Giải bài tập SGK Toán lớp 9 bài 9: Độ dài đường tròn, cung tròn
Giải bài tập SGK Toán 9 bài 9: Độ dài đường tròn, cung tròn
Giải bài tập SGK Toán lớp 9 bài 9: Độ dài đường tròn, cung tròn được VnDoc sưu tầm và chọn lọc, với lời giải kèm theo hy vọng sẽ giúp các bạn học sinh học tập tốt môn Toán lớp 9. Mời các bạn tham khảo
- Giải bài tập SGK Toán lớp 9 bài 5: Góc có đỉnh ở bên trong đường tròn. Góc có ngoài ở bên trong đường tròn
- Giải bài tập SGK Toán lớp 9 bài 6: Cung chứa góc
- Giải bài tập SGK Toán lớp 9 bài 7: Tứ giác nội tiếp
- Giải bài tập SGK Toán lớp 9 bài 9: Độ dài đường tròn, cung tròn
Trả lời câu hỏi Toán 9 Tập 2 Bài 9 trang 92: Em hãy tìm số π bằng cách sau:
Vật liệu: Tấm bìa, kéo, compa, thước có chia khoảng, sợi chỉ.
a) Vẽ trên bìa năm đường tròn tâm O1, O2, O3, O4, O5 có bán kính khác nhau.
b) Cắt ra thành năm hình tròn.
c) Đo chu vi năm hình tròn đó bằng sợi chỉ (càng chính xác càng tốt).
Lời giải
| Đường tròn | (O1) | (O2) | (O3) | (O4) | (O5) |
| Đường kính d | 2 | 3 | 4 | 5 | 6 |
| Đọ dài C của đường tròn | 6,4 | 9,5 | 12,6 | 15,5 | 18,9 |
| C/d | 3,2 | 3,167 | 3,15 | 3,1 | 3,15 |
Trả lời câu hỏi Toán 9 Tập 2 Bài 9 trang 93: Hãy điền biểu thức thích hợp vào các chỗ trống (…) trong dãy lập luận sau:
Đường tròn bán kính R (ứng với cung 360o) có độ dài là …
Vậy cung 1o, bán kính R có độ dài là
\(\frac{(2\pi R)}{360}=\dots\)
Suy ra cung no, bán kính R có độ dài là …
Lời giải
Đường tròn bán kính R (ứng với cung 360o) có độ dài là 2πR
Vậy cung 1o, bán kính R có độ dài là
\(\frac{(2\pi R)}{360}=\frac{\pi R}{180}\)
Suy ra cung no, bán kính R có độ dài là
\(\frac{(\pi Rn)}{180}\)
Bài 65 (trang 94 SGK Toán 9 tập 2): Lấy giá trị gần đúng của π là 3,14, hãy điền vào các ô trống trong bảng (đơn vị độ dài: cm, làm tròn kết quả đến chữ số thập phân thứ hai):
| Bán kính R của đường tròn | 10 | 3 | ||||
| Đường kính d của đường tròn | 10 | 3 | ||||
| Độ dài C của đường tròn | 20 | 25,12 |
Lời giải
| Bán kính R của đường tròn | 10 | 5 | 3 | 1,5 | 3,2 | 4 |
| Đường kính d của đường tròn | 20 | 10 | 6 | 3 | 6,4 | 8 |
| Độ dài C của đường tròn | 62,8 | 31,4 | 18,84 | 9,42 | 20 | 25,12 |
Bài 66 (trang 95 SGK Toán 9 tập 2): a) Tính độ dài cung 60o của một đường tròn có bán kính 2dm.
b) Tính chu vi vành xe đạp có đường kính 650mm.
Lời giải
a) Độ dài cung 60º của đường tròn bán kính 2dm là:
![]()
b) Chu vi vành xe đạp có đường kính 650mm là:
\(C=\pi.d=650\pi\approx2042mm\).
Bài 67 (trang 95 SGK Toán 9 tập 2): Lấy giá trị gần đúng của π là 3,14, hãy điền vào các ô trống trong bảng sau (làm tròn kết quả đến chữ số thập phân thứ nhất và đến độ):
| Bán kính R của đường tròn | 10cm | 21cm | 6,2cm | ||
| Số đo n của cung tròn | 90 | 50 | 41 | 25 | |
| Độ dài l của 1 cung tròn | 35,6cm | 20,8cm | 9,2cm |
Lời giải
Áp dụng công thức:
\(l=\frac{\pi Rn}{180}\).
| Bán kính R của đường tròn | 10cm | 40,8cm | 21cm | 6,2cm | 21cm |
| Số đo n của cung tròn | 90 | 50 | 57 | 41 | 25 |
| Độ dài l của 1 cung tròn | 15,7cm | 35,6cm | 20,8cm | 4,4cm | 9,2cm |
Bài 68 (trang 95 SGK Toán 9 tập 2): Cho ba điểm A, B, C thẳng hàng sao cho B nằm giữa A và C. Chứng minh rằng độ dài của nửa đường tròn đường kính AC bằng tổng các độ dài của hai nửa đường tròn đường kính AB và BC.
Lời giải

Gọi C1, C2, C3 lần lượt là độ dài của các nửa đường tròn đường kính AC, AB, BC, ta có:

Vậy độ dài của nửa đường tròn đường kính AC bằng tổng các độ dài của hai nửa đường tròn đường kính AB và BC.
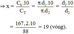
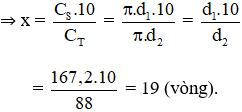
Bài 69 (trang 95 SGK Toán 9 tập 2): Máy kéo nông nghiệp có hai bánh sau to hơn hai bánh trước. Khi bơm căng, bánh xe sau có đường kính là 1,672m và bánh xe trước có đường kính là 88cm. Hỏi khi bánh xe sau lăn được 10 vòng thì bánh xe trước lăn được mấy vòng?
Lời giải
d1 = 1,672m = 167,2cm; d2 = 88cm.
Chu vi bánh xe trước: CT = π.d1
Chu vi bánh xe sau: CS = π.d2.
Gọi số vòng bánh xe trước lăn được là x (vòng).
Quãng đường bánh xe sau và bánh xe trước đi được luôn bằng nhau nên ta có :
CT.x = CS.10

Vậy khi bánh xe sau lăn được 10 vòng thì bánh xe trước lăn được 19 vòng.
Bài 70 (trang 95 SGK Toán 9 tập 2): Vẽ lại ba hình (tạo bởi các cung tròn) dưới đây và tính chu vi mỗi hình (có gạch chéo):

Lời giải
- Hình 52:

Phần gạch chéo là đường tròn đường kính d = 4cm
⇒ Chu vi của hình là: C = π.d = 4π ≈ 12,57 (cm)
- Hình 53:

Chu vi gồm nửa đường tròn C; cung tròn C1 và cung tròn C2.
+ C là nửa đường tròn đường kính d = 4cm
\(⇒C=\frac{\pi.d}{2}=2\pi(cm)\)
+ C1 và C2 là ¼ đường tròn đường kính R = 2cm
\(⇒C_1=C_2=\frac{\pi.R}{2}=\pi(cm)\)
Vậy chu vi phần gạch chéo bằng:
\(C+C1+C2=2\pi+\pi+\pi=4\pi\approx12,57(cm)\)
- Hình 54:

Chu vi cần tính là 4 cung tròn C1 ; C2; C3; C4.
C1 ; C2; C3; C4 đều là ¼ đường tròn bán kính R = 2cm.
\(⇒C_1=C_2=C_3=C_4=\frac{\pi.R}{2}=\pi(cm)\)
⇒ Chu vi phần hình gạch chéo:
\(C=C_1+C_2+C_3+C_4=4\pi\approx12,57(cm).\)
Bài 71 (trang 96 SGK Toán 9 tập 2): Vẽ lại hình tạo bởi các cung tròn dưới đây với tâm lần lượt là B, C, D, A theo đúng kích thước đã cho (cạnh hình vuông ABCD dài 1cm). Nêu cách vẽ đường xoắn AEFGH. Tính độ dài đường xoắn đó.

Hình 55
Lời giải
Cách vẽ:

Bài 72 (trang 96 SGK Toán 9 tập 2): Bánh xe của một ròng rọc có chu vi là 540mm. Dây cua-roa bao bánh xe theo cung AB có độ dài 200mm. Tính góc AOB (h.56).

Hình 56
Lời giải

Bài 73 (trang 96 SGK Toán 9 tập 2): Đường tròn lớn của Trái Đất dài khoảng 40000km. Tính bán kính Trái Đất.
Lời giải
Gọi bán kính Trái Đất là R thì độ dài kinh tuyến Trái Đất là πR (giả thiết Trái Đất tròn và kinh tuyến bằng nửa đường tròn lớn).

Bài 74 (trang 96 SGK Toán 9 tập 2): Vĩ độ của Hà Nội là 20o01'. Mỗi vòng kinh tuyến của Trái Đất dài khoảng 40 000km. Tính độ dài cung kinh tuyến từ Hà Nội đến xích đạo.
Lời giải

Bài 75 (trang 96 SGK Toán 9 tập 2): Cho đường tròn (O), bán kính OM. Vẽ đường tròn tâm O', đường kính OM. Một bán kính OA của đường tròn (O) cắt đường tròn (O') ở B.
![]()
Lời giải


Bài 76 (trang 96 SGK Toán 9 tập 2): Xem hình 57 và so sánh độ dài của cung AmB với độ dài đường gấp khúc AOB.
Lời giải
Vậy độ dài cung AmB lớn hơn độ dài đường gấp khúc AOB.
....................................
Ngoài Giải bài tập SGK Toán lớp 9 bài 9: Độ dài đường tròn, cung tròn. Mời các bạn học sinh còn có thể tham khảo các đề thi học học kì 1 lớp 9, đề thi học học kì 2 lớp 9 các môn Toán, Văn, Anh, Hóa, Lý, Địa, Sinh mà chúng tôi đã sưu tầm và chọn lọc. Với đề thi học kì 2 lớp 9 này giúp các bạn rèn luyện thêm kỹ năng giải đề và làm bài tốt hơn. Chúc các bạn học tốt