Giải bài tập SGK Toán lớp 9 bài 10: Diện tích hình tròn, hình quạt tròn
Giải bài tập SGK Toán 9 bài 10: Diện tích hình tròn, hình quạt tròn
VnDoc xin giới thiệu tới các bạn bài Giải bài tập SGK Toán lớp 9 bài 10: Diện tích hình tròn, hình quạt tròn, kèm theo lời giải chi tiết giúp các bạn học sinh so sánh đáp án. Hy vọng với tài liệu này sẽ giúp ích cho các bạn học tập tốt môn Toán lớp 9. Mời các bạn cùng tham khảo
- Giải bài tập SGK Toán lớp 9 bài 6: Cung chứa góc
- Giải bài tập SGK Toán lớp 9 bài 7: Tứ giác nội tiếp
- Giải bài tập SGK Toán lớp 9 bài 9: Độ dài đường tròn, cung tròn
- Giải bài tập SGK Toán lớp 9 bài 9: Độ dài đường tròn, cung tròn
Trả lời câu hỏi Toán 9 Tập 2 Bài 10 trang 97: Hãy điền biểu thức thích hợp vào các chỗ trống (…) trong dãy lập luận sau:
Hình tròn bán kính R (ứng với cung 360o) có diện tích là … .
Vậy hình quạt tròn bán kính R, cung 1o có diện tích là … .
Hình quạt tròn bán kính R, cung no có diện tích S = … .
Lời giải
Hình tròn bán kính R (ứng với cung 360o) có diện tích là πR2
Vậy hình quạt tròn bán kính R, cung 1o có diện tích là (πR2)/360
Hình quạt tròn bán kính R, cung no có diện tích S = (πR2n)/360
Bài 77 (trang 98 SGK Toán 9 tập 2): Tính diện tích hình tròn nội tiếp một hình vuông có cạnh là 4cm.
Lời giải

Hình tròn nội tiếp hình vuông có cạnh 4cm thì có R = 2cm.
Vậy diện tích hình tròn là: π22 = 4π(cm2).
Bài 78 (trang 98 SGK Toán 9 tập 2): Chân một đồng cát đổ trên một nền phẳng nằm ngang là một hình tròn có chu vi 12m. Hỏi chân đống cát đó chiếm một diện tích là bao nhiêu mét vuông?
Lời giải

Bài 79 (trang 98 SGK Toán 9 tập 2): Tính diện tích một hình quạt tròn có bán kính 6cm, số đo cung là 36o.
Lời giải

Bài 80 (trang 98 SGK Toán 9 tập 2): Một vườn cỏ hình chữ nhật ABCD có AB = 40m, AD = 30m. Người ta muốn buộc hai con dê ở hai góc vườn A, B. Có hai cách buộc:
- Mỗi dây thừng dài 20m.
- Một dây thừng dài 30m và dây thừng kia dài 10m.
Hỏi với cách buộc nào thì diện tích cỏ mà cả hai con dê có thể ăn được sẽ lớn hơn (h.60)?

Hình 60
Lời giải

Bài 81 (trang 99 SGK Toán 9 tập 2): Diện tích hình tròn sẽ thay đôi thế nào nếu:
a) Bán kính tăng gấp đôi?
b) Bán kính tăng gấp ba?
c) Bán kính tăng K lần (k > 1)?
Hình 61
Lời giải
Vậy:
Khi bán kính tăng lên gấp đôi thì diện tích đường tròn tăng lên gấp 4 (= 22) lần.
Khi bán kính tăng lên gấp ba thì diện tích đường tròn tăng lên gấp 9 (= 32) lần.
Khi bán kính tăng lên gấp k thì diện tích đường tròn tăng lên gấp k2lần.
Bài 82 (trang 99 SGK Toán 9 tập 2): Điền vào ô trống trong bảng sau (làm tròn kết quả đến chữ số thập phân thứ nhất):
| Bán kính đường tròn (R) | Độ dài đường tròn (C) | Diện tích hình tròn (S) | Số đo của cung tròn no | Diện tích quạt tròn cung no |
| 13,2cm | 47,5o | |||
| 2,5cm | 12,5cm2 | |||
| 37,8cm2 | 10,6cm2 |
Lời giải
Điền vào ô trống:
| Bán kính đường tròn (R) | Độ dài đường tròn (C) | Diện tích hình tròn (S) | Số đo của cung tròn no | Diện tích quạt tròn cung no |
| 2,1cm | 13,2cm | 13,8cm2 | 47,5o | 1,83cm2 |
| 2,5cm | 15,7cm | 19,6cm2 | 229,3o | 12,5cm2 |
| 3,5cm | 22cm | 37,8cm2 | 99,2o | 10,6cm2 |
Cách tính:

Bài 83 (trang 99 SGK Toán 9 tập 2): a) Vẽ hình 62 (tạo bởi các cung tròn) với HI = 10cm và HO = BI = 2cm. Nêu cách vẽ.
b) Tính diện tích hình HOABINH (miền gạch sọc).
c) Chứng tỏ rằng hình tròn đường kính NA có cùng diện tích với hình HOABINH đó .
Hình 62
Lời giải
a) Cách vẽ
- Vẽ nửa đường tròn đường kính HI = 10cm, tâm M.
- Trên đường kính HI lấy điểm O và điểm B sao cho HO = BI = 2cm.
- Vẽ hai nửa đường tròn đường kính HO, BI nằm cùng phía với đường tròn (M).
- Vẽ nửa đường tròn đường kính OB nằm khác phía đối với đường tròn (M). Đường thẳng vuông góc với HI tại M cắt (M) tại N và cắt đường tròn đường kính OB tại A.
b)

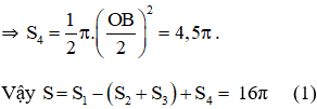
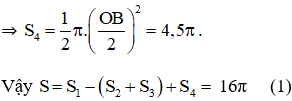
Diện tích miền gạch sọc bằng:
S = S1 – S2 – S3 + S4
với:
+ S1 là nửa đường tròn đường kính HI

+ S2; S3 là nửa đường tròn đường kính HO và BI.

+ S4 là nửa đường tròn đường kính OB

c) Diện tích hình tròn đường kính NA bằng: π42 = 16π (cm2) (2)
so sánh (1) và (2) ta thấy hình tròn đường kính NA có cùng diện tích với hình HOABINH.
Bài 84 (trang 99 SGK Toán 9 tập 2): a) Vẽ lại hình tạo bởi các cung tròn xuất phát từ đỉnh C của tam giác đều ABC cạnh 1cm. Nêu cách vẽ (h.63).
b) Tính diện tích miền gạch sọc.

Lời giải

Bài 85 (trang 100 SGK Toán 9 tập 2): Hình viên phân là phần hình tròn giới hạn bởi một cung và dây căng cung ấy. Hãy tính diện tích hình viên phân AmB, biết góc ở tâm AOB = 60o và bán kính đường tròn là 5,1cm (h.64).

Hình 64
Lời giải

Bài 86 (trang 100 SGK Toán 9 tập 2): Hình vành khăn là phần hình tròn giữa hai đường tròn đồng tâm (h.65).
a) Tính diện tích S của hình vành khăn theo R1 và R2 (giả sử R1 > R2).
b) Tính diện tích hình vành khăn khi R1 = 10,5 cm, R2 = 7,8cm.

Lời giải

Bài 87 (trang 100 SGK Toán 9 tập 2): Lấy cạnh BC của một tam giác đều làm đường kính, vẽ môt nửa đường tròn về cùng một phía với tam giác ấy đối với đường thẳng BC. Cho biết cạnh BC = a, hãy tính diện tích của hai hình viên phân được tạo thành.
Lời giải

Gọi nửa đường tròn tâm O đường kính BC cắt hai cạnh AB và AC lần lượt tại M và N.

....................................
Ngoài Giải bài tập SGK Toán lớp 9 bài 10: Diện tích hình tròn, hình quạt tròn. Mời các bạn học sinh còn có thể tham khảo các đề thi học học kì 1 lớp 9, đề thi học học kì 2 lớp 9 các môn Toán, Văn, Anh, Hóa, Lý, Địa, Sinh mà chúng tôi đã sưu tầm và chọn lọc. Với đề thi học kì 2 lớp 9 này giúp các bạn rèn luyện thêm kỹ năng giải đề và làm bài tốt hơn. Chúc các bạn học tốt