Các dạng bài tập về Oxi – Ozon
Chuyên đề Hóa học lớp 10: Hoàn thành phản ứng hóa học Oxi, Lưu huỳnh được VnDoc sưu tầm và giới thiệu tới các bạn học sinh cùng quý thầy cô tham khảo. Nội dung tài liệu sẽ giúp các bạn học sinh học tốt môn Hóa học lớp 10 hiệu quả hơn. Mời các bạn tham khảo.
Bài tập: Các dạng bài tập về Oxi – Ozon
A. Phương pháp & ví dụ
1/ Lý thuyết và phương pháp giải
Dựa trên phản ứng ozon hóa:
3O2 → 2O3: Phản ứng làm giảm số mol khí
2O3 → 3O2: Phản ứng làm tăng số mol khí
⇒Áp dụng giải bài toán bằng phương pháp tăng – giảm thể tích.
- Bài toán về điều chế oxi:
Trong phòng thí nghiệm, O2 được điều chế bằng cách nhiệt phân các chất giàu oxi và kém bền với nhiệt như KClO3, KMnO4,...
2KClO3 → 2KCl + 3O2
2KMnO4 → K2MnO4 + MnO2 + O2
Từ phản ứng ta thấy khối lượng giảm của chất rắn sau phản ứng chính là khối lượng O2 được giải phóng, vậy vận dụng phương pháp bảo toàn khối lượng ta giải dạng này theo phương pháp tăng, giảm khối lượng.
mO2 = mchất rắn ban đầu - mchất rắn sau phản ứng
2/ Ví dụ minh họa
Ví dụ 1: Hỗn hợp khí B gồm O2 và O3 có tỉ khối hơi so với H2 là 19,2. Tính % về thể tích mỗi khí trong B.
DB/H2 = 19,2 → MB = 19,2. 2 = 38,4
Áp dụng quy tắc đường chéo

Giả sử nO3 = y = 2 mol thì nO2 = x = 3 mol → nB = 2 + 3 = 5 mol
% về thể tích = % về số mol
→ %O2 =
\(\frac{3100}{5}\) = 60%
% O3 = 100 – 60 = 40%
Ví dụ 2: Có hỗn hợp khí oxi và ozon. Sau một thời gian, ozon bị phân hủy hết, ta được một chất khí duy nhất có thể tích tăng thêm 2%. Hãy xác định thành phần phần trăm theo thể tích của hỗn hợp khí ban đầu. Biết các thể tích khí đo được ở cùng điều kiện nhiệt độ, áp suất.
Hướng dẫn:
Cách 1: Đặt x và y lần lượt là số mol O2 và O3 trong hỗn hợp:

Số mol hỗn hợp khí trước khi phản ứng là: (x+ y) (mol)
Số mol phản ứng, số mol khí oxi là:
(mol)
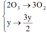
Số mol khí tăng so với ban đầu là:
- (x + y)=0,5y
Ta có 0,5y ứng với 2% nên y ứng với 4%.
Vậy O3 chiếm 4% và O2 chiếm 96%.
Cách 2. Theo phương pháp tăng – giảm thể tích:
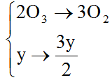
Theo phản ứng: 2O3 → 3O2
Nhận thấy: Cư 2 mol O3 phản ứng, làm hỗn hợp tăng 1 mol khí. Vậy khi hỗn hợp tăng 2% thì %VO3là 4% → %VO2 chiếm 96%.
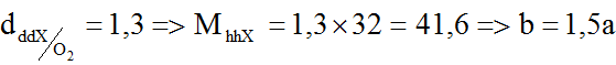
Ví dụ 3: Hỗn hợp khí X gồm O2 và O3 có tỉ khối hơi so với oxi là 1,3.
Tính % về khối lượng của mỗi khí trong hỗn hợp.
Cho 20,8 gam hỗn hợp X có thể đốt cháy hoàn toàn bao nhiêu gam benzen (C6H6)
Hướng dẫn:
a) Gọi a, b lần lượt là số mol O2 và O3
Theo đề bài:
d
Suy ra: mo2 = 32a(gam); mo3=48b=48.1,5a=72a(gam)
Thành phần % khối lượng mỗi khí:
%O2 =
b) Phương trình phản ứng đốt cháy:
2C6H6+ 15O2
12CO2+ 6H2O (1)
(mol) x → 15x/2
C6H6 + 5O3
6CO2 + 3H2O (2)
(mol) y → 5y
Ta có:
\(\frac{15}{2}x\) ×32+5y ×48=30,8 Hay 240x + 240y =20,8 ⇒ x+ y=
\(\frac{20,8}{240}\)
Từ (1) và (2) ⇒ 
⇒ 
Ví dụ 4: Dẫn 2,688 lít hỗn hợp oxi và ozon (đktc) vào dung dịch KI dư thì thu được 20,32 gam iot kết tủa màu tím đen. Tính thành phần phần trăm theo thể tích của mỗi khí trong hỗn hợp ban đầu?
Hướng dẫn:
Ta có: nI2=0,08(mol) và nhỗn hợp = 0,12(mol)
O3 + 2KI + H2O → 2KOH + I2 + O2 ↑ (2)
(mol) 0,08 ← 0,08
Từ (1) ⇒nO3=0.08(mol)⇒ nO2=0,12-0,08=0,04(mol)
Vì là chất khí nên %V =%n
Vậy:
%VO3 = %nO3 = (0,08/0,12).100% = 66,67%
%VO2 = %nO2 = 100% - 66,67% = 33,33%
B. Bài tập trắc nghiệm
Câu 1. Dẫn 2,688 lít hỗn hợp oxi và ozon (đktc) vào dung dịch KI dư thì thu được 20,32 gam iot kết tủa màu tím đen. Tính thành phần phần trăm theo thể tích của mỗi khí trong hỗn hợp ban đầu?
A. 66,67% và 33,33% B. 56,4% và 43,6%
C. 72% và 28% D. 52% và 48%
Đáp án: A
Ta có: nI2 = 0,08(mol) và nhỗn hợp = 0,12(mol)
O3 + 2KI + H2O → 2KOH + I2 + O2 ↑ (2)
(mol) 0,08 ← 0,08
Từ (1) ⇒ nO3 = 0,08(mol) ⇒ nO2 = 0,12 - 0,08 = 0,04(mol)
Vì là chất khí nên %V = %n
Vậy:

