
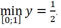
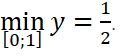
Giá trị nhỏ nhất của hàm số trên đoạn [0;1] là:
Trắc nghiệm Toán 12 Kết nối tri thức bài 2: Giá trị lớn nhất và giá trị nhỏ nhất của hàm số được VnDoc.com tổng hợp gồm có 10 câu hỏi trắc nghiệm Toán 12 Kết nối tri thức. Bộ câu hỏi được phân theo các dạng câu hỏi Nhận biết, Thông hiểu, Vận dụng và Vận dụng cao giúp các bạn ôn tập và củng cố nội dung kiến thức bài học. Các câu hỏi được để dưới dạng trắc nghiệm trực tuyến cho các bạn trực tiếp làm bài, so sánh đối chiếu và kiểm tra kết quả ngay khi làm xong. Mời các bạn luyện tập.
Bạn đã HẾT lượt làm bài tập miễn phí! Hãy mua tài khoản VnDoc PRO để làm Trắc nghiệm không giới hạn và tải tài liệu nhanh nhé!
Điểm khả dụng: 0 điểm
Bạn sẽ dùng 50 điểm để đổi lấy 1 lượt làm bài.
Bạn không đủ điểm để đổi.

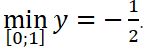
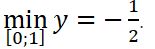
Giá trị nhỏ nhất của hàm số trên đoạn [0;1] là:
Xét hàm số trên đoạn [0;1]. Khẳng định nào sau đây đúng?

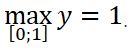
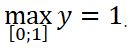
Giá trị lớn nhất của hàm số trên đoạn [0;1] là:
Xét hàm số trên đoạn [-1;1]. Mệnh đề nào sau đây đúng?
Giá trị lớn nhất của hàm số trên đoạn [-1;2] có giá trị là một số thuộc khoảng nào dưới đây?
Xét hàm số . Gọi M,m là giá trị lớn nhất và giá trị nhỏ nhất của hàm số trên đoạn [0;2]. Có bao nhiêu số nguyên a thuộc [-4;4] sao cho M
2m?
Có bao nhiêu giá trị cực thực của tham số m để giá trị lớn nhất của hàm số trên đoạn [-2;1] bằng 5?
Gọi M, m lần lượt là giá trị lớn nhất và giá trị nhỏ nhất của hàm số trên đoạn [2,4]. Khi đó M + m bằng:

Giá trị nhỏ nhất của hàm số trên đoạn [0;2] là:
Điểm khả dụng: 0 điểm
Bạn sẽ dùng 50 điểm để đổi lấy 1 lượt làm bài.
Bạn không đủ điểm để đổi.
Đang tải...
Theo Nghị định 147/2024/ND-CP, bạn cần xác thực tài khoản trước khi sử dụng tính năng này. Chúng tôi sẽ gửi mã xác thực qua SMS hoặc Zalo tới số điện thoại mà bạn nhập dưới đây: