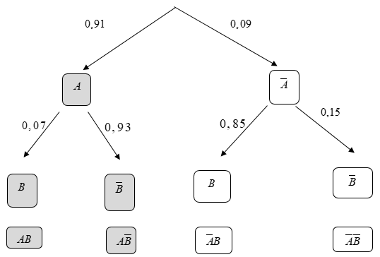
Một học sinh làm 2 bài tập kế tiếp. Xác suất làm đúng bài thứ nhất là . Nếu làm đúng bài thứ nhất thì khả năng làm đúng bài thứ hai là
. Nhưng nếu làm sai bài thứ nhất thì khả năng làm đúng bài thứ hai là
. Tính xác suất học sinh đó làm đúng cả hai bài?
Gọi A: “Làm đúng bài thứ nhất”.
Và B: “Làm đúng bài thứ hai”
Khi đó biến cố: “làm đúng cả hai bài” là
Theo bài ta có:
Do đó:
Ta có sơ đồ hình cây như sau:
Vậy

