Giải Toán 9 bài 3: Liên hệ giữa dây và khoảng cách từ tâm đến dây
Liên hệ giữa dây và khoảng cách từ tâm đến dây
- Trả lời câu hỏi Toán 9 Tập 1 Bài 3 trang 105
- Trả lời câu hỏi Toán 9 Tập 1 Bài 3 trang 105
- Trả lời câu hỏi Toán 9 Tập 1 Bài 3 trang 105
- Giải Bài 12 trang 106 Toán 9 Tập 1
- Giải Bài 13 trang 106 Toán 9 Tập 1
- Giải Bài 14 trang 106 Toán 9 Tập 1
- Giải Bài 15 trang 106 Toán 9 Tập 1
- Giải Bài 16 trang 106 Toán 9 Tập 1
Giải bài tập Toán lớp 9 bài 3: Liên hệ giữa dây và khoảng cách từ tâm đến dây được VnDoc.com đăng tải tổng hợp đáp án cho các câu hỏi trong SGK Toán 9 trang 106, giúp các em nắm vững kiến thức được học trong bài và luyện giải Toán 9 hiệu quả.
Trả lời câu hỏi Toán 9 Tập 1 Bài 3 trang 105
Hãy sử dụng kết quả của bài toán ở mục 1 để chứng minh rằng:
a) Nếu AB = CD thì OH = OK.
b) Nếu OH = OK thì AB = CD.
Lời giải
OH là một phần đường kính vuông góc với dây AB
⇒ H là trung điểm của AB ⇒ AB = 2HB
OK là một phần đường kính vuông góc với dây CD
⇒ K là trung điểm của CD ⇒ CD = 2KD
Theo mục 1: OH2 + HB2 = OK2 + KD2
a) Ta có: AB = CD ⇒ HB = KD
⇒ OH2 = OK2 ⇒ OH = OK
b) Ta có: OH = OK ⇒ HB2= KD2
⇒ HB = KD ⇒ AB = CD
Trả lời câu hỏi Toán 9 Tập 1 Bài 3 trang 105
Hãy sử dụng kết quả của bài toán ở mục 1 để so sánh các độ dài:
a) OH và OK, nếu biết AB > CD.
b) AB và CD, nếu biết OH < OK.

Lời giải
a) Nếu AB > CD thì HB > KD
⇒ HB2 > KD2
Mà: OH2 + HB2 = OK2 + KD2
⇒ OH2 < OK2
⇒ OH < OK
b) Nếu OH < OK thì OH2< OK2
⇒ HB2 > KD2 ⇒ HB > KD
⇒ AB > CD
Trả lời câu hỏi Toán 9 Tập 1 Bài 3 trang 105
Cho tam giác ABC, O là giao của các đường trung trực của tam giác; D, E, F theo thứ tự là trung điểm của các cạnh AB, BC, AC. Cho biết OD > OE, OE = OF (h.69).
Hãy so sánh các độ dài:
a) BC và AC;
b) AB và AC.
Lời giải
O là giao điểm của 3 đường trung trực của tam giác ABC
⇒ O là tâm đường tròn ngoại tiếp tam giác ABC
a) OE = OF ⇒ AC = BC
b) OD > OE ⇒ AB < AC
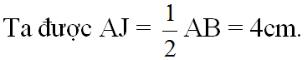
Giải Bài 12 trang 106 Toán 9 Tập 1
Cho đường tròn tâm O bán kính 5cm, dây AB bằng 8cm.
a) Tính khoảng cách từ tâm O đến dây AB.
b) Gọi I là điểm thuộc dây AB sao cho AI = 1cm. Kẻ dây CD đi qua I và vuông góc với AB. Chứng minh rằng CD = AB.
Lời giải:

a) Kẻ OJ vuông góc với AB tại J.
![]()
Áp dụng định lí Pitago trong tam giác vuông OAJ có:
OJ2 = OA2 – AJ2 = 52 – 42 = 9
=> OJ = 3cm (1)
Vậy khoảng cách từ tâm O đến dây AB là OJ = 3cm.
b) Kẻ OM vuông góc với CD tại M.
Tứ giác OJIM có: ∠J = ∠I = ∠M = 1v nên là hình chữ nhật
Ta có IJ = AJ – AI = 4 – 1 = 3cm
=> OM = IJ = 3cm (Tính chất hình chữ nhật) (2)
Từ (1), (2) suy ra CD = AB (hai dây cách đều tâm thì bằng nhau). (đpcm)
Giải Bài 13 trang 106 Toán 9 Tập 1
Cho đường tròn (O) có các dây AB và CD bằng nhau, các tia AB và CD cắt nhau tại điểm E nằm bên ngoài đường tròn. Gọi H và K theo thứ tự là trung điểm của AB và CD. Chứng minh rằng:
a) EH = EK
b) EA = EC.
Lời giải:

a) Nối OE ta có: AB = CD
=> OH = OK (Định lí 3)
Hai tam giác vuông OEH và OEK có:
OE là cạnh chung
OH = OK
=> ΔOEH = ΔOEK (cạnh huyền, cạnh góc vuông)
=> EH = EK (1). (đpcm)
b) Ta có: OH ⊥ AB

Mà AB = CD (gt) suy ra AH = KC (2)
Từ (1) và (2) suy ra:
EA = EH + HA = EK + KC = EC
Vậy EA = EC. (đpcm)
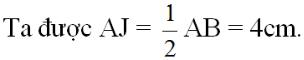
Giải Bài 14 trang 106 Toán 9 Tập 1
Cho đường tròn tâm O bán kính 25cm, dây AB bằng 40cm. Vẽ dây CD song song với AB và có khoảng cách đến AB bằng 22cm. Tính độ dài dây CD.
Lời giải:

Kẻ OM ⊥ AB, ON ⊥ CD.
Ta thấy M, O, N thẳng hàng. Ta có:
![]()
Áp dụng định lí Pitago trong tam giác vuông AMO có:
OM2 = OA2 – AM2 = 252 – 202 = 225
=> OM = √225 = 15cm
=> ON = MN – OM = 22 – 15 = 7 (cm)
Áp dụng định lí Pitago trong tam giác vuông CON có:
CN2 = CO2 – ON2 = 252 – 72 = 576
=> CN = √576 = 24
=> CD = 2CN = 48cm
Giải Bài 15 trang 106 Toán 9 Tập 1
Cho hình 70 trong đó hai đường tròn cùng có tâm là O. Cho biết AB > CD.
Hãy so sánh các độ dài:
a) OH và OK
b) ME và MF
c) MH và MK.

Hình 70
Lời giải:
a) Trong đường tròn nhỏ:
AB > CD => OH < OK (định lí 3)
b) Trong đường tròn lớn:
OH < OK => ME > MF (định lí 3)
c) Trong đường tròn lớn:
ME > MF => MH > MK
Giải Bài 16 trang 106 Toán 9 Tập 1
Cho đường tròn (O), điểm A nằm bên trong đường tròn. Vẽ dây BC vuông góc với OA tại A. Vẽ dây EF bất kì đi qua A và không vuông góc với OA. Hãy so sánh độ dài hai dây BC và EF.
Lời giải:

Kẻ OH ⊥ EF.
Trong tam giác vuông OHA vuông tại H có OA > OH (đường vuông góc ngắn hơn đường xiên).
Vì OA > OH nên BC < EF (định lí 3).
Trắc nghiệm Toán 9 bài 3
....................................
Ngoài Giải bài tập Toán lớp 9 bài 3: Liên hệ giữa dây và khoảng cách từ tâm đến dây, mời các bạn tham khảo thêm tài liệu: Toán lớp 9, Giải bài tập Toán lớp 9, Tài liệu học tập lớp 9 được cập nhật trên VnDoc.
Bài tiếp theo: Giải Toán 9 bài 4: Vị trí tương đối của đường thẳng và đường tròn