Giải Toán 9 bài 6: Giải bài toán bằng cách lập hệ phương trình (Tiếp theo)
Giải bài tập Toán 9 bài 6: Giải bài toán bằng cách lập hệ phương trình (Tiếp theo)
- Trả lời câu hỏi Toán 9 Tập 2 Bài 6 trang 23
- Trả lời câu hỏi Toán 9 Tập 2 Bài 6 trang 23
- Bài 31 trang 23 SGK Toán 9 tập 2
- Bài 32 trang 23 SGK Toán 9 tập 2
- Bài 33 trang 24 SGK Toán 9 tập 2
- Bài 34 trang 24 SGK Toán 9 tập 2
- Bài 35 trang 24 SGK Toán 9 tập 2
- Bài 36 trang 24 SGK Toán 9 tập 2
- Bài 37 trang 24 SGK Toán 9 tập 2
- Bài 38 trang 24 SGK Toán 9 tập 2
- Bài 39 trang 25 SGK Toán 9 tập 2
Giải Toán 9 bài 6: Giải bài toán bằng cách lập hệ phương trình (Tiếp theo) tổng hợp đáp án cho các câu hỏi trong SGK Toán 9 tập 2, giúp các em nắm vững kiến thức được học trong bài, luyện giải Toán 9 hiệu quả.
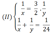
Trả lời câu hỏi Toán 9 Tập 2 Bài 6 trang 23
Giải hệ phương trình (II) bằng cách đặt ẩn phụ (u = 1/x; v = 1/y) rồi trả lời bài toán đã cho.

Lời giải
Đặt 1/x = u; 1/y = v,hệ (II) trở thành:

Vậy số ngày để đội A làm 1 mình xong đoạn đường đó là 40 ngày
Số ngày để đội B làm 1 mình xong đoạn đường đó là 60 ngày
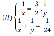
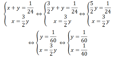
Trả lời câu hỏi Toán 9 Tập 2 Bài 6 trang 23
Hãy giải bài toán trên bằng cách khác (gọi x là số phần công việc làm trong một ngày của đội A; y là số phần công việc làm trong một ngày của đội B). Em có nhận xét gì về cách giải này?
Lời giải
Gọi x là số phần công việc làm trong 1 ngày của đội A
y là số phần công việc làm trong 1 ngày của đội B
Một ngày cả hai đội làm được 1/(24) công việc nên ta có phương trình:
x + y = 1/24
Mỗi ngày phần việc của đội A gấp rưỡi đội B nên ta có phương trình
x = 3/2 y
Do đó, ta có hệ phương trình

Trong 1 ngày, đội A làm được 1/40 công việc nên đội A làm 1 minh sẽ hoàn thành công việc trong 40 ngày
Trong 1 ngày, đội B làm được 1/60 công việc nên đội A làm 1 minh sẽ hoàn thành công việc trong 60 ngày
Nhận xét:
Ở cách giải này thì chúng ta không cần đặt ẩn phụ để giải hệ phương trình
Bài 31 trang 23 SGK Toán 9 tập 2
Tính độ dài hai cạnh góc vuông của một tam giác vuông, biết rằng nếu tăng mỗi cạnh lên 3cm thì diện tích tam giác đó sẽ tăng thêm 36 cm2, và nếu một cạnh giảm đi 2cm, cạnh kia giảm 4cm thì diện tích của tam giác giảm đi 26 cm2.
Lời giải
Gọi x (cm), y (cm) là độ dài hai cạnh góc vuông của tam giác vuông. Điều kiện x > 0, y > 0.
Suy ra diện tích tam giác vuông lúc ban đầu là:
\(S=\dfrac{1}{2}xy (cm^2).\)
Độ dài hai cạnh sau khi tăng thêm 3 cm là: (x+3) (cm) và (y+3) (cm).
Suy ra diện tích tam giác sau khi tăng độ dài cạnh là:
\(\dfrac{1}{2}(x+3)(y+3)\) cm2.
Vì diện tích lúc này tăng thêm 36 cm2 so với ban đầu, nên ta có phương trình:
\(\dfrac{1}{2}(x + 3)(y + 3)= \dfrac{1}{2}xy + 36 (1)\)
+ Vì hai cạnh góc vuông đóng vai trò như nhau nên ta chọn cạnh có độ dài x (cm) giảm đi 2cm và cạnh có độ dài y (cm) giảm đi 4cm. Khi đó độ dài cạnh sau khi giàm là: (x-2) (cm) và (y-4) (cm) (ĐK: x>2;y>4).
Suy ra diện tích tam giác sau khi giảm độ dài cạnh là:
\(\dfrac{1}{2}(x-2)(y-4)\) cm2.
Lúc này diện tích tam giác giảm 26 cm2.so với ban đầu, nên ta có phương trình:
\(\dfrac{1}{2}(x - 2)(y- 4) = \dfrac{1}{2}xy - 26 (2)\)
Từ (1) và (2) ta có hệ phương trình:
\(\left\{\begin{matrix} \dfrac{1}{2}(x + 3)(y + 3)= \dfrac{1}{2}xy + 36 & & \\ \dfrac{1}{2}(x - 2)(y- 4) = \dfrac{1}{2}xy - 26 & & \end{matrix}\right.\)
\(\Leftrightarrow \left\{\begin{matrix} (x + 3)(y + 3)= xy + 72 & & \\ (x -2)(y - 4)= xy -52 & & \end{matrix}\right.\)
\(\Leftrightarrow \left\{\begin{matrix} xy + 3x + 3y + 9 = xy + 72 & & \\ xy - 4x - 2y + 8 = xy - 52 & & \end{matrix}\right.\)
\(\Leftrightarrow \left\{\begin{matrix} xy + 3x + 3y -xy = 72-9 & & \\ xy - 4x - 2y - xy= - 52 -8& & \end{matrix}\right.\)
\(\Leftrightarrow \left\{\begin{matrix} 3x + 3y = 63 & & \\ -4x - 2y =- 60 & & \end{matrix}\right.\)
\(\begin{array}{l}
\Leftrightarrow \left\{ \begin{array}{l}
x + y = 21\\
2x + y = 30
\end{array} \right.\\
\Leftrightarrow \left\{ \begin{array}{l}
2x + y - \left( {x + y} \right) = 30 - 21\\
x + y = 21
\end{array} \right.\\
\Leftrightarrow \left\{ \begin{array}{l}
x = 9\\
9 + y = 21
\end{array} \right.\\
\Leftrightarrow \left\{ \begin{array}{l}
x = 9\\
y = 12
\end{array} \right.\left( {\,thỏa\,mãn} \right)
\end{array}\)
Vậy độ dài hai cạnh góc vuông là 9 cm, 12 cm.
Bài 32 trang 23 SGK Toán 9 tập 2
Hai vòi nước cùng chảy vào một bể nước cạn (không có nước) thì sau
\(4\frac{4}{5}\) giờ đầy bể. Nếu lúc đầu chỉ mở vòi thứ nhất và 9 giờ sau mới mở thêm vòi thứ hai thì sau
\(\frac{6}{5}\) giờ nữa mới đầy bể. Hỏi nếu ngay từ đầu chỉ mở vòi thứ hai thì sau bao lâu mới đầy bể?
Lời giải
Đổi
\(4\dfrac{4}{5} giờ =\dfrac{5.4+4}{5} giờ =\dfrac{24}{5}\) giờ
Gọi x (giờ) là thời gian để một mình vòi thứ nhất chảy đầy bể
\((x > \dfrac{24}{5}).\)
y (giờ) là thời gian để một mình vòi thứ hai chảy đầy bể
\((y > \dfrac{24}{5}).\)
Trong 1 giờ vòi thứ nhất chảy được
\(\dfrac{1}{x}\) bể, vòi thứ hai chảy được
\(\dfrac{1}{y}\) bể.
Suy ra trong 1 giờ, cả hai vòi chảy được:
\(\dfrac{1}{x} + \dfrac{1}{y}\) (bể)
Theo đề bài, cả hai vòi cùng chảy đầy bể sau
\(4\dfrac{4}{5} giờ = \dfrac{24}{5}\) giờ nên trong 1 giờ cả hai vòi cùng chảy được
\(\dfrac{5}{24}\) bể.
Ta có phương trình:
\(\dfrac{1}{x}+ \dfrac{1}{y}= \dfrac{5}{24} (1)\)
Trong 9 giờ, vòi thứ nhất chảy được
\(9.\dfrac{1}{x}\) bể.
Trong
\(\dfrac{6}{5}\) giờ cả hai vòi chảy được
\(\dfrac{6}{5}. {\left( \dfrac{1}{x}+ \dfrac{1}{y}\right)}\) bể.
