Giải bài tập SGK Toán lớp 9 bài 8: Đường tròn ngoại tiếp. Đường tròn nội tiếp
Giải bài tập SGK Toán 9 bài 8: Đường tròn ngoại tiếp. Đường tròn nội tiếp
Giải bài tập SGK Toán lớp 9 bài 8: Đường tròn ngoại tiếp. Đường tròn nội tiếp. Đây là tài liệu tham khảo hay được VnDoc.com sưu tầm nhằm giúp quá trình ôn tập và củng cố kiến thức chuẩn bị cho kì thi học kì mới môn Toán của các bạn học sinh lớp 9 trở nên thuận lợi hơn. Mời các bạn tham khảo
- Giải bài tập SGK Toán lớp 9 bài 4: Công thức nghiệm của phương trình bậc hai
- Giải bài tập SGK Toán lớp 9 bài 5: Góc có đỉnh ở bên trong đường tròn. Góc có ngoài ở bên trong đường tròn
- Giải bài tập SGK Toán lớp 9 bài 6: Cung chứa góc
- Giải bài tập SGK Toán lớp 9 bài 7: Tứ giác nội tiếp
Trả lời câu hỏi Toán 9 Tập 2 Bài 8 trang 91: a) Vẽ đường tròn tâm O bán kính R = 2cm.
b) Vẽ một lục giác đều ABCDEF có tất cả các đỉnh nằm trên đường tròn (O).
c) Vì sao tâm O cách đều các cạnh của lục giác đều? Gọi khoảng cách này là r.
d) Vẽ đường tròn (O; r).
Lời giải
a)

b) Cách vẽ lục giác đều có tất cả các đỉnh nằm trên đường tròn (O)
Vẽ các dây cung
\(AB=BC=CD=DE=EF=FA=R=2\) cm
c) Vì các dây cung
\(AB=BC=CD=DE=EF=FA\) bằng nhau nên khoảng cách từ O đến các dây là bằng nhau
Bài 61 (trang 91 SGK Toán 9 tập 2): a) Vẽ đường tròn tâm O, bán kính 2cm.
b) Vẽ hình vuông nội tiếp đường tròn (O) ở câu a).
c) Tính bán kính r của đường tròn nội tiếp hình vuông ở câu b) rồi vẽ đường tròn (O; r).
Lời giải

a) Chọn điểm O là tâm, mở compa có độ dài 2cm vẽ đường tròn tâm O, bán kính 2cm.
b) Vẽ đường kính AC và BD vuông góc với nhau. Nối A với B, B với C, C với D, D với A ta được tứ giác ABCD là hình vuông nội tiếp đường tròn (O; 2cm).
c) Vẽ OH ⊥ AD.
OH là bán kính r của đường tròn nội tiếp hình vuông ABCD.
r = OH = BH
Có:
\(r^2+r^2=OB^{^2}=2^2⇒2r^2=4⇒r^2=2⇒r=\sqrt{2}(cm)\)
Vẽ đường tròn (O; OH). Đường tròn này nội tiếp hình vuông, tiếp xúc bốn cạnh hình vuông tại các trung điểm của mỗi cạnh.
Bài 62 (trang 91 SGK Toán 9 tập 2): a) Vẽ tam giác đều ABC cạnh a = 3cm.
b) Vẽ tiếp đường tròn (O; R) ngoại tiếp tam giác đều ABC. Tính R.
c) Vẽ tiếp đường tròn (O; r) nội tiếp tam giác đều ABC. Tính r.
d) Vẽ tiếp tam giác đều IJK ngoại tiếp đường tròn (O; R).
Lời giải

a) Vẽ tam giác đều ABC có cạnh bằng 3cm (dùng thước thẳng và compa).
b) * Vẽ đường tròn:
Tâm O của đường tròn ngoại tiếp tam giác đều ABC là giao điểm của ba đường trung trực.
Dựng đường trung trực của đoạn thẳng BC và CA.
Hai đường trung trực cắt nhau tại O.
Vẽ đường tròn tâm O, bán kính OA = OB = OC ta được đường tròn ngoại tiếp tam giác ABC.
* Tính bán kính đường tròn.
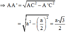
+ Gọi A’ là trung điểm
\(BC⇒A’C=\frac{BC}{2}=\frac{a}{2}\).
và AA’ ⊥ BC

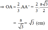
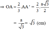
+ O là giao của 3 đường trung trực đồng thời là trọng tâm tam giác

Vậy
\(R=\sqrt{3}\)(cm).
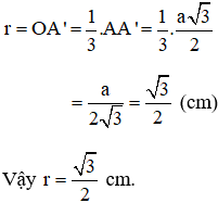
c) * Vẽ đường tròn:
Gọi A’; B’; C’ lần lượt là chân đường phân giác trong ứng với các cạnh BC, CA, AB
⇒ A’; B’; C’ đồng thời là trung điểm BC; CA; AB.
Đường tròn (O; r) là đường tròn tâm O; bán kính
\(OA’=OB’=OC’\).
* Tính r:

d) Vẽ các tiếp tuyến với đường tròn (O; R) tại A, B, C. Ba tiếp tuyến này cắt nhau tại I, J, K. Ta có ΔIJK là tam giác đều ngoại tiếp (O; R).
Bài 63 (trang 92 SGK Toán 9 tập 2): Vẽ hình lục giác đều, hình vuông, tam giác đều cùng nội tiếp đường tròn (O; R) rồi tính cạnh của các hình đó theo R.
Lời giải

a)

* Vẽ lục giác đều nội tiếp (O; R):
+ Lấy điểm A trên (O; R).
+ Vẽ cung tròn (A; R) cắt (O; R) tại B và F.
+ Vẽ cung tròn (B; R) cắt (O; R) tại C.
+ Vẽ cung tròn (C; R) cắt (O; R) tại D.
+ Vẽ cung tròn (D; R) cắt (O; R) tại E.
ABCDEF là lục giác đều cần vẽ.
* Tính cạnh:
\(AB=BC=CD=DE=EF=FA=R\).
b)

* Vẽ hình vuông:
+ Vẽ đường kính AC của đường tròn tâm O.
+ Vẽ đường kính BD ⊥ AC
Nối AB; BC; CD; DA ta được hình vuông ABCD nội tiếp đường tròn (O).
* Tính cạnh:
ΔAOB vuông tại O
![]()
c)

* Vẽ tam giác đều:
Chia đường tròn thành 6 cung bằng nhau như phần a).
Nối các điểm như hình vẽ ta được tam giác đều nội tiếp đường tròn.
* Tính cạnh tam giác:
Gọi cạnh ΔABC đều là a.
Gọi H là trung điểm BC
\(⇒HB=\frac{a}{2}\)

O là tâm đường tròn ngoại tiếp đồng thời là trọng tâm tam giác

Mà
\(OA=R⇒a=R\sqrt{3}.\)
Bài 64 (trang 92 SGK Toán 9 tập 2): Trên đường tròn bán kính R lần lượt đặt theo cùng một chiều, kể từ điểm A, ba cung AB, BC, CD sao cho
![]()
a) Tứ giác ABCD là hình gì?
b) Chứng minh rằng hai đường chéo của tứ giác ABCD vuông góc với nhau.
c) Tính độ dài các cạnh của tứ giác ABCD theo R.
Lời giải





....................................
Ngoài Giải bài tập SGK Toán lớp 9 bài 8: Đường tròn ngoại tiếp. Đường tròn nội tiếp. Mời các bạn học sinh còn có thể tham khảo các đề thi học học kì 1 lớp 9, đề thi học học kì 2 lớp 9 các môn Toán, Văn, Anh, Hóa, Lý, Địa, Sinh mà chúng tôi đã sưu tầm và chọn lọc. Với đề thi học kì 2 lớp 9 này giúp các bạn rèn luyện thêm kỹ năng giải đề và làm bài tốt hơn. Chúc các bạn học tốt