100 câu trắc nghiệm Đại cương về kim loại có lời giải chi tiết (Nâng cao - phần 2)
Câu hỏi trắc nghiệm Đại cương về kim loại có đáp án
Chuyên đề Hóa học 12 100 câu trắc nghiệm Đại cương về kim loại có lời giải chi tiết (Nâng cao - phần 2). Chắc chắn tài liệu sẽ giúp các bạn học sinh giải bài tập Hóa học lớp 12 hiệu quả hơn. Mời các bạn tham khảo.
Câu 41: Cho dãy các kim loại: Na, Ba, Al, K, Mg. Số kim loại trong dãy phản ứng với lượng dư dung dịch FeCl3 thu được kết tủa là
A. 3
B. 4
C. 2
D. 5
Các kim loại Na, Ba, K khi tác dụng với dd FeCl3 sẽ tác dụng với H2O trước tạo ra dung dịch bazơ.
Các dung dịch bazơ tsac dụng mới FeCl3 tạo kết tủa Fe(OH)3
→ Đáp án A
Câu 42: Điện phân dung dịch AgNO3 trong thời gian 15 phút, cường độ dòng điện 5 Ampe. Khối lượng Ag thu được ở catot là:
A. 6,037 gam
B. 5,036 gam
C. 7,001 gam
D. 5,531 gam
Theo định luật II của Pha - ra - đây thì khối lượng Ag sinh ra ở catot là:
→ Đáp án B
Câu 43: Điện phân dung dịch CuCl2, điện cực trơ bằng dòng điện 5A trong 45 phút 20 giây. Khối lượng kim loại sinh ra trên catot và thể tích khí sinh ra ở anot (ở đktc) lần lượt bằng:
A. 4,512 g và 3,1584 lít
B. 4,512 g và 1,5792 lít
C. 2,256 g và 3,1584 lít
D. 2,256 g và 1,5792 lít
PT điện phân: CuCl2 -đp dung dịch→ Cu + Cl2↑
Áp dụng công thức có:
mCu = (64×5×2720)/(2×96500) = 4,512 g → nCl2 = nCu = 4,512/64 = 0,0705 mol
VCl2 = 0,0705 × 22,4 = 1,5792 lít
→ Đáp án B
Câu 44: Điện phân dung dịch NaCl cho đến khi hết muối với dòng điện 1,61A thấy hết 60 phút. Tính khối lượng khí thoát ra, biết rằng điện cực trơ, màng ngăn xốp.
A. 2,13 gam.
B. 0,06 gam.
C. 2,19 gam.
D. 2,22 gam.
Theo phương trình: 2NaCl + 2H2O ⟶ 2NaOH + H2 + Cl2
Khối lượng Hyđro bằng:
Khối lượng Clo bằng:
Tổng khối lượng khí thoát ra bằng 0,06 + 2,1322 ≈ 2,19 (g).
→ Đáp án C
Câu 45: Điện phân dung dịch CuSO4 bằng điện cực trơ với dòng điện có cường độ I = 0,5A trong thời gian 1930 giây thì khối lượng đồng và thể tích khí O2 sinh ra là:
A. 0, 15g và 0,112 lít
B. 0, 32g và 0, 056 lít
C. 0, 32g và 0, 168 lít
D. 1, 28g và 0, 224 lít
Theo định luật II của Pha - ra - đây thì:
+ Khối lượng Cu sinh ra ở catot là:
+ Khối lượng O2 sinh ra là:
Thể tích khí bằng: 22,4.(0,08/32) = 0,056 (l).
→ Đáp án B
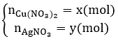
Câu 46: Điện phân hoàn toàn 200 ml một dung dịch chứa 2 muối là Cu(NO3)2 và AgNO3 với I = 0,804A, thời gian điện phân là 2 giờ, người ta nhận thấy khối lượng cực âm tăng thêm 3,44 g. Nồng độ mol của mỗi muối trong dung dịch ban đầu lần lượt là:
A. 0,1M và 0,2M
B. 0,1M và 0,1M
C. 0,1M và 0,15M
D. 0,15M và 0,2M
Số mol e trao đổi bằng:
Đặt 

