Giải bài tập trang 32 SGK Hóa học lớp 8: Tính chất của oxi



Giải bài tập Hóa học lớp 8 bài 24: Tính chất của oxi
Giải bài tập trang 32 SGK Hóa học lớp 8: Tính chất của oxi với lời giải chi tiết, rõ ràng theo khung chương trình sách giáo khoa Hóa học lớp 8, các bài giải tương ứng với từng bài học trong sách giúp cho các bạn học sinh ôn tập và củng cố các dạng bài tập, rèn luyện kỹ năng giải môn Hóa.
- Giải bài tập trang 79 SGK Hóa lớp 8: Bài luyện tập 4 - Mol và tính hóa học
- Giải bài tập trang 84 SGK Hóa lớp 8: Tính chất của oxi
Bài 24: Tính chất của oxi
Bài 24.1 trang 32 sách bài tập Hóa 8: Phát biểu nào sau đây đúng?
A. Oxi là chất khí tan ít trong nước và nhẹ hơn không khí.
B. Oxi là chất khí tan vô hạn trong nước và nặng hơn không khí.
C. Khí oxi dễ dàng tác dụng được với nhiều đơn chất (kim loại, phi kim) và hợp chất.
D. Ở nhiệt độ cao, khí oxi dễ dàng tác dụng được với nhiều đơn chất (kim loại, phi kim) và hợp chất.
Lời giải:
Chọn D.
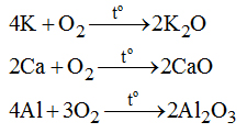
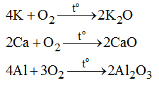
Bài 24.2 trang 32 sách bài tập Hóa 8: Viết phương trình hóa học của phản ứng giữa O2 với:
a) 3 kim loại hóa trị I, II, III.
b) 3 phi kim, thí dụ như C, S, P,…
c) 3 hợp chất, thí dụ như:
• Khí ga (butan C4H10) sinh ra khí cacbonic và nước.
• Khí ammoniac (NH3) sinh ra khí nito và nước.
• Khí hidro sunfua (H2S) sinh ra khí sunfuaro và nước.
Lời giải:
Phương trình hóa học của phản ứng giữa O2 với:
a) Ba kim loại:

b) Ba phi kim:

c) Ba hợp chất:

Bài 24.3 trang 32 sách bài tập Hóa 8: Oxi trong không khí là đơn chất hay hợp chất? Vì sao cá sống được trong nước? Những lĩnh vực hoạt nào của con người cần thiết phải dùng bình nén oxi để hô hấp?
Lời giải:
- Oxi trong không khí là đơn chất.
- Cá sống được trong nước vì trong nước có hòa tan khí oxi.
- Những lĩnh vực hoạt động của của con người cần dùng bình nén oxi để hô hấp: Thợ lặn, phi công vũ trụ, bệnh nhân khó thở,…
Bài 24.4 trang 32 sách bài tập Hóa 8: Trong 3 bình giống hệt nhau và có chứa thể tích oxi như nhau. Đồng thời ta cho vào 3 bình: Bình 1 một cục than đang cháy, bình 2 hai cục than đang cháy, bình 3 ba cục than đang cháy (các cục than có kích thước như nhau).

Em hãy nhận xét về hiện tượng xảy ra trong phòng thí nghiệm?
Lời giải:
Trong ba hình trên thì cục than ở bình 1 cháy lâu hơn cục than ở bình 2 và cục than ở bình 2 cháy lâu hơn ở bình 3.
Vì lượng oxi trong 3 bình là như nhau.
Bài 24.5 trang 33 sách bài tập Hóa 8: Người và động vật trong quá trình hô hấp hấp thụ O2, thở ra khí CO2. Nguyên liệu xăng, dầu trong quá trình đốt cháy cũng cần O2 và thải CO2. Như vậy lượng O2 phải mất dần, nhưng trong thực tế hàng nghìn năm nay, tỉ lệ về thể tích của oxi trong không khí luôn luôn xấp xỉ bằng 20%. Hãy giải thích.
Lời giải:
Lượng oxi không mất dần do sự quang hợp của cây xanh đã hấp thụ khí CO2 và tạo ra lượng oxi rất lớn. Do đó tỉ lệ oxi trong khôg khí (tính theo thể tích) luôn luôn xấp xỉ bằng 20%.
Mời các bạn tham khảo tài liệu liên quan