Câu 2. Hai bình có thể tích bằng nhau, nạp oxi vào bình thứ nhất, nạp oxi đã được ozon hóa vào bình thứ hai, thấy khối lượng 2 bình khác nhau 0,42g (nhiệt độ và áp suất ở 2 bình như nhau). Khối lượng oxi đã được ozon hóa là:
A. 1,16g B. 1,26g C. 1,36g D. 2,26g
Đáp án: B
Khối lượng khác nhau ở 2 bình là do khối lượng oxi trong ozon:
→ nO3= nO(trong O3)= 0,42/16 = 0,02625 mol
Ta có: nO2(bị ozon hóa) = 3/2 nO3= 3/2. 0,02625 = 0,039375 mol
→ mO2(bị ozon hóa) = 0,039375.32 = 1,26g
Câu 3. Khi đun nóng 11,07g KMnO4 ta được 10,11g bã rắn A và khí B. Tính thể tích khí B (ở đktc) được giải phóng ?
A. 6,72l B. 3,36l C. 0,672l D. 0,448l
Đáp án: C
Phương trình phản ứng:
2KMnO4 → K2MnO4 + MnO2 + O2 (1)
Từ (1) ta thấy khối lượng hỗn hợp rắn trước và sau phản ứng thay đổi là do O2 thoát ra ở dạng khí (O2 là B).
Áp dụng định luật bảo toàn khối lượng ta có:
mO2 = 11,07 – 10,11 = 0,96g → nO2 = 0,96/32 = 0,03 mol
→ VO2 = 0,03 × 22,4 = 0,672l
Câu 4. Khi tầng Ozon bị thủng thì:
A. Cây xanh không quang hợp được
B. Nhiệt độ của trái đất tăng lên
C. Tia tử ngoại sẽ xâm nhập vào trái đất, gây nên các căn bệnh ung thư
D. Không khí trên trái đất bị thoát ra ngoài vũ trụ.
Đáp án: C
Câu 5. Để phân biệt được oxi và ozon người ta làm thí nghiệm nào sau đây?
A. Dẫn lần lượt hai khí qua nước
B. Dẫn lần lượt hai khí qua dung dịch KI có tấm hố tinh bột
C. Dẫn lần lượt hại khí qua dung dịch thuốc tím
D. Dẫn lần lượt hai khí qua dung dịch nước vôi trong.
Đáp án: B
Câu 6. Khi đun nóng 126,4 gam kali pemanganat, thu được 6,72 lít khí oxi (đktc). Xác định độ phân hủy của kali pemanganat và thành phần của chất rắn còn lại.
Đáp án:
Ta có: nO2 = 6,72/22,4 = 0,3
2KMnO4 --to→ K2MnO4 + MnO2+ O2↑ (1)
(mol) 0,6 0,3 0,3 ← 0,3
Từ (1) ⇒ mK2MnO4phản ứng = 0,6(mol)
⇒ mK2MnO4phản ứng = 0,6 ×158=94, 8(gam)
⇒ Độ phân hủy của KMnO4 là: (94,8/126,4) . 100 = 75%
Như vậy chất rắn thu được sau phản ứng gồm : KMnO4 dư, K2MnO4 và MnO2 , có khối lượng là:
mK2MnO4dư = 126, 4 – 94,8 =31,6 (gam)
mK2MnO4 =0,3.197 = 59,1(gam); mMnO2 = 0,3.87 = 26,1(gam)
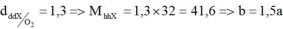
Câu 7. Hỗn hợp khí X gồm O2 và O3 có tỉ khối hơi so với oxi là 1,3.
a, Tính % về khối lượng của mỗi khí trong hỗn hợp.
b, Cho 20,8 gam hỗn hợp X có thể đốt cháy hoàn toàn bao nhiêu gam benzen (C6H6)
Đáp án:
Gọi a, b lần lượt là số mol O2 và O3
Theo đề bài:
dddX/O2 = 1,3 ⇒ MhhX = 1,3.32 = 41,6
Sử dụng phương pháp đường chéo:

Câu 8. Tiến hành phân hủy hết a gam ozon thì thu được 94,08 lít khí O2 (đktc). Xác định giá trị của a.
A. 134,4g B. 124g C. 67,2g D. 181,6g
Đáp án: A
Ta có: nO2 = 4,2(mol)
Phản ứng: 2O3 → 3O2 (1)
(mol) 2,8 ← 4,2
Từ (1) ⇒ nO3 = 2,8(mol) ⇒ 2,8 . 48 = 134,4(gam)
Trên đây VnDoc đã giới thiệu tới các bạn lý thuyết Hóa học 10: Các dạng bài tập về Oxi – Ozon. Để có kết quả cao hơn trong học tập, VnDoc xin giới thiệu tới các bạn học sinh tài liệu Chuyên đề Hóa học 10, Giải bài tập Hóa học lớp 10, Giải bài tập Vật Lí 10, Tài liệu học tập lớp 10 mà VnDoc tổng hợp và giới thiệu tới các bạn đọc.