Khối lượng cực âm tăng thêm chính là tổng khối lượng Ag và Cu nên có hệ:
Nồng độ mol của mỗi muối trong dung dịch ban đầu lần lượt là:
CM(Cu(NO3)2 = 0,02: (200/1000) = 0,1 (M);
CM(AgNO3) = 0,02: (200/1000) = 0,1 (M)
→ Đáp án B
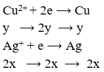
Câu 47: Điện phân dung dịch hỗn hợp chứa Ag2SO4 và CuSO4 một thời gian thấy khối lượng catot tăng lên 4,96g và khí thoát ra ở anot có thể tích là 0,336 lít (đktc). Khối lượng kim loại bám ở catot lần lượt là:
A. 4,32g và 0,64g
B. 3,32g và 0,64g
C. 3,32g và 0,84
D. 4,32 và 1,64
Số mol khí thoát ra bằng 0,336/22,4 = 0,015 (mol) nên số mol e trao đổi bằng 0,015.4 = 0,06 (mol)
Đặt ![]()

Khối lượng catot tăng thêm chính là tổng khối lượng Ag và Cu nên có hệ:
Khối lượng kim loại bám ở catot lần lượt là: 0,02.2.108 = 4,32 (g) và 0,01.64 = 0,64 (g).
→ Đáp án A
Câu 48: Điện phân một dung dịch muối MCln với điện cực trơ. Khi ở catot thu được 16g kim loại M thì ở anot thu được 5,6 lít khí (đktc). Kim loại M là:
A. Mg
B. Fe
C. Cu
D. Ca
Khí thu được chính là Clo với số mol bằng: 5,6/22,4 = 0,25 (mol)

Theo bảo toàn e ta có: (16/M). n = 0,5 ⇒ M = 32n. Chỉ có n = 2, M = 64 thoả mãn. M là Cu.
→ Đáp án C
Câu 49: Có 400ml dung dịch chứa HCl và KCl đem điện phân trong bình điện phân có vách ngăn với cường độ dòng điện 9,65A trong 20 phút thì dung dịch chứa một chất tan có pH = 13 (coi thể tích dung dịch không đổi). Nồng độ mol/lit của HCl và KCl trong dung dịch ban đầu lần lượt bằng:
A. 0,2M và 0,2M
B. 0,1M và 0,2M
C. 0,2M và 0,1M
D. 0,1M và 0,1M
Dung dịch chứa một chất tan có pH = 13, tức là có tính kiềm.
Theo định luật bảo toàn nguyên tố đối với K thì:
Số mol H2 do KCl sinh ra bằng: 0,04:2 = 0,02 (mol)
⇒ Số mol H2 do HCl sinh ra bằng: 0,06 - 0,02 = 0,04 (mol)
⇒ nHCl = 0,04.2 = 0,08 (mol).
Nồng độ mol/lit của HCl và KCl trong dung dịch ban đầu lần lượt bằng:
CM (HCl) = 0,08: (400/1000) = 0,2 M và CM (KCl) = 0,04: (400/1000) = 0,1 M
→ Đáp án C
Câu 50: Điện phân 100ml dung dịch A chứa Cu2+, Na+; H+; SO42- có pH = 1, điện cực trơ. Sau một thời gian điện phân, rút điện cực ra khỏi dung dịch, thấy khối lượng dung dịch giảm 0,64 gam và dung dịch có màu xanh nhạt, thể tích dung dịch không đổi. Tính nồng độ H+ có trong dung dịch sau khi điện phân.
A. 0,2 M.
B. 0,1 M.
C. 0,16 M.
D. 0,26 M.
Dung dịch sau có màu xanh nhạt nghĩa là vẫn còn ít ion đồng → H+ chưa bị điện phân.
Gọi số mol Cu2+ điện phân là a (mol) còn số mol O2 tạo ra ở anot là b (mol).
Bảo toàn e suy ra: a = 2b
Khối lượng dung dịch giảm gồm khối lượng Cu và khối lượng khí oxi sinh ra nên:
64a + 32b = 0,64
Từ hai phương trình trên suy ra: b = 0,004 (mol); a =0,008 (mol).
nH+ lúc sau = nH+ ban đầu + nH+ tạo ra = 0,01 + 0,016 = 0,026 (mol)
⇒ CM = 0,0026:(100/1000) = 0,26M
→ Đáp án D
Câu 51: Điện phân dung dịch chứa a mol CuSO4 và b mol NaCl (với điện cực trơ, có màng ngăn xốp). Để dung dịch sau điện phân làm phenolphtalein chuyển sang màu hồng thì điều kiện của a và b là (biết ion SO42- không bị điện phân trong dung dịch)
A. b > 2a
B. b = 2a
C. b < 2a
D. 2b = a
Hướng dẫn:
Tại catot: Cu2+: a mol; Na+: b mol;
Cu2+ (a) + 2e (2a) → Cu
Hết Cu2+: 2H2O + 2e → 2OH- + H2
Tại anot: Cl-: b mol; SO2−4: a mol; H2O
2Cl- (b) → Cl2 + 2e (b)
Hết Cl-: 2H2O − 4e → 4H+ + O2
Vì dung dịch sau điện phân làm phenolphtalein chuyển sang màu hồng chứng tỏ ở catot Cu2+ hết trước Cl- ở anot, còn ở anot Cl- vẫn điện phân ⇒ 2a < b
→ Đáp án A
Câu 52: Mắc nối tiếp hai bình điện phân: bình (1) chứa dung dịch MCl2 và bình (2) chứa dung dịch AgNO3. Sau 3 phút 13 giây thì ở catot bình (1) thu được 1,6 gam kim loại còn ở catot bình (2) thu được 5,4 gam kim loại. Cả hai bình đều không thấy khí ở catot thoát ra. Kim loại M là:
A. Zn
B. Cu
C. Ni
D. Pb
Do hai bình mắc nối tiếp điện tích qua chúng không đổi, dẫn tới số mol e trao đổi của chúng bằng nhau:
→ Đáp án B
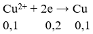
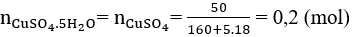
Câu 53: Hòa tan 50 gam tinh thể CuSO4.5H2O vào 200 ml dung dịch HCl 0,6 M thu được dung dịch X. Đem điện phân dung dịch X (các điện cực trơ) với cường độ dòng điện 1,34A trong 4 giờ. Khối lượng kim loại thoát ra ở catot và thể tích khí thoát ra ở anot (ở đktc) lần lượt là (Biết hiệu suất điện phân là 100 %):
A. 6,4 gam và 1,792 lít
C. 6,4 gam và 2,016 lít
B. 10,8 gam và 1,344 lít
D. 9,6 gam và 1,792 lít
Ta có:
![]()
![]()
Ta có ![]()
Thứ tự điện phân tại catot và anot là:
Tại catot:

⇒ Cu2+ chưa bị điện phân hết.
⇒ mkim loại ở catot = 0,1.64 = 6,4 (gam)
Tại anot:

⇒ ne (do Cl- nhường) = 0,12 < 0,2 mol
⇒ tại anot Cl- đã bị điện phân hết và đến nước bị điện phân.
Ta có: ne (do H2O nhường) = 0,2 - 0,12 = 0,08 (mol)

Vkhí thoát ra ở anot = (0,06 + 0,02).22,4 = 1,792 (lít).
→ Đáp án A
Câu 54: Điện phân dung dịch Cu(NO3)2 với cường độ dòng điện 9,65A đến khi bắt đầu có khí thoát ra ở catot thì dừng lại. thời gian điện phân là 40 phút. Khối lượng Cu sinh ra ở catot là:
A. 7,68g
B. 8,67g
C. 6,4g
D. 3,2g
Theo định luật II của Pha - ra - đây thì khối lượng Cu sinh ra ở catot là:
→ Đáp án A
Câu 55: Điện phân dung dịch gồm 7,45 gam KCl và 28,2 gam Cu(NO3)2 (điện cực trơ, màng ngăn xốp) đến khi khối lượng dung dịch giảm đi 10,75 gam thì ngừng điện phân (giả thiết lượng nước bay hơi không đáng kể). Tất cả các chất tan trong dung dịch sau điện phân là
A. KNO3, HNO3 và Cu(NO3)2.
B. KNO3, KCl và KOH.
C. KNO3 và Cu(NO3)2.
D. KNO3 và KOH.
nKCl = 0,1 mol, nCu(NO3)2 = 0,15 mol
mdung dịch giảm = 0,05.2 + 0,05 .71 = 3.65 g < 10,75 g
⇒ Cu(NO3)2 tiếp tục bị điện phân:

