Có bao nhiêu giá trị nguyên của tham số để hàm số
nghịch biến trên khoảng
?
Ta có:
Xét trên khoảng
ta có bảng biến thiên:
Suy ra mà
nên
Vậy có tất cả giá trị nguyên của m thỏa mãn yêu cầu bài toán.
Có bao nhiêu giá trị nguyên của tham số để hàm số
nghịch biến trên khoảng
?
Ta có:
Xét trên khoảng
ta có bảng biến thiên:
Suy ra mà
nên
Vậy có tất cả giá trị nguyên của m thỏa mãn yêu cầu bài toán.
Một con cá hồi bơi ngược dòng để vượt một khoảng cách là 300 km. Vận tốc dòng nước là 6 km/h. Nếu vận tốc của cá bơi khi nước đứng yên là (km/h) thì năng lượng tiêu hao của cá trong
giờ được cho bởi công thức
trong đó
là một hằng số,
được tính bằng jun. Tìm vận tốc bơi của cá khi nước đứng yên để năng lượng tiêu hao là ít nhất.
Vận tốc cá bơi khi ngược dòng là (km/h).
Thời gian cá bơi để vượt khoảng cách 300 km là (giờ).
Năng lượng tiêu hao của cá để vượt khoảng cách đó là;
(jun),
Ta có:
Bảng biến thiên:

Ta thấy, khi nước đứng yên, để ít tiêu hao năng lượng nhất, cá phải bơi với vận tốc là 9 (km/h).
Cho hàm số (với
là tham số thực) thỏa mãn
. Mệnh đề nào sau đây đúng?
Ta có:
TH1: loại
TH2: khi đó
Suy ra đáp án cần tìm là .
Gọi giá trị lớn nhất và giá trị nhỏ nhất của hàm số trên đoạn
lần lượt là
và
. Tính giá trị của biểu thức
?
Ta có:
Tập hợp tất cả các giá trị thực của tham số để hàm số
đồng biến trên khoảng
là:
Tập xác định
Ta có:
Hàm số đồng biến trên khoảng
Xét hàm số trên khoảng
.
Ta có:
Ta có bảng biến thiên
Dựa vào bảng biến thiên ta có:
Vậy thỏa mãn yêu cầu bài toán.
Cho hàm số với
là tham số thực. Tìm tất cả các giá trị của
để hàm số có giá trị nhỏ nhất trên đoạn
bằng
Đạo hàm.
Suy ra hàm số đồng biến trên
Theo bài ra:
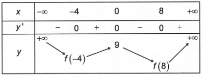
Cho hàm số y = f(x) liên tục trên và có bảng biến thiên như hình vẽ.

Biết f(-4) > f(8), khi đó giá trị nhỏ nhất của hàm số đã cho trên bằng:
Từ bảng biến thiên ta có:
Mặt khác f(-4) > f(8) => thì
Vậy
Tìm giá trị nhỏ nhất của hàm số trên khoảng (0; 1)
Hàm số xác định và liên tục trên (0; 1) ta có:
Lập bảng biến thiên:

