Tỉ khối hơi là gì? Cách tính và bài tập tính tỉ khối hơi?
VnDoc xin giới thiệu bài Tỉ khối hơi là gì? Cách tính và bài tập tính tỉ khối hơi? được chúng tôi sưu tầm và tổng hợp lí thuyết trong chương trình giảng dạy môn Hóa học lớp 8. Hi vọng rằng đây sẽ là những tài liệu hữu ích trong công tác giảng dạy và học tập của quý thầy cô và các bạn học sinh.
Lưu ý: Nếu bạn muốn Tải bài viết này về máy tính hoặc điện thoại, vui lòng kéo xuống cuối bài viết.
Tỉ khối hơi là gì? Cách tính và bài tập tính tỉ khối hơi?
1. Tỷ khối hơi là gì?
Tỷ khối là khái niệm chỉ sử dụng cho chất khí. Nó là công thức xác định phân tử khối của chất A so với chất B xem chất A nặng hơn hay nhẹ hơn chất B bao nhiêu lần. Đây cũng chính là ý nghĩa của tỉ khối chất khí.
2. Cách tính và bài tập tính tỉ khối hơi
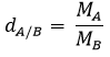
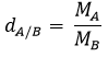
- Công thức tính tỉ khối hơi

Trong đó:
+ dA/B là tỉ khối của khí A đối với khí B
+ MA là khối lượng mol của khí A
+ MB là khối lượng mol của khí B
Tỉ khối hơi của khí A so với không khí
- Để biết khí A nặng hơn hay nhẹ hơn không khí bao nhiêu lần, ta so sánh khối lượng mol của khí A (MA) với khối lượng “mol không khí”.
- Trong không khí để đơn giản ta xem như chứa 80% khí nitơ và 20% khí oxi. Vậy khối lượng mol của không khí là
Mkk = (28.0,8)+(32.0,2)≈29(g/mol)
- Từ đó ta có công thức tỷ khối của chất khí A so với không khí là:

Ví dụ: So sánh tỉ khối của khí cacbonic và không khí
Cách giải
Ta có: Tỉ khối hơi của khí cacbonic so với không khí là
![]()
Vậy khí cacbonic nặng hơn không khí 1,517 lần.
Tỉ khối hơi của khí A so với khí B
- Để biết khí A nặng hơn hay nhẹ hơn khí B bao nhiêu lần, ta so sánh khối lượng mol của khí A (MA) với khối lượng mol của khí B (MB).

- Hoặc ngược lại, để biết khí B nặng hơn hay nhẹ hơn khí A bao nhiêu lần, ta so sánh khối lượng mol của khí B (MB) với khối lượng mol của khí A (MA)

Một số công thức tính tỉ khối hơi thường gặp
- Tỉ khối hơi của chất khí A so với oxi
Khí oxi có khối lượng mol là 32. Vậy tỉ khối hơi của chất A so với oxi được tính bằng công thức:

Ví dụ: So sánh khối lượng của khí cacbonic và khí oxi
Cách giải:
Ta có:

Vậy khí cacbonic nặng hơn khí oxi 1,375 lần.
Tương tự, ta có:
Tỉ khối hơi của chất khí A so với nitơ:
![]()
Tỉ khối hơi của chất khí A so với heli:
![]()
- Tỉ khối hơi của hỗn hợp gồm ozon và oxi
Ví dụ: Hỗn hợp X gồm ozon và oxi có tỉ khối đối với hiđro bằng 18. Tính thành phần theo thể tích của hỗn hợp không khí.
Cách giải:
3. Các dạng toán về tỉ khối hơi
Từ khái niệm tỉ khối hơi là gì, dưới đây Top lời giải sẽ giới thiệu đến các bạn các dạng bài tập chuyên đề tỉ khối hơi của chất khí.
Dạng 1: Tính tỉ khối chất khí
Phương pháp:
- Dạng cơ bản: Sử dụng các công thức tính tỉ khối để tính toán các yêu cầu của đề bài.
- Dạng nâng cao: Tính tỉ khối của hỗn hợp khí với khí hay hỗn hợp khí khác, hoặc đối với không khí.
Dạng 2: Tính khối lượng mol
Phương pháp:
Xét hỗn hợp khí X chứa:
Khí X1(M1) có a1 mol
Khí X2(M2) có a2 mol
Khí X3(M3) có a3 mol
…….
Khí Xn(Mn) có an mol
Khi đó:

(với a là % số mol khí thứ nhất)
Dạng 3: Bài tập tổng hợp
Phương pháp
Áp dụng các công thức sau đây:

Ví dụ: Một hỗn hợp X gồm H2 và O2 (không có phản ứng xảy ra) có tỉ khối so với không khí là 0,3276.
- Tính khối lượng mol trung bình của hỗn hợp.
- Tính thành phần phần trăm theo số mol của mỗi khí trong hỗn hợp (bằng 2 cách khác nhau).
Cách giải:

-------------------------------------------
Như vậy VnDoc đã giới thiệu các bạn tài liệu Tỉ khối hơi là gì? Cách tính và bài tập tính tỉ khối hơi? Mời các bạn tham khảo thêm tài liệu: Chuyên đề Hóa học 8, Giải bài tập Hóa học 8, Giải SBT Hóa 8, Trắc nghiệm Hóa học 8, Tài liệu học tập lớp 8
