Giải bài tập Hóa 11 bài 24: Luyện tập Hợp chất hữu cơ, công thức phân tử và công thức cấu tạo
Giải bài tập Hóa học 11: Luyện tập Hợp chất hữu cơ, công thức phân tử và công thức cấu tạo
VnDoc xin giới thiệu tới bạn đọc tài liệu Giải bài tập Hóa 11 bài 24: Luyện tập Hợp chất hữu cơ, công thức phân tử và công thức cấu tạo, chắc chắn bộ tài liệu sẽ là nguồn thông tin hữu ích để phục vụ các bạn học sinh có kết quả cao hơn trong học tập. Mời thầy cô cùng các bạn học sinh tham khảo.
A. Giải bài tập 1, 2, 3, 4, 5, 6, 7, 8 trang 107, 108 SGK Hóa học lớp 11
Bài 1 trang 107 SGK Hóa 11
Chất nào sau đây là hiđrocacbon? Là dẫn xuất của hiđrocacbon?
a) CH2O;
b) C2H5Br;
c) CH2O2;
d) C6H5Br;
e) C6H6;
g) CH3COOH.
Đáp án hướng dẫn giải chi tiết
Hiđrocacbon là: e
Dẫn xuất của hiđrocacbon là chất còn lại a, b, c, d, g
Bài 2 trang 107 SGK Hóa 11
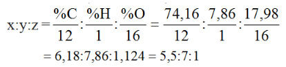
Từ ơgenol (trong tinh dầu hương nhu) điều chế được metylơgenol (M = 178 g/mol) là chất dẫn dụ côn trùng. Kết quả phân tích nguyên tố của metylơgenol cho thấy: %C = 74,16%; %H = 7,86%, còn lại là oxi. Lập công thức đơn giản nhất, công thức phân tử của metylơgenol.
Đáp án hướng dẫn giải chi tiết
Gọi công thức của o-metylơgenol là CxHyOz (x,y,z nguyên dương)
%O = 100% -(74,16 +7,86)% = 17,98%
=> x:y:z = 11:14:2
=> Công thức đơn giản nhất là: C11H14O2
=> Ta có công thức phân tử là (C11H14O2)n
Ta có: M(C11H14O2)n = 178n = 178 => n=1
Công thứ phân tử là C11H14O2
Bài 3 trang 107 SGK Hóa 11
Viết công thức cấu tạo của các chất có công thức phân tử sau: CH2Cl2 (một chất), C2H4O2(ba chất), C2H4Cl2 (hai chất).
Đáp án hướng dẫn giải chi tiết
CTCT của các chất :
CH2Cl2 : Сl-СН2 -Cl
C2H4O2 : CH3- COOH; HO-CH2 - CHO; H - COO - CH3
C2H4Cl2: CH3 -CHCl2; Сl-СН2 -CH2 -Cl
Bài 4 trang 107 SGK Hóa 11
Chất X có công thức phân tử C6H10O4. Công thức nào sau đây là công thức đơn giản nhất của X?
A. C3H5O2
B. C6H10O4
C. C3H10O2
D. C12H20O8
Đáp án hướng dẫn giải chi tiết
Đáp án A
C6H10O4 còn có thể viết (C3H5O2)2
Bài 5 trang 107 SGK Hóa 11
Hãy viết công thức cấu tạo có thể có của các đồng đẳng của ancol etylic có công thức phân tử C3H8O và C4H10O.
Đáp án hướng dẫn giải chi tiết
CTCT của C3H8O: CH3-CH2-CH2-OH; CH3 -CH(CH3)-OH.
CTCT của C4H10O: CH3-CH2-CH2-CH2-OH; CH3-CHOH-CH2-CH3;
CH3 -CH(CH3)-CH2 - ОН ;CH3 -C(CH3)2OH.
Bài 6 trang 107 SGK Hóa 11
Cho các chất sau: C3H7-OH, C4H9-OH, CH3-O-C2H5, C2H5-O-C2H5. Những cặp chất nào có thể là đồng đẳng hoặc đổng phân của nhau?
Đáp án hướng dẫn giải chi tiết
Gọi C3H7-OH (I), C4H9-OH (II), CH3-O-C2H5 (III), C2H5-O-C2H5 (IV)
Các chất đồng đẳng của nhau:
(I) và (II) đồng đẳng với ancol etylic
(III) và (IV) cùng là ete no đơn chức
Các chất đồng phân của nhau:
(I) và (III) cùng có CTPT là C3H8O
(II) và (IV) cùng có CTPT C4H10O
(Anco no đơn chức có đồng phân khác chức với ete)
Bài 7 trang 108 SGK Hóa 11
Các phản ứng sau đây thuộc loại phản ứng nào (phản ứng thế, phản ứng cộng, phản ứng tách)?

Đáp án hướng dẫn giải chi tiết
Phản ứng thế: a
Phản ứng cộng: b
Phản ứng tách: c, d
Bài 8 trang 108 SGK Hóa 11
Viết phương trình hoá học của các phản ứng xảy ra trong các trường hợp sau và cho biết các phản ứng đó thuộc loại phản ứng nào (phản ứng thế, phản ứng cộng, phản ứng tách).
a) Etilen tác dụng với hiđro có Ni làm xúc tác và đun nóng.
b) Đun nóng axetilen ở 600oC với bột than làm xúc tác thu được benzen.
c) Dung dịch ancol etylic để lâu ngoài không khí chuyển thành dung dịch axit axetic (giấm ăn).
Đáp án hướng dẫn giải chi tiết
a. CH2=CH2 + H2
\(\overset{Ni, to}{\rightarrow}\)CH3-CH3 (phản ứng cộng)
b. 3CH ≡ CH
\(\overset{600oC}{\rightarrow}\)C6H6 (phản ứng cộng)
c. CH ≡ CH2-OH + O2 → CH3COOH + H2O ( phản ứng oxi hóa)
--------------------------------------
Trên đây VnDoc.com đã giới thiệu tới bạn đọc tài liệu: Giải bài tập Hóa 11 bài 24: Luyện tập Hợp chất hữu cơ, công thức phân tử và công thức cấu tạo. Để có kết quả cao hơn trong học tập, VnDoc xin giới thiệu tới các bạn học sinh tài liệu Hóa học lớp 10, Giải bài tập Hóa học lớp 11, Thi thpt Quốc gia môn Văn, Thi thpt Quốc gia môn Lịch sử, Thi thpt Quốc gia môn Địa lý, Thi thpt Quốc gia môn Toán, đề thi học kì 1 lớp 11, đề thi học kì 2 lớp 11 mà VnDoc tổng hợp và đăng tải.
Để tiện trao đổi, chia sẻ kinh nghiệm giảng dạy và học tập môn học THPT, VnDoc mời các bạn truy cập nhóm riêng dành cho lớp 11 sau: Nhóm Tài liệu học tập lớp 11 để có thể cập nhật được những tài liệu mới nhất.
