1 electron bằng bao nhiêu kg?
Chúng tôi xin giới thiệu bài 1 electron bằng bao nhiêu kg? được VnDoc sưu tầm và tổng hợp lí thuyết trong chương trình giảng dạy môn Hóa học lớp 8. Hi vọng rằng đây sẽ là những tài liệu hữu ích trong công tác giảng dạy và học tập của quý thầy cô và các bạn học sinh.
Lưu ý: Nếu bạn muốn Tải bài viết này về máy tính hoặc điện thoại, vui lòng kéo xuống cuối bài viết.
1 electron bằng bao nhiêu kg và C?
Câu hỏi: 1 electron bằng bao nhiêu kg và C?
Trả lời:
- Khối lượng electron: m(e) = 9,1094. 10-31 kg
- Điện tích: q (e) = – 1, 602. 10-19 C (Cu – lông) → được coi là điện tích đơn vị, điện tích của electron được quy ước là -1
I. Electron là gì?
Một electron là một thành phần tích điện âm ổn định của một nguyên tử. Electron tồn tại bên ngoài và xung quanh các nguyên tử hạt nhân. Mỗi electron mang một đơn vị điện tích âm (1,602 x 10-19 culông) và có một rất nhỏ khối lượng so với của một nuetron hoặc proton. Electron là ít hơn nhiều kích thước lớn gấp proton hoặc neutron. Khối lượng của một electron là 9,10938 x 10-31 kg. Đây là khoảng 1⁄1836 khối lượng của một proton.
Trong chất rắn, electron là phương tiện chính để tiến hành hiện nay (kể từ proton lớn hơn, thường bị ràng buộc vào một hạt nhân, và do đó khó khăn hơn để di chuyển). Trong chất lỏng, các tàu sân bay hiện nay là thường xuyên hơn các ion.
II. Cấu tạo của electron
Electron không có cấu trúc bên trong và nó được cho là một hạt điểm với điện tích điểm và không có sự mở rộng ra không gian.
Electron có kí hiệu là E và khối lượng là 9,1094.10-31 (kg) ≈ 0u. Điện tích là – 1,602.10-19C
1- (đơn vị điện tích)
III. Cấu tạo của các hạt cấu thành nên nguyên tử khác?
Từ các kết quả thực nghiệm, các nhà khoa học đã xác định được thành phần cấu tạo của nguyên tử gồm có hạt nhân và lớp vỏ Electron, trong đó:
+ Hạt nhân nằm ở tâm nguyên tử, gồm các hạt proton và nơtron
+ Vỏ nguyên tử gồm các electron chuyển động trong không gian xung quanh hạt nhân.
⇒ Như vậy, nguyên tử được cấu tạo từ 3 loại hạt cơ bản là: electron, proton và nơtron. Khối lượng và điện tích của Proton, Nơtron và Electron được thể hiện ở bảng sau:

Đơn vị khối lượng nguyên tử hay dalton (ký hiệu SI: u hoặc Da), là một đơn vị đo khối lượng trong hóa học và vật lý, sử dụng đo khối lượng của các nguyên tử và phân tử. Nó được quy ước bằng một phần mười hai khối lượng của nguyên tử carbon đồng vị 12.
Nguyên tử có khối lượng vô cùng nhỏ bé, nếu tính bằng gram thì số trị vô cùng nhỏ, không tiện dụng. Thí dụ, khối lượng của một nguyên tử Cacbon (C) là: 0,000 000 000 000 000 000 000 019 926 g (= 1,9926.10−23 g)
Tại Việt Nam, người ta quy ước lấy 1/12 khối lượng của nguyên tử Cacbon làm đơn vị khối lượng cho nguyên tử, được gọi là Đơn vị Cacbon, viết tắt là đvC.
Trong Hệ Đo lường Quốc tế (SI), nó được ký hiệu bằng chữ "u". Theo quy ước trong hệ Đo lường Quốc tế:
1 u = 1/NA gam = 1/(1000 NA) kg
(Với NA là hằng số Avogadro)
1 u ≈ 1.66053886 x 10−27 kg
1 u ≈ 1.6605 x 10−24 g
IV. Vận dụng
1. Vật (chất) dẫn điện và vật (chất) cách điện
- Vật (chất) dẫn điện là vật (chất) có chứa nhiều điện tích tự do. Điện tích tự do là điện tích có thể di chuyển từ điểm này đến điểm khác trong phạm vi thể tích của vật dẫn.
+ Các chất dẫn điện: Kim loại; các dung dịch axit, bazơ và muối.
- Vật (chất) cách điện là vật (chất) không chứa hoặc chứa rất ít điện tích tự do.
+ Các chất cách điện: Không khí khô, dầu, thuỷ tinh, sứ, cao su, một số nhựa,...
2. Sự nhiễm điện do tiếp xúc
Nếu cho một vật chưa nhiễm điện tiếp xúc với một vật nhiễm điện thì nó sẽ bị nhiễm điện cùng dấu với vật đó. Đó là sự nhiễm điện do tiếp xúc.
3. Sự nhiễm điện do hưởng ứng
Đưa một quả cầu A nhiễm điện dương lại gần đầu M của một thanh kim loại MN trung hoà về
điện. Ta thấy đầu M nhiễm điện âm, còn đầu N nhiễm điện dương. Sự nhiễm điện của thanh
kim loại MN là sự nhiễm điện do hưởng ứng (hay hiện tượng cảm ứng tĩnh điện).
Bài tập ví dụ:
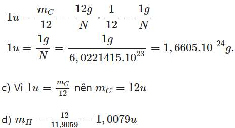
a) Hãy định nghĩa thế nào là một đơn vị khối lượng nguyên tử (u).
b) Hãy tính đơn vị khối lượng nguyên tử (u) ra gam.
c) Hãy cho biết khối lượng nguyên tử đồng vị cacbon-12 tính ra đơn vị khối lượng nguyên tử u.
d) Biết rằng khối lượng của nguyên tử đồng vị cacbon-12 gấp 11,9059 lần khối lượng của nguyên tử hiđro (H), hãy tính khối lượng của nguyên tử hiđro ra u.
Giải:
a) Một đơn vị khối lượng nguyên tử bằng 1/12 khối lượng của một nguyên tử đồng vị cacbon -12( mC).

-------------------------------------------
Như vậy VnDoc đã giới thiệu các bạn tài liệu 1 electron bằng bao nhiêu kg? Mời các bạn tham khảo thêm tài liệu: Chuyên đề Hóa học 8, Giải bài tập Hóa học 8, Giải SBT Hóa 8, Trắc nghiệm Hóa học 8, Tài liệu học tập lớp 8