Giải bài tập SGK Toán lớp 9 bài 4: Công thức nghiệm của phương trình bậc hai
Giải bài tập Toán lớp 9 bài 4: Công thức nghiệm của phương trình bậc hai
Giải bài tập SGK Toán lớp 9 bài 4: Công thức nghiệm của phương trình bậc hai là tài liệu tham khảo hữu ích dành cho thầy cô trong quá trình giảng dạy, ôn luyện kiến thức đã học cho các bạn đồng thời cũng giúp học sinh học tốt môn Toán lớp 9. Mời các bạn tham khảo
- Giải bài tập SGK Toán lớp 9 bài 1: Hàm số y = ax2 (a ≠ 0)
- Giải bài tập SGK Toán lớp 9 bài 2: Đồ thị hàm số y = ax2 (a ≠ 0)
- Giải bài tập SGK Toán lớp 9 bài 5: Giải bài toán bằng cách lập hệ phương trình
- Giải bài tập SGK Toán lớp 9 bài 6: Giải bài toán bằng cách lập hệ phương trình (Tiếp theo)
- Giải bài tập SGK Toán lớp 9: Ôn tập chương 3
Trả lời câu hỏi Toán 9 Tập 2 Bài 4 trang 44: Hãy điền những biểu thức thích hợp vào các ô trống (…) dưới đây:
a) Nếu Δ > 0 thì từ phương trình (2) suy ra
\(x+\frac{b}{2a}=\pm\dots\)
Do đó, phương trình (1) có hai nghiệm
\(x_1=\dots,x_2=\dots\)
b) Nếu Δ = 0 thì từ phương trình (2) suy ra
\((x+\frac{b}{2a})2=\dots\)
Do đó, phương trình (1) có nghiệm kép x = …
Lời giải
a) Nếu Δ > 0 thì từ phương trình (2) suy ra
\(x+\frac{b}{2a}=\pm\sqrt{\frac{Δ}{2a}}\)
Do đó, phương trình (1) có hai nghiệm
\(x_1=\frac{-b+\sqrt{Δ}}{2a};x2=\frac{-b-\sqrt{Δ}}{2a}\)
b) Nếu Δ = 0 thì từ phương trình (2) suy ra
\((x+\frac{b}{2a})2=0\)
Do đó,phương trình (1) có nghiệm kép
\(x=\frac{-b}{2a}\)
Trả lời câu hỏi Toán 9 Tập 2 Bài 4 trang 44: Hãy giải thích vì sao khi Δ < 0 thì phương trình vô nghiệm.
Lời giải
Trả lời:
Khi Δ < 0 ta có:
\((x+\frac{b}{2a})2<0\)
Điều này vô lý, do đó phương trình vô nghiệm.
Trả lời câu hỏi Toán 9 Tập 2 Bài 4 trang 44: Hãy điền những biểu thức thích hợp vào các ô trống (…) dưới đây:
a) Nếu Δ > 0 thì từ phương trình (2) suy ra
\(x+\frac{b}{2a}=\pm\dots\)
Do đó, phương trình (1) có hai nghiệm
\(x_1=\dots,x_2=\dots\)
b) Nếu Δ = 0 thì từ phương trình (2) suy ra
\((x+\frac{b}{2a})^2=\dots\)
Do đó, phương trình (1) có nghiệm kép x = …
Lời giải
a) Nếu Δ > 0 thì từ phương trình (2) suy ra
\(x+\frac{b}{2a}=\pm\sqrt{\frac{Δ}{2a}}\)
Do đó,phương trình (1) có hai nghiệm
\(x1=\frac{-b+\sqrt{Δ}}{2a};x2=\frac{-b-\sqrt{Δ}}{2a}\)
b) Nếu Δ = 0 thì từ phương trình (2) suy ra
\((x+\frac{b}{2a})^2=0\)
Do đó,phương trình (1) có nghiệm kép
\(x=\frac{-b}{2a}\)
Trả lời câu hỏi Toán 9 Tập 2 Bài 4 trang 44: Hãy giải thích vì sao khi Δ < 0 thì phương trình vô nghiệm.
Lời giải
Trả lời:
Khi Δ < 0 ta có:
\((x+\frac{b}{2a})^2<0\)
Điều này vô lý, do đó phương trình vô nghiệm.
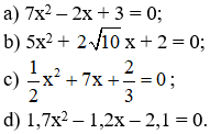
Bài 15 (trang 45 SGK Toán 9 tập 2): Không giải phương trình, hãy xác định các hệ số a, b, c, tính biệt thức Δ và xác định số nghiệm của mỗi phương trình sau:

Lời giải
a) Phương trình bậc hai:
\(7x^2-2x+3=0\)
Có:
\(a=7;b=-2;c=3;Δ=b^2-4ac=(-2)^2-4.7.3=-80<0\)
Vậy phương trình vô nghiệm.
b) Phương trình bậc hai ![]()
Có:
\(a=5;b=2\sqrt{1}0;c=2;Δ=b^2-4ac=(2\sqrt{1}0)^2-4.2.5=0\)
Vậy phương trình có nghiệm kép.
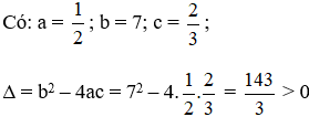
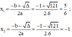
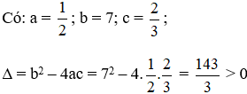
c) Phương trình bậc hai ![]()

Vậy phương trình có hai nghiệm phân biệt.
d) Phương trình bậc hai
\(1,7x^2-1,2x-2,1=0\)
Có:
\(a=1,7;b=-1,2;c=-2,1;Δ=b^2-4ac=(-1,2)^2-4.1,7.(-2,1)=15,72>0\)
Vậy phương trình có hai nghiệm phân biệt.
Bài 16 (trang 45 SGK Toán 9 tập 2): Dùng công thức nghiệm của phương trình bậc hai để giải các phương trình sau:
a)
\(2x^2-7x+3=0;\)
b)
\(6x^2+x+5=0;\)
c)
\(6x^2+x-5=0;\)
d)
\(3x^2+5x+2=0;\)
e)
\(y^2-8y+16=0;\)
f)
\(16z^2+24z+9=0.\)
Lời giải
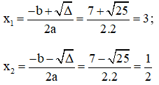
a) Phương trình bậc hai
\(2x^2-7x+3=0\)
Có:
\(a=2;b=-7;c=3;Δ=b^2-4ac=(-7)^2-4.2.3=25>0\)
Áp dụng công thức nghiệm, phương trình có hai nghiệm phân biệt là:

Vậy phương trình có hai nghiệm là 3 và
\(\frac{1}{2}\)
b) Phương trình bậc hai
\(6x^2+x+5=0\)
Có
\(a=6;b=1;c=5;Δ=b^2-4ac=12-4.5.6=-119<0\)
Vậy phương trình vô nghiệm.
c) Phương trình bậc hai
\(6x^2+x-5=0\)
Có
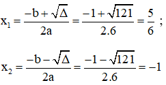
\(a=6;b=1;c=-5;Δ=b^2-4ac=1^2-4.6.(-5)=121>0\)
Áp dụng công thức nghiệm, phương trình có hai nghiệm phân biệt là:

Vậy phương trình có hai nghiệm là -1 và
\(\frac{5}{6}\)
d) Phương trình bậc hai
\(3x^2+5x+2=0\)
Có
\(a=3;b=5;c=2;Δ=b^2-4ac=5^2-4.3.2=1>0\)
Áp dụng công thức nghiệm, phương trình có hai nghiệm phân biệt là:

Vậy phương trình có hai nghiệm là -1 và
\(\frac{-2}{3}\)
e) Phương trình bậc hai
\(y^2-8y+16=0\)
Có
\(a=1;b=-8;c=16;Δ=b^2-4ac=(-8)^2-4.1.16=0.\)
Áp dụng công thức nghiệm ta có phương trình có nghiệm kép :
Vậy phương trình có hai nghiệm là -1 và
\(\frac{5}{6}\)
d) Phương trình bậc hai
\(3x^2+5x+2=0\)
Có
\(a=3;b=5;c=2;Δ=b^2-4ac=5^2-4.3.2=1>0\)
Áp dụng công thức nghiệm, phương trình có hai nghiệm phân biệt là:

Vậy phương trình có hai nghiệm là -1 và
\(\frac{-2}{3}\)
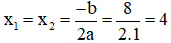
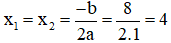
e) Phương trình bậc hai
\(y^2-8y+16=0\)
Có
\(a=1;b=-8;c=16;Δ=b^2-4ac=(-8)^2-4.1.16=0.\)
Áp dụng công thức nghiệm ta có phương trình có nghiệm kép:
![]()
Vậy phương trình có nghiệm kép
\(x=4.\)
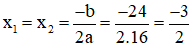
f) Phương trình bậc hai
\(16z^2+24z+9=0\)
Có
\(a=16;b=24;c=9;Δ=b^2-4ac=24^2-4.16.9=0\)
Áp dụng công thức nghiệm ta có phương trình có nghiệm kép:
![]()
Vậy phương trình có nghiệm kép
\(x=\frac{-3}{2}\)
....................................
Ngoài Giải bài tập SGK Toán lớp 9 bài 4: Công thức nghiệm của phương trình bậc hai. Mời các bạn học sinh còn có thể tham khảo các đề thi học học kì 1 lớp 9, đề thi học học kì 2 lớp 9 các môn Toán, Văn, Anh, Hóa, Lý, Địa, Sinh mà chúng tôi đã sưu tầm và chọn lọc. Với đề thi học kì 2 lớp 9 này giúp các bạn rèn luyện thêm kỹ năng giải đề và làm bài tốt hơn. Chúc các bạn ôn thi tốt