Nêu vai trò của Ancol trong đời sống
VnDoc xin giới thiệu bài Nêu vai trò của Ancol trong đời sống được chúng tôi sưu tầm và tổng hợp lí thuyết trong chương trình giảng dạy môn Hóa học lớp 11. Hi vọng rằng đây sẽ là những tài liệu hữu ích trong công tác giảng dạy và học tập của quý thầy cô và các bạn học sinh.
Lưu ý: Nếu bạn muốn Tải bài viết này về máy tính hoặc điện thoại, vui lòng kéo xuống cuối bài viết.
Vai trò của Ancol trong đời sống
Câu hỏi: Nêu vai trò của Ancol trong đời sống?
Trả lời:
Ancol có vai trò rất quan trọng trong đó phải kể đến vai trò to lớn của Etanol và Metanol:
- Etanol:
+ Dùng làm nhiên liệu để sản xuất các hợp chất khác như: đietyl este, acid axetic, atyl axetat,…
+ Dùng thay xăng làm nhiên liệu cho động cơ đốt trong
+ Dùng làm nhiên liệu cháy cho đèn cồn trong phòng thí nghiệm
-Metanol:
+ Dùng làm nhiên liệu để sản xuất Andehit Fomic và Acid Axetic…
+ Dùng để tổng hợp các chất khác như Metylamin, Metyl Clorua,…
Lưu ý: Người ta đã dùng Metanol pha vào xăng dầu làm cho khả năng cháy tăng cao và gây ra nhiều hậu quả nguy hiểm cho cuộc sống con người. Do sự tham lam của một số thành phần xấu đã lợi dụng giá cả của metanol rẻ hơn nên đã pha chế thêm vào xăng dầu để thu giá trị cao cho chính mình.
Ngoài ra, ancol còn có ứng dụng trong một số ngành công nghiệp khác như phẩm nhuộm, sản xuất thuốc…
- Sản xuất thực phẩm: Ancol được ứng dụng trong sản xuất đồ uống như bia, rượu,…
- Mỹ phẩm: Trong lĩnh vực sản xuất mỹ phẩm ancol được ứng dụng trong sản xuất nước hoa, xà phòng, phấn trang điểm, kem dưỡng da…
1. Định nghĩa Ancol là gì?
- Ancol là những hợp chất hữu cơ trong phân tử có chứa nhóm -OH liên kết với nguyên tử C no (C sp3) của gốc hiđrocacbon.
- Ancol là sản phẩm thu được khi thay thế nguyên tử H liên kết với C sp3 trong hiđrocacbon bằng nhóm -OH.
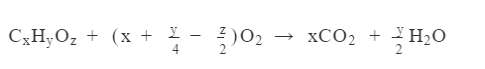
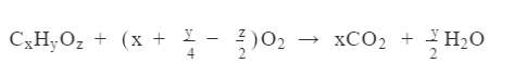
2. Công thức tổng quát của Ancol
- CxHyOz (x, y, z∈N; y chẵn, 4 ≤ y ≤ 2x + 2; z ≤ x): thường dùng khi viết phản ứng cháy.
- CxHy(OH)z hay R(OH)z: thường dùng khi viết phản ứng xảy ra ở nhóm OH.
- CnH2n+2−2k−z(OH)z (k = số liên kết p + số vòng; n, z là các số tự nhiên; z ≤ n): thường dùng khi viết phản ứng cộng H2, cộng Br2, khi biết rõ số chức, no hay không no…
- Độ ancol là % thể tích của C2H5OH nguyên chất trong dung dịch C2H5OH
- Lần ancol là số nhóm OH có trong phân tử ancol.
- Bậc ancol là bậc của nguyên tử C liên kết với nhóm OH.
3. Danh pháp của Ancol
* Tên thông thường: Ancol + tên gốc hiđrocacbon + ic
Thí dụ:
CH3OH: ancol metylic
(CH3)2CHOH: ancol isopropylic
CH2=CHCH2OH: ancol anlyric
C6H5CH2OH: ancol benzylic
* Tên thay thế: Tên hiđrocacbon tương ứng theo mạch chính + số chỉ vị trí + ol
Mạch chính được quy định là mạch cacbon dài nhất có chứa nhóm OH. Số chỉ vị trí được bắt đầu từ phía gần nhóm OH hơn.
Chú ý: Một số ancol mang tên riêng nên nhớ:
CH2OH-CH2OH: Etilenglicol
CH2OH-CHOH-CH2OH: Glixerin (Glixerol)
CH3-CH(CH3)-CH2-CH2OH: Ancol isoamylic
4. Tính chất của ancol
Tính chất vật lý
* Trạng thái của ancol: Từ C1 đến C12 là chất lỏng, từ C13 trở lên là chất rắn.
* Nhiệt độ sôi của ancol:
- So với các chất có M tương đương thì nhiệt độ sôi của: Muối > Axit > Ancol > Anđehit > Hiđrocacbon, ete và este...
- Giải thích: nhiệt độ sôi của một chất thường phụ thuộc vào các yếu tố:
+ M: M càng lớn thì nhiệt độ sôi càng cao.
+ Độ phân cực của liên kết: liên kết ion > liên kết cộng hóa trị có cực > liên kết cộng hóa trị không cực.
+ Số liên kết hiđro: càng nhiều liên kết H thì nhiệt độ sôi càng cao.
+ Độ bền của liên kết hiđro: liên kết H càng bền thì nhiệt độ sôi càng cao.
* Độ tan của ancol
- Ancol có 1, 2, 3 nguyên tử C trong phân tử tan vô hạn trong nước.
- Ancol có càng nhiều C, độ tan trong nước càng giảm vì tính kị nước của gốc hiđrocacbon tăng.
Tính chất hóa học của ancol
* Phản ứng cùng với sắt kẽm kim loại kiềm
Ancol chỉ tác dụng với Na hay NaNH2
R-OH + Na →R-ONa + H2
R-OH + NaNH2 →R-ONa + NH3
* Phản ứng với axit
CH3-CH2-OH+ HBr→ H2SO4CH3-CH2 -Br+ H2O
CH3-CH2-OH+ HCl → ZnCl2CH3-CH2 -Cl+ H2O
Khả năng phản ứng: HI > HBr > HCl > HF
Khả năng thay thế: Ancol bậc 3 > ancol bậc 2 > ancol bậc 1
* Phản ứng tách nước (đề hiđrat hóa)
Phản ứng tách nước (đehiđrat hóa) của ancol no, đơn chức, mạch hở tạo anken

Phản ứng tách nước tạo ete

* Phản ứng oxi hóa
Oxi hóa hoàn toàn bằng oxi (phản ứng cháy)

Oxi hóa không hoàn toàn bằng KMnO4, K2Cr2O7, CrO3…
Ancol bậc 1 →muối carboxylic
R-CH2OH+ KMnO4 -> R-COOK + MnO2 + KOH
Ancol bậc 2 →xetone
5CH3CHOHCH3 + 2KMnO4 + 3H2SO4 → 5CH3COCH3 + K2SO4 + 2MnSO4 + 8H2O
Ancol bậc 3 →xeton +axit cacboxylic

-------------------------------------------
Như vậy VnDoc đã giới thiệu các bạn tài liệu Nêu vai trò của Ancol trong đời sống. Mời các bạn tham khảo thêm tài liệu: Giải bài tập Hóa học lớp 11, Giải SBT Hóa Học 11, Trắc nghiệm Hóa học 11, Tài liệu học tập lớp 11