Giải bài tập SBT Toán Hình 12 bài 1: Khái niệm về mặt tròn xoay
Bài tập môn Toán lớp 12
Giải bài tập SBT Toán hình 12 bài 1: Khái niệm về mặt tròn xoay được VnDoc sưu tầm và đăng tải, tổng hợp lý thuyết. Đây là lời giải hay cho các câu hỏi trong sách bài tập nằm trong chương trình giảng dạy môn Toán lớp 12. Hi vọng rằng đây sẽ là những tài liệu hữu ích trong công tác giảng dạy và học tập của quý thầy cô và các em học sinh.
Giải bài tập SBT Toán Hình 12 bài 2: Khối đa diện lồi và khối đa diện đều
Giải bài tập SBT Toán Hình 12 bài 3: Khái niệm về thể tích khối đa diện
Giải bài tập SBT Toán Hình 12 bài: Ôn tập chương 1 - Khối đa diện
Câu 1: Một hình nón tròn xoay có đỉnh là D, tâm của đường tròn đáy là O, đường sinh bằng l và có góc giữa đường sinh và mặt phẳng đáy bằng α.
a) Tính diện tích xung quanh của hình nón và thể tích khối nón được tạo nên.
b) Gọi I là một điểm trên đường cao DO của hình nón sao choDI/ DO = k (0<k<l) . Tính diện tích thiết diện qua I và vuông góc với trục của hình nón.
Hướng dẫn làm bài:

a) Gọi r là bán kính của đường tròn đáy.
Ta có OA=r=l.cosα (với O là tâm của đường tròn đáy và A là một điểm trên đường tròn đó).
Ta suy ra: Sxq=πrl=πl2cosα
Khối nón có chiều cao h=DO=lsinα . Do đó thể tích V của khối nón được tính theo công thức
V=1/3Bh=1/3πr2.h
Vậy: V=13πl2cos2α.lsinα=13πl3cos2αsinα
b) Thiết diện qua I và vuông góc với trục hình nón là một hình tròn bán kính r’ với r′/r = DI/DO = k
Gọi s là diện tích của thiết diện và S là diện tích của đáy hình tròn ta có:
s/S = k2 ⇔ s = k2S, trong đó S = πr2 = πl2cos2α
Vậy diện tích của thiết diện đi qua điểm I và vuông góc với trục hình nón là: s=k2S=k2πl2cos2α
Câu 2: Cho S.ABC là hình chóp tam giác đều có các cạnh bên bằng a và có góc giữa các mặt bên và mặt phẳng đáy là α Hình nón đỉnh S có đường tròn đáy nội tiếp tam giác đều ABC gọi là hình nón nội tiếp hình nón đã cho. Hãy tính diện tích xung quanh của hình nón này theo a và α .
Hướng dẫn làm bài:


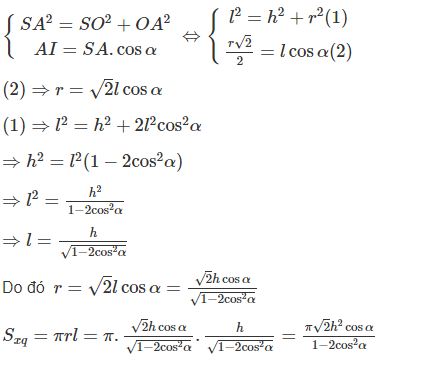
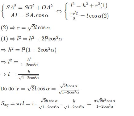
Câu 3: Cho hình chóp tứ giác đều S.ABCD có chiều cao SO = h và góc SAB = α (α > 45o) . Tính diện tích xung quanh của hình nón đỉnh S và có đường tròn đáy ngoại tiếp hình vuông ABCD của hình chóp.
Hướng dẫn làm bài:

Gọi r là bán kính đáy của hình nón ta có OA = r, SO = h và SA = SB = SC = SD = l là đường sinh của hình nón.
Gọi I là trung điểm của đoạn AB, ta có:

Câu 4: Chứng minh rằng trong một khối nón tròn xoay, góc ở đỉnh là góc lớn nhất trong số các góc được tạo nên bởi hai đường sinh của khối nón đó.
Hướng dẫn làm bài:

Xét hai đường sinh SA, SB tùy ý của hình nón. Vẽ đường kính AC của đường tròn đáy. Ta có góc ASC là góc ở đỉnh của hình nón. Hai tam giác ASC và ASB có hai cặp cạnh bằng nhau vì chúng cùng là đường sinh của hình nón.
Ta có cạnh AC ≥ AB nên ASC ≥ ASB. Đó là điều cần chứng minh.
Câu 5: Cho mặt phẳng (P). Gọi A là một điểm nằm trên (P) và B là một điểm nằm ngoài (P) sao cho hình chiếu H của B trên (P) không trùng với A. Một điểm M chạy trên mặt phẳng (P) sao cho góc ABM = BMH. Chứng minh rằng điểm M luôn luôn nằm trên một mặt trụ xoay có trục là AB.
Hướng dẫn làm bài:

Giải sử ta có điểm M thuộc mặt phẳng (P) thỏa mãn các điều kiện của giả thiết đã cho. Gọi I là hình chiếu vuông góc của M trên AB. Hai tam giác vuông BIM và MHB bằng nhau vì có cạnh huyền chung và một cặp góc nhọn bằng nhau. Do đó MI = BH không đổi. Vậy điểm M luôn luôn nằm trên mặt trụ trục AB và có bán kính bằng BH.
Câu 6: Hình chóp tam giác đều S.ABC có SA = SB = SC = a và có góc giữa mặt bên và mặt phẳng đáy bằng α. Tính diện tích xung quanh của hình trụ có đường tròn đáy là đường tròn nội tiếp tam giác đáy của hình chóp và có chiều cao bằng chiều cao của hình chóp. Các mặt bên SAB, SBC, SCA cắt hình trụ theo những giao tuyến như thế nào?
Hướng dẫn làm bài:

Theo giả thiết ta có tam giác đáy ABC là tam giác đều.
Gọi I là trung điểm của cạnh BC và O là tâm của tam giác đều ABC. Theo giả thiết ta có SA = a. Đặt OI = r, SO = h, ta có AO = 2r và SIA=α

Các mặt bên SAB, SBC, SCA là những phần của ba mặt phẳng không song song với trục và cũng không vuông góc với trục nên chúng cắt mặt phẳng xung quanh của hình trụ theo những cung elip. Các cung này có hình chiếu vuông góc trên mặt phẳng (ABC) tạo nên đường tròn đáy của hình trụ.