Theo đề bài, vòi thứ nhất chảy 9h sau đó mở thêm vòi thứ hai thì sau
\(\dfrac{6}{5}\) giờ đầy bể nên ta có phương trình:
\(9. \dfrac{1}{x}+\dfrac{6}{5}. {\left( \dfrac{1}{x}+ \dfrac{1}{y}\right)}=1\)
\(\Leftrightarrow 9. \dfrac{1}{x}+\dfrac{6}{5}. \dfrac{1}{x}+ \dfrac{6}{5}.\dfrac{1}{y}=1 \Leftrightarrow {\left(9+\dfrac{6}{5}\right)} \dfrac{1}{x}+ \dfrac{6}{5}.\dfrac{1}{y}=1\)
\(\Leftrightarrow \dfrac{51}{5}.\dfrac{1}{x}+ \dfrac{6}{5}.\dfrac{1}{y}=1 \Leftrightarrow 51. \dfrac{1}{x}+ 6. \dfrac{1}{y}=5 (2)\)
Từ (1) và (2) ta có hệ:
\(\left\{\begin{matrix} \dfrac{1}{x} + \dfrac{1}{y} = \dfrac{5}{24} & & \\ 51. \dfrac{1}{x}+ 6. \dfrac{1}{y}=5 & & \end{matrix}\right.\)
Đặt
\(\left\{\begin{matrix} \dfrac{1}{x}=a & & \\ \dfrac{1}{y}=b & & \end{matrix}\right.\) với a > 0, b> 0.
Hệ đã cho trở thành:
\(\left\{\begin{matrix} a + b = \dfrac{5}{24} & & \\ 51a+ 6b=5 & & \end{matrix}\right.\)
\(\begin{array}{l}
\Leftrightarrow \left\{ \begin{array}{l}
6a + 6b = \dfrac{5}{4}\\
51a + 6b = 5
\end{array} \right.\\
\Leftrightarrow \left\{ \begin{array}{l}
51a + 6b - \left( {6a + 6b} \right) = 5 - \dfrac{5}{4}\\
6a + 6b = \dfrac{5}{4}
\end{array} \right.\\
\Leftrightarrow \left\{ \begin{array}{l}
45a = \dfrac{{15}}{4}\\
a + b = \dfrac{5}{{24}}
\end{array} \right.\\
\Leftrightarrow \left\{ \begin{array}{l}
a = \dfrac{1}{{12}}\\
\dfrac{1}{{12}} + b = \dfrac{5}{{24}}
\end{array} \right.\\
\Leftrightarrow \left\{ \begin{array}{l}
a = \dfrac{1}{{12}}\\
b = \dfrac{5}{{24}} - \dfrac{1}{{12}}
\end{array} \right.\\
\Leftrightarrow \left\{ \begin{array}{l}
a = \dfrac{1}{{12}}\\
b = \dfrac{1}{8}
\end{array} \right.\left( {\,thỏa\,mãn} \right)
\end{array}\)
Do đó
\(\left\{\begin{matrix} \dfrac{1}{x}=\dfrac{1}{12} & & \\ \dfrac{1}{y}=\dfrac{1}{8} & & \end{matrix}\right. \Leftrightarrow \left\{\begin{matrix} x =12 & & \\ y=8 & & \end{matrix} \right.\)
Vậy nếu từ đầu chỉ mở vòi hai thì sau 8 giờ bể sẽ đầy.
Bài 33 trang 24 SGK Toán 9 tập 2
Hai người thợ cùng làm một công việc trong 16 giờ thì xong. Nếu người thứ nhất làm 3 giờ và người thứ hai làm 6 giờ thì chỉ hoàn thành được 25% công việc. Hỏi nếu làm riêng thì mỗi người hoàn thành công việc đó trong bao lâu?
Lời giải
Gọi thời gian người thứ nhất hoàn thành công việc một mình là: x giờ, người thứ hai hoàn thành công việc một mình là y giờ. Điều kiện x > 16, y > 16.
Trong 1 giờ người thứ nhất làm được \dfrac{1}{x} công việc, người thứ hai làm được
\(\dfrac{1}{y}\) công việc.
Do đó cả hai người cùng làm chung thì trong 1 giờ làm được:
\(\dfrac{1}{x}+\dfrac{1}{y}\)công việc.
Theo đề bài, hai người làm chung trong 16 giờ thì xong nên trong 1 giờ hai người làm được:
\(\dfrac{1}{16}\) công việc.
Nên ta có phương trình:
\(\dfrac{1}{x} + \dfrac{1}{y}= \dfrac{1}{16} (1).\)
Trong 3 giờ, người thứ nhất làm được:
\(3. \dfrac{1}{x}\) công việc.
Trong 6 giờ người thứ hai làm được:
\(6. \dfrac{1}{y}\)công việc.
Theo đề bài, nếu người thứ nhất làm trong 3 giờ và người thứ hai làm trong 6 giờ thì cả hai người làm được 25 công việc.
Nên ta có phương trình:
\(3. \dfrac{1}{x} + 6.\dfrac{1}{y} = \dfrac{1}{4} (2)\)
Ta có hệ phương trình:
\(\left\{\begin{matrix} \dfrac{1}{x} + \dfrac{1}{y} = \dfrac{1}{16} & & \\ 3.\dfrac{1}{x} + 6. \dfrac{1}{y} = \dfrac{1}{4}& & \end{matrix}\right..\)
Đặt
\(\left\{\begin{matrix} \dfrac{1}{x}=a & & \\ \dfrac{1}{y}=b & & \end{matrix}\right.\)với a > 0, b> 0.
Hệ đã cho trở thành:
\(\left\{\begin{matrix} a + b = \dfrac{1}{16} & & \\ 3a+ 6b=\dfrac{1}{4} & & \end{matrix}\right. \Leftrightarrow \left\{\begin{matrix} a =\dfrac{1}{16} -b & & \\ 3a+ 6b=\dfrac{1}{4} & & \end{matrix}\right.\)
\(\left\{\begin{matrix} a = \dfrac{1}{16}-b & & \\ 3{\left(\dfrac{1}{16} -b \right)}+6b=\dfrac{1}{4} & & \end{matrix}\right.\)
\(\Leftrightarrow \left\{\begin{matrix} a = \dfrac{1}{16}-b & & \\ 3.\dfrac{1}{16} -3b+6b=\dfrac{1}{4} & & \end{matrix}\right.\)
\(\left\{\begin{matrix} a = \dfrac{1}{16}-b & & \\ 3b= \dfrac{1}{4} -\dfrac{3}{16}& & \end{matrix}\right. \Leftrightarrow \left\{\begin{matrix} a = \dfrac{1}{16}-b & & \\ 3b=\dfrac{1}{16} & & \end{matrix}\right.\)
\(\Leftrightarrow \left\{\begin{matrix} a = \dfrac{1}{16}- \dfrac{1}{48} & & \\ b=\dfrac{1}{48} & & \end{matrix} \right.\)
\(\Leftrightarrow \left\{\begin{matrix} a = \dfrac{1}{24} & & \\ b=\dfrac{1}{48} & & \end{matrix} \right.\)
Do đó
\(\left\{\begin{matrix} \dfrac{1}{x}=\dfrac{1}{24} & & \\ \dfrac{1}{y}=\dfrac{1}{48} & & \end{matrix}\right. \Leftrightarrow \left\{\begin{matrix} x =24 & & \\ y=48 & & \end{matrix} \right.\)
Vậy người thứ nhất làm một mình xong công việc trong 24 giờ, người thứ hai làm một mình xong công việc trong 48 giờ.
Luyện tập (trang 24-25)
Bài 34 trang 24 SGK Toán 9 tập 2
Nhà Lan có một mảnh vườn trồng rau cải bắp. Vườn được đánh thành nhiều luống, mỗi luống trồng cùng một số cây cải bắp. Lan tính rằng: Nếu tăng thêm 8 luống rau, nhưng mỗi luống trồng ít đi 3 cây thì số cây toàn vườn ít đi 54 cây. Nếu giảm đi 4 luống, nhưng mỗi luống trồng tăng thêm 2 cây thì số rau toàn vườn sẽ tăng thêm 32 cây. Hỏi vườn nhà Lan trồng bao nhiêu cây rau cải bắp?
Gọi x là số luống rau, y là số cây mỗi luống.
Điều kiện x > 4, y > 3; x,y ∈ N
Số cây trong vườn là: x.y (cây)
+ Tăng 8 luống, mỗi luống ít hơn 3 cây thì số luống là x + 8, số cây mỗi luống là y – 3
⇒ Tổng số cây trong vườn là (x + 8)(y – 3) cây.