Từ bảng biến thiên ta có:
Tìm GTLN, GTNN của hàm số lượng giác trên đoạn
Đặt
Vì
Ta có:
Một chất điểm chuyển động thẳng với quãng đường biến thiên theo thời gian bởi quy luật , trong đó
là khoảng thời gian tính từ lúc bắt đầu chuyển động. Vận tốc của chất điểm đó đạt giá trị bé nhất khi
bằng bao nhiêu?
Một chất điểm chuyển động thẳng với quãng đường biến thiên theo thời gian bởi quy luật
, trong đó
là khoảng thời gian tính từ lúc bắt đầu chuyển động. Vận tốc của chất điểm đó đạt giá trị bé nhất khi
bằng bao nhiêu?
Số các giá trị nguyên của tham số để hàm số
có giá trị nhỏ nhất trên đoạn
thuộc khoảng
là:
Xét hàm số trên
ta có:
Mà
Vậy có tất cả 6 giá trị nguyên của tham số m thỏa mãn yêu cầu.
Một chất điểm chuyển động với vận tốc được cho bởi công thức với
(giây) là khoảng thời gian tính từ khi chất điểm bắt đầu chuyển động. Hỏi tại thời điểm nào thì vận tốc của chất điểm là lớn nhất?
Ta có: với
.
(thỏa mãn).
Bảng biến thiên
Dựa vào bảng biến thiên, tại thời điểm giây thì vận tốc của chất điểm là lớn nhất.
Cho hàm số có bảng biến thiên của hàm số
như hình vẽ bên. Có bao nhiêu giá trị nguyên của tham số
để hàm số
đồng biến trên khoảng
?
Đáp án: 6
Cho hàm số
có bảng biến thiên của hàm số
như hình vẽ bên. Có bao nhiêu giá trị nguyên của tham số
để hàm số
đồng biến trên khoảng
?

Đáp án: 6
Để hàm số đồng biến trên khoảng
Đặt và
.
Ta có: .
Do đó, ta có: khi
.
Do đó, .
Từ ta có
.
Mà .
Vậy có tất cả 6 số nguyên thỏa mãn.
Giá trị nhỏ nhất của hàm số trên nửa khoảng
là:
Áp dụng bất đẳng thức Cô-si, ta được:
.
Dấu bằng xảy ra khi .
Giá trị lớn nhất của hàm số trên đoạn [-1;2] có giá trị là một số thuộc khoảng nào dưới đây?
Biết rằng hàm số đạt giá trị lớn nhất trên đoạn
tại
. Tính
Ta có:
Lập bảng biến thiên & dựa vào bảng biến thiên ta thấy hàm số đạt giá trị lớn nhất trên tại
Tìm giá trị lớn nhất của hàm số
Dễ thấy nên hàm số xác định trên toàn trục số.
Gọi m là một giá trị tùy ý của hàm số, khi đó phương trình
Ta xét hai trường hợp sau:
TH1: Nếu m = 2 phương trình trở thành
Vậy phương trình có nghiệm khi m = 2
TH2: Nếu khi đó phương trình bậc 2 có nghiệm khi và chỉ khi:
Một người nông dân có 15.000.000 đồng muốn làm một cái hàng rào hình chữ E dọc theo một con sông (như hình vẽ) để làm một khu đất có hai phần chữ nhật để trồng rau.

Đối với mặt hàng rào song song với bờ sông thì chi phí nguyên vật liệu là 60.000 đồng một mét, còn đối với ba mặt hàng rào song song nhau thì chi phí nguyên vật liệu là 50.000 đồng một mét. Tìm diện tích lớn nhất của đất rào thu được
Gọi là chiều dài 1 mặt hàng rào hình chữ E (trong ba mặt song song,
).
Gọi là chiều dài mặt hàng rào hình chữ E song song với bờ sông (
).
Số tiền phải làm là:.
Diện tích đất: .
Ta có: ;
Bảng biến thiên:

Vậy: khi
Cho hàm số với
là tham số thực. Tìm giá trị lớn nhất của
để hàm số có giá trị nhỏ nhất trên đoạn
bằng
Đạo hàm .
Suy ra hàm số đồng biến trên đoạn
Thao bài ra:
Suy ra giá trị lớn nhất là
Tìm tất cả các giá trị thực của tham số để giá trị nhỏ nhất của hàm số
trên
bằng
?
Ta có:
Xét
Mà và
Khi đó
Theo đề bài ra ta có:
Vậy đáp án cần tìm là .
Theo Nghị định 147/2024/ND-CP, bạn cần xác thực tài khoản trước khi sử dụng tính năng này. Chúng tôi sẽ gửi mã xác thực qua SMS hoặc Zalo tới số điện thoại mà bạn nhập dưới đây: