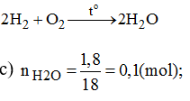
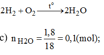
b) Viết phương trình hóa học xảy ra khi đốt nóng hidro và oxi.
c) Sau phản ứng, người ta thu được 1,8g nước.Hãy tìm thể tích các khí hidro và oxi tham gia phản ứng ở đktc.
Hướng dẫn giải
a) Vì nếu VH2 kết hợp với 1 VO2 có nghĩa là: nH2 = 2nO2
→ 2 phân tử H2 kết hợp với 1 phân tử O2.
Vậy công thức đơn giản của nước là H2O.
b) Phương trình hóa học:

Theo phương trình hóa học: nH2 = nH2O = 0,1(mol)

B. Giải Hóa 8 bài 22: Tính theo phương trình hóa học
VnDoc đã biên soạn hướng dẫn giải chi tiết bài tập SGK Hóa 8 bài 22 tại: Giải Hóa 8 Bài 22: Tính theo phương trình hóa học
................................
Mời các bạn tham khảo một số tài liệu liên quan:
- Hóa học 8 Bài 22: Tính theo phương trình hóa học
- Giải bài tập trang 75, 76 SGK Hóa lớp 8: Tính theo phương trình hóa học
- Trắc nghiệm Hóa học 8 bài 22
Để có kết quả cao hơn trong học tập, VnDoc xin giới thiệu tới các bạn học sinh tài liệu Chuyên đề Toán 8, Chuyên đề Vật Lý 8, Chuyên đề Hóa 8, Tài liệu học tập lớp 8 mà VnDoc tổng hợp và đăng tải.
Ngoài ra, VnDoc.com đã thành lập group chia sẻ tài liệu học tập THCS miễn phí trên Facebook: Tài liệu học tập lớp 8. Mời các bạn học sinh tham gia nhóm, để có thể nhận được những tài liệu mới nhất.