Số cây trong vườn ít đi 54 cây nên ta có phương trình:
(x + 8)(y – 3) = xy – 54
⇔ xy -3x + 8y - 24 = xy – 54
⇔ xy -3x + 8y - xy = –54 + 24
⇔ -3x + 8y = –30
⇔ 3x – 8y = 30
+ Giảm 4 luống mỗi luống tăng thêm 2 cây thì số luống là x – 4 và số cây mỗi luống là y + 2.
⇒ Số cây trong vườn là: (x – 4)(y + 2) cây
Số cây trong vườn tăng thêm 32 cây nên ta có phương trình:
(x – 4)(y + 2) = xy + 32
⇔ xy – 4y + 2x – 8 = xy + 32
⇔ 2x – 4y = 40
Ta có hệ phương trình:
\(\left\{\begin{matrix} 3x-8y= 30 & & \\ 2x-4y= 40 & & \end{matrix}\right. \Leftrightarrow \left\{\begin{matrix} 3x-8y= 30 & & \\ 4x-8y= 80 & & \end{matrix}\right.\)
\(\Leftrightarrow \left\{\begin{matrix} 3x-8y= 30 & & \\ -x= -50 & & \end{matrix}\right. \Leftrightarrow \left\{\begin{matrix} 3x-8y= 30 & & \\ x= 50 & & \end{matrix}\right.\)
\(\Leftrightarrow \left\{\begin{matrix} 8y=3x- 30 & & \\ x= 50 & & \end{matrix}\right. \Leftrightarrow \left\{\begin{matrix} 8y=3.50- 30 & & \\ x= 50 & & \end{matrix}\right.\)
\(\Leftrightarrow \left\{\begin{matrix} 8y=120 & & \\ x= 50 & & \end{matrix}\right. \Leftrightarrow \left\{\begin{matrix} y=15 & & \\ x= 50 & & \end{matrix} \right.\)
Số cây rau cải bắp nhà Lan trồng: 50 . 15 = 750 (cây)
Bài 35 trang 24 SGK Toán 9 tập 2
: (Bài toán cổ Ấn Độ) . Số tiền mua 9 quả thanh yên và 8 quả táo rừng thơm là 107 rupi. Số tiền mua 7 quả thanh yên và 7 quả táo rừng thơm là 91 rupi. Hỏi giá mỗi quả thanh yên và mỗi quả táo rừng thơm là bao nhiêu rupi?
Gọi x (rupi) là giá tiền mỗi quả thanh yên.
Gọi y (rupi) là giá tiền mỗi quả táo rừng thơm.
Điều kiện x > 0, y > 0.
Mua 9 quả thanh yên và 8 quả táo rừng thơm hết 107 rupi
⇒ 9x + 8y = 107.
Mua 7 quả thanh yên và 7 quả táo rừng thơm là 91 rupi
⇒ 7x + 7y = 91 ⇔ x + y = 13.
Ta có hệ phương trình:
\(\left\{\begin{matrix} 9x + 8y =107 & & \\ 7x + 7y = 91& & \end{matrix}\right.\Leftrightarrow \left\{\begin{matrix} 63x + 56y =749 & & \\ 56x + 56y = 728 & & \end{matrix}\right.\)
\(\Leftrightarrow \left\{\begin{matrix} 63x + 56y =749 & & \\ 7x = 21 & & \end{matrix}\right.\Leftrightarrow \left\{\begin{matrix} 56y =749 - 63x & & \\ x = 3 & & \end{matrix}\right.\)
\(\Leftrightarrow \left\{\begin{matrix} 56y =749 - 63.3 & & \\ x = 3 & & \end{matrix}\right.\Leftrightarrow \left\{\begin{matrix} 56y =560 & & \\ x = 3 & & \end{matrix}\right.\)
\(\Leftrightarrow \left\{\begin{matrix} y =10 & & \\ x = 3 & & \end{matrix} \right.\)
Vậy, giá 1 quả thanh yên là 3 rupi; giá 1 quả táo rừng thơm là 10 rupi.
Bài 36 trang 24 SGK Toán 9 tập 2
Điểm số trung bình của một vận động viên bắn súng sau 100 lần bắn là 8,69 điểm. Kết quả cụ thể được ghi trong bảng sau, trong đó có hai ô bị mờ không đọc được (đánh dấu *):
|
Điểm số của mỗi lần bắn |
10 |
9 |
8 |
7 |
6 |
|
Số lần bắn |
25 |
42 |
* |
15 |
* |
Em hãy tìm lại các số trong hai ô đó.
Theo thứ tự từ trái qua phải, ta gọi số thứ nhất bị mờ là x, số thứ hai bị mờ là y. Điều kiện x > 0, y > 0.
Số lần bắn là 100 nên ta có: 25+42+x+15+y=100
\(\Leftrightarrow x+y=18 (1)\)
Điểm số trung bình của một vận động viên bắn súng sau 100 lần bắn là 8,69 điểm nên ta có:
\(\dfrac{{10.25 + 9.42 + 8.x + 7.15 + 6.y}}{{100}} = 8,69\)
\(\Leftrightarrow 10.25 + 9 . 42 + 8.x + 7.15 + 6.y = 100.8,69\)
\(\Leftrightarrow 8x+6y=136 (2)\)
Từ (1) và (2), ta có hệ phương trình:
\(\left\{\begin{matrix} x + y = 18 & & \\ 8.x + 6.y = 136& & \end{matrix}\right.\)
\(⇔ \left\{\begin{matrix} 6x+6y=108 & & \\ 8x+6y = 136 & & \end{matrix}\right.\)
\(⇔ \left\{\begin{matrix} 6x+6y=108 & & \\ -2x = -28 & & \end{matrix}\right.\)
\(⇔ \left\{\begin{matrix} 6y=108-6x & & \\ x = 14 & & \end{matrix}\right.\)
\(⇔ \left\{\begin{matrix} 6y=108-6.14 & & \\ x = 14 & & \end{matrix}\right.\)
\(⇔ \left\{\begin{matrix} 6y=24 & & \\ x = 14 & & \end{matrix}\right.\)
\(⇔ \left\{\begin{matrix} y=4 & & \\ x = 14 & & \end{matrix} \right.\)
Vậy theo thứ tự từ trái qua phải, số thứ nhất bị mờ là 14, số thứ hai bị mờ là 4.
Bài 37 trang 24 SGK Toán 9 tập 2
Hai vật chuyển động đều trên một đường tròn đường kính 20 cm, xuất phát cùng một lúc, từ cùng một điểm. Nếu chuyển động cùng chiều thì cứ 20 giây chúng lại gặp nhau. Nếu chuyển động ngược chiều thì cứ 4 giây chúng lại gặp nhau. Tính vận tốc của mỗi vật.
Gọi vận tốc của hai vật lần lượt là x (cm/s) và y (cm/s) (điều kiện x > y > 0).
Quãng đường đi được của vật thứ nhất sau 20 giây là: 20x (cm)
Quãng đường đi được của vật thứ hai sau 20 giây là: 20y (cm)
Khi chuyển động cùng chiều, cứ 20 giây chúng lại gặp nhau, nghĩa là sau 20 giây, vật thứ nhất (tức vật đi nhanh hơn) đi được nhiều hơn vật thứ hai đúng một vòng tròn.
Độ dài (chu vi) đường tròn đường kính 20 cm là:
\(20 \pi\) (cm).
Ta có phương trình: 20x - 20y =
\(20 \pi\) (1)
Quãng đường đi được của vật thứ nhất sau 4 giây là: 4x (cm)
Quãng đường đi được của vật thứ hai sau 4 giây là: 4y (cm)
Khi chuyển động ngược chiều cứ 4 giây chúng lại gặp nhau, nghĩa là tổng quãng đường hai vật đi được trong 4 giây của hai vật là đúng 1 vòng.
Ta có phương trình: 4x + 4y = 20π. (2)
Từ (1) và (2), ta có hệ phương trình:
\(\left\{\begin{matrix} 20x - 20y = 20\pi & & \\ 4x + 4y = 20\pi & & \end{matrix}\right.\)
\(\left\{\begin{matrix} x - y = 1\pi & & \\ x + y = 5 \pi & & \end{matrix}\right.\)
\(\left\{\begin{matrix} x - y = 1\pi & & \\ 2x = 6 \pi & & \end{matrix}\right.\)
\(\left\{\begin{matrix} y =x- 1\pi & & \\ x = 3 \pi & & \end{matrix}\right.\)
\(\left\{\begin{matrix} y =3 \pi - 1\pi & & \\ x = 3 \pi & & \end{matrix}\right.\)
\(\left\{\begin{matrix} y =2 \pi & & \\ x = 3 \pi & & \end{matrix} \right.\)
Vậy vận tốc của hai vật là
\(3 \pi cm/s, 2 \pi\)cm/s.
Bài 38 trang 24 SGK Toán 9 tập 2
Nếu hai vòi nước cùng chảy vào một bể nước cạn (không có nước) thì bể sẽ đầy trong 1 giờ 20 phút. Nếu mở vòi thứ nhất trong 10 phút và vòi thứ 2 trong 12 phút thì chỉ được 2/15 bể nước. Hỏi nếu mở riêng từng vòi thì thời gian để mỗi vòi chảy đầy bể là bao nhiêu?
Gọi thời gian vòi thứ nhất chảy một mình đầy bể là: x phút, vòi thứ hai chảy một mình đầy bể là: y phút. (Điều kiện x > 80, y > 80 ).
Trong 1 phút vòi thứ nhất chảy được
\(\dfrac{1}{x}\) bể, vòi thứ hai chảy được
\(\dfrac{1}{y}\) bể.
Nên trong 1 phút cả hai vòi chảy được
\(\dfrac{1}{x} +\dfrac{1}{y}\) (bể).
Theo đề bài, cả hai vòi cùng chảy thì sau 1 giờ 20 phút = 80 phút thì đầy bể nên trong 1 phút cả hai vòi chảy được:
\(\dfrac{1}{80}\) (bể).
Do đó ta có phương trình:
\(\dfrac{1}{x} +\dfrac{1}{y}=\dfrac{1}{80}\) (1)
Trong 10 phút vòi thứ nhất chảy được
\(10.\dfrac{1}{x}\) bể, trong 12 phút vòi thứ hai chảy được 12.
\(\dfrac{1}{y}\) bể thì được
\(\dfrac{2}{15}\)bể, ta có phương trình:
\(10. \dfrac{1}{x} + 12. \dfrac{1}{y} = \dfrac{2}{15} (2)\)
Từ (1) và (2) ta có hệ phương trình:
\(\left\{\begin{matrix} \dfrac{1}{x}+ \dfrac{1}{y} = \dfrac{1}{80}& & \\ 10. \dfrac{1}{x} + 12. \dfrac{1}{y} = \dfrac{2}{15} & & \end{matrix}\right.\)
Đặt
\(\left\{\begin{matrix}\dfrac{1}{x} =a & & \\ \dfrac{1}{y}=b & & \end{matrix}\right. ; (a,\ b \ne 0 )\)
Hệ đã cho trở thành:
\(\left\{\begin{matrix} a+ b = \dfrac{1}{80}& & \\ 10. a + 12. b = \dfrac{2}{15} & & \end{matrix}\right.\)
\(\Leftrightarrow \left\{\begin{matrix} 10a+ 10b = \dfrac{10}{80}& & \\ 10a + 12 b = \dfrac{2}{15} & & \end{matrix}\right. \Leftrightarrow \left\{\begin{matrix} 10a+ 10b = \dfrac{1}{8}& & \\ 10a + 12 b = \dfrac{2}{15} & & \end{matrix}\right.\)
\(\Leftrightarrow \left\{\begin{matrix} 2b = \dfrac{1}{120}& & \\ 10a + 12 b = \dfrac{2}{15} & & \end{matrix}\right. \Leftrightarrow \left\{\begin{matrix} b = \dfrac{1}{240}& & \\ 10a = \dfrac{2}{15}-12b & & \end{matrix}\right.\)
\(\Leftrightarrow \left\{\begin{matrix} b = \dfrac{1}{240}& & \\ 10a = \dfrac{2}{15}-12.\dfrac{1}{240} & & \end{matrix}\right.\)
\(\Leftrightarrow \left\{\begin{matrix} b = \dfrac{1}{240}& & \\ a = \dfrac{1}{120} & & \end{matrix} \right.\)
Suy ra
\(\left\{\begin{matrix}\dfrac{1}{x} = \dfrac{1}{120} & & \\ \dfrac{1}{y}=\dfrac{1}{240} & & \end{matrix}\right.\Leftrightarrow \left\{\begin{matrix}x = 120 & & \\ y=240 & & \end{matrix}\right.\) (thỏa mãn)
Vậy vòi thứ nhất chảy một mình trong 120 phút (2 giờ) thì đầy bể, vòi thứ hai chảy một mình trong 240 phút (4 giờ) thì đầy bể.
