Giải bài tập trang 69 SGK Toán 1: Phép trừ trong phạm vi 7
Giải bài tập trang 69 SGK Toán 1: Phép trừ trong phạm vi 7
Giải bài tập trang 69 SGK Toán 1: Phép trừ trong phạm vi 7 giúp các em học sinh nhớ được bảng trừ trong phạm vi 7, trừ đúng trong phạm vi 7, biểu thị tranh bằng phép trừ thích hợp. Sau đây mời các bạn cùng tham khảo chi tiết lời giải.
Chương 2. Phép trừ trong phạm vi 7 – Hướng dẫn giải bài tập 1, 2, 3, 4 trang 69 SGK Toán lớp 1
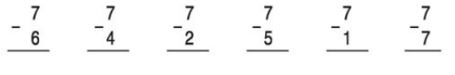
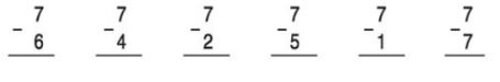
Bài 1: (Hướng dẫn giải bài tập số 1 SGK)
Tính:

Hướng dẫn giải
a. Kết quả là 1.
b. Kết quả là 3.
c. Kết quả là 5.
d. Kết quả là 2.
đ. Kết quả là 6.
e. Kết quả là 0.
Bài 2: (Hướng dẫn giải bài tập số 2 SGK)
Tính:
7 – 6 = 7 – 3 = 7 – 2 = 7 – 4 =
7 – 7 = 7 – 0 = 7 – 5 = 7 – 1 =
Hướng dẫn giải
7 – 6 = 1 7 – 3 = 4 7 – 2 = 5 7 – 4 = 3
7 – 7 = 0 7 – 0 = 7 7 – 5 = 2 7 – 1 = 6
Bài 3: (Hướng dẫn giải bài tập số 3 SGK)
Tính:
7 – 3 – 2 = 7 – 6 – 1 = 7 – 4 – 2 =
7 – 5 – 1 = 7 – 2- 3 = 7 – 4 – 3 =
Hướng dẫn giải
7 – 3 – 2 = 2 7 – 6 – 1 = 0 7 – 4 – 2 = 1
7 – 5 – 1 = 1 7 – 2 – 3 = 2 7 – 4 – 3 = 0
Bài 4: (Hướng dẫn giải bài tập số 4 SGK)
Viết phép tính thích hợp

Hướng dẫn giải
a) 7 – 2 = 5.
b) 7 - 3 = 4.
>> Bài tiếp theo: Giải bài tập trang 70 SGK Toán 1: Phép cộng, phép trừ trong phạm vi 7