Bài 39 trang 24 SGK Toán 9 tập 2
Một người mua hai loại hàng và phải trả tổng cộng 2,17 triệu đồng, kể cả thuế giá trị tăng (VAT) với mức 10% đối với loại hàng thứ nhất và 8% đối với loại hàng thứ hai. Nếu thuế VAT là 9% đối với cả hai loại hàng thì người đó phải trả tổng cộng 2,18 triệu đồng. Hỏi nếu không kể thuế VAT thì người đó phải trả bao nhiêu tiền cho mỗi loại hàng ?
Giả sử không kể thuế VAT người đó phải trả x triệu đồng cho loại hàng thứ nhất, y triệu đồng cho loại hàng thứ hai. (Điều kiện: x, y > 0 )
*Số tiền thuế phải trả cho loại hàng thứ nhất là:
10%. x =
\(\dfrac{10}{100}.x\) =
\(\dfrac{1}{10}x\) (triệu đồng)
Tổng số tiền phải trả cho loại hàng thứ nhất (kể cả thuế) là:
\(x+ \dfrac{1}{10}x=\dfrac{11}{10}x\) (triệu đồng)
Số tiền thuế phải trả cho loại hàng thứ hai là:
8%. y
\(=\dfrac{8}{100}.y=\dfrac{2}{25}y\) (triệu đồng)
Tổng số tiền phải trả cho loại hàng thứ hai (kể cả thuế) là:
\(y+\dfrac{2}{25}y=\dfrac{27}{25}y\) (triệu đồng)
Theo đề bài, tổng số tiền phải trả lúc này là 2,17 triệu đồng, nên ta có phương trình:
\(\dfrac{11}{10}x + \dfrac{27}{25}y = 2,17 \Leftrightarrow 1,1x + 1,08y = 2,17\) (1)
* Số tiền mua cả hai loại hàng khi chưa có thuế là: x+y (triệu đồng)
Số tiền thuế phải trả cho cả hai loại hàng với mức thuế 9% là:
9%.
\((x+y)=\dfrac{9}{100}.(x+y)\)
Tổng số tiền phải trả (kể cả thuế), là:
\((x+y) + \dfrac{9}{100}.(x+y)=\dfrac{109}{100}(x+y)\)
Theo đề bài, tổng số tiền phải trả lúc này là: 2,18 triệu đồng, nên ta có phương trình:
\(\dfrac{109}{100}(x+y)=2,18 \Leftrightarrow x+y=2 (2)\)
Từ (1) và (2), ta có hệ phương trình:
\(\left\{\begin{matrix} 1,1x + 1,08y = 2,17 & & \\ x + y = 2 & & \end{matrix}\right.\)
\(\Leftrightarrow \left\{\begin{matrix} x = 2-y & & \\ 1,1(2-y) +1,08y= 2,17 & & \end{matrix}\right.\)
\(\Leftrightarrow \left\{\begin{matrix} 2,2 - 1,1y+1,08y=2,17 & & \\ x=2-y & & \end{matrix}\right.\)
\(\Leftrightarrow \left\{\begin{matrix} 0,02y=2,2-2,17 & & \\ x=2-y & & \end{matrix}\right.\)
\(\Leftrightarrow \left\{\begin{matrix} 0,02y=0,03 & & \\ x=2-y & & \end{matrix}\right.\Leftrightarrow \left\{\begin{matrix} y=1,5 & & \\ x=2-y\ (3) & & \end{matrix}\right.\)
\(\Leftrightarrow \left\{\begin{matrix} y=1,5 & & \\ x=2-1,5 & & \end{matrix}\right.\)
\(\Leftrightarrow \left\{\begin{matrix} y=1,5 & & \\ x=0,5\ & & \end{matrix} \right.\)
Vậy số tiền người đó phải trả cho loại thứ nhất là 0,5 triệu đồng khi không có thuế, loại thứ hai là 1,5 triều đồng khi không có thuế.
....................................
Trên đây VnDoc.com vừa gửi tới bạn đọc bài viết Giải bài tập SGK Toán lớp 9 bài 6: Giải bài toán bằng cách lập hệ phương trình (Tiếp theo). Mời các bạn học sinh còn có thể tham khảo các đề thi học học kì 1 lớp 9, đề thi học học kì 2 lớp 9 mà chúng tôi đã sưu tầm và chọn lọc. Với đề thi học kì 2 lớp 9 này giúp các bạn rèn luyện thêm kỹ năng giải đề và làm bài tốt hơn. Chúc các bạn ôn thi tốt