mdung dịch giảm = 10,75 - 3.65 = 7,1 = 64.x + 32.0,5x ⇒ x = 0,08875 (mol)
Nhận thấy: nHNO3 = 2x = 0,1775 mol, nKOH = 0,1 mol, nCu(NO3)2 dư = 0,06125 (mol).
→ Đáp án A
Câu 56: Điện phân dung dịch hỗn hợp chứa 18,8g Cu(NO3)2 và 29,8g KCl điện cực trơ có màng ngăn. Sau một thời gian thấy khối lượng dung dịch giảm 17,15g so với ban đầu, thể tích dung dịch là 400ml. Nồng độ mol lớn nhất của các chất sau điện phân là giá trị nào dưới đây?
A. 1,00 M.
B. 2,00 M
C. 0,25 M
D. 0,50 M
Ta tính được: nKCl = 0,4 mol, nCu(NO3)2 = 0,1 mol
Coi hỗn hợp ban đầu gồm 0,1 mol CuCl2, 0,2 mol KCl và 0,2 mol KNO3.
Điện phân: ![]()
⇒ mgiảm = 0,1.64 + 0,1.71 = 13,5 (g)

⇒ 0,5x.2 + 0,5x.71 = 17,15 - 13,5 ⇒ x = 0,1 mol
Vậy sau phản ứng có 0,1 mol KCl, 0,1 mol KOH, 0,2 mol KNO3
⇒ sau pư có HNO3, Cu(NO3)2 dư, KNO3.
Nồng độ mol lớn nhất của các chất sau điện phân chính là nồng độ của KNO3, bằng: 0,2:(400/1000) = 0,5 (M).
→ Đáp án D
Câu 57: Điện phân dung dịch A chứa 0,4 mol M(NO3)2 và 1 mol NaNO3 với điện cực trơ trong thời gian 48 phút 15 giây thì thu được 11,52 gam kim loại M bên catot. Cho các phát biểu sau:
1. M là Cu.
2. Cường độ dòng điện đã dùng bằng 10 (A).
3. Thời gian điện phân dung dịch mất hết M2+ với cường độ dòng điện 12 (A) là là 48 phút 15 giây.
Trong các phát biểu trên, số phát biểu đúng là?
A. 0
B. 1
C. 2
D. 3
catot(-) ← M(NO3)2 (dung dịch); NaNO3(dung dịch) → anot(+)
Phương trình điện phân:

⇒ M = 11,52/0,18 = 64 đ.v.c ⇒ M là Cu
Theo định luật Faraday mCu = (64/2). [(I.2895)/96500] = 11,52 ⇒ I = 12A
Điện phân hết 0,18 mol Cu2+ tạo ra 0,18 mol Cu cần t1 = 2895s
Vậy điện phân hết 0,4 mol Cu2+ tạo ra 0,4 mol Cu cần t2 = (0,4.2895)/0,18 = 6433
Vậy chỉ có phát biểu đầu tiên đúng.
→ Đáp án B
Câu 58: Hòa tan hoàn toàn 13,00 gam Zn trong dung dịch HNO3 loãng dư thu được dung dịch X và 0,448 lít khí N2 (đktc). Khối lượng muối trong dung dịch X là:
A. 18,90 gam
B. 37,80 gam
C. 39,80 gam
D. 28,35 gam
Ta có: nZn = 13/65 = 0,2 mol và nN2 = 0,448/22,4 = 0,02 mol
ne nhường = 2.nZn = 0,4 mol > ne nhận = 10.nN2 = 0,2 mol → phản ứng tạo thành NH4NO3.
nNH4NO3 = (0,4 - 0,2)/8 = 0,025 mol (vì khi tạo thành NH4N+O3: N + 8-3e → N)
Khối lượng muối trong dung dịch X là: 180.0,2 + 80.0,025 = 39,80 gam
Lưu ý: Đề bài không nói thu được khí X duy nhất nên có thể có muối NH4NO3 tạo thành.
→ Đáp án B
Câu 59: Hòa tan 50 gam tinh thể CuSO4.5H2O vào 200 ml dung dịch HCl 0,6 M thu được dung dịch X. Đem điện phân dung dịch X (các điện cực trơ) với cường độ dòng điện 1,34A trong 4 giờ. Khối lượng kim loại thoát ra ở catot và thể tích khí thoát ra ở anot (ở đktc) lần lượt là (Biết hiệu suất điện phân là 100 %):
A. 6,4 gam và 1,792 lít
C. 6,4 gam và 2,016 lít
B. 10,8 gam và 1,344 lít
D. 9,6 gam và 1,792 lít
Ta có: ![]()
![]()
Ta có ![]()
Thứ tự điện phân tại catot và anot là:
Tại catot: 
⇒ Cu2+ chưa bị điện phân hết.
⇒ mkim loại ở catot = 0,1.64 = 6,4 (gam)
Tại anot: 
⇒ ne (do Cl- nhường) = 0,12 < 0,2 mol
⇒ tại anot Cl- đã bị điện phân hết và đến nước bị điện phân.
Ta có: ne (do H2O nhường) = 0,2 - 0,12 = 0,08 (mol)

Vkhí thoát ra ở anot = (0,06 + 0,02).22,4 = 1,792 (lít).
→ Đáp án A
Câu 60: Ngâm 1 lá Zn vào dung dịch HCl thấy bọt khí thoát ra ít và chậm. Nếu nhỏ thêm vào vài giọt dung dịch X thì thấy bọt khí thoát ra rất mạnh và nhanh. Chất tan trong dung dịch X là
A. NaOH
B. H2SO4
C. FeSO4
D. MgSO4
Khi cho dung dịch FeSO4 vào trong hỗn hợp Zn và HCl thì xảy ra thêm phản ứng
Zn + Fe2+ → Fe + Zn2+
Phản ứng này tạo ra lớp sắt bám trên bề mặt kẽm làm xảy ra hiện tượng ăn mòn điện hóa và vì vậy khiến kẽm bị ăn mòn mạnh hơn.
→ Đáp án C
Câu 61: Trong quá trình điện phân dung dịch CuSO4 có điện cực bằng Cu, nhận thấy:
A. Nồng độ Cu2+ trong dung dịch không đổi.
B. nồng độ Cu2+ giảm dần
C. Chỉ nồng độ SO42- thay đổi
D. nồng độ Cu2+ tăng dần
Trong quá trình điện phân xảy ra sự ăn mòn Cu ở anot và sự tái tạo Cu ở catot với tốc độ bằng nhau nên nồng độ Cu2+ trong dung dịch không đổi.
→ Đáp án A
Câu 62: Khử 16 gam hỗn hợp các oxit kim loại: FeO, Fe2O3, Fe3O4, CuO và PbO bằng khí CO ở nhiệt độ cao, khối lượng chất rắn thu được là 11,2 gam. Tính thể tích khí CO đã tham gia phản ứng (đktc)?
A. 5,6 lit
B. 6,72 lit
C. 13,44 lit
D. 2,24 lit
Áp dung ĐLBT khối lượng:
nCO2 = nNO = x mol
moxit + mCO = mchất rắn + mCO2
28x - 44x = 11,2 - 16 ⇒ x = 0,3.
Vậy VCO = 0,3.22,4 = 6,72 lit
→ Đáp án B
Câu 63: Hoà tan hoàn toàn 20,0 gam một oxit kim loại bằng dung dịch H2SO4 loãng thu được 50,0 gam muối. Khử hoàn toàn lượng oxit đó thành kim loại ở nhiệt độ cao cần V lít khí CO (đktc). Giá trị của V là:
A. 2,80 lít.
B. 5,60 lít.
C. 6,72 lít.
D. 8,40 lít.
Gọi công thức của oxit kim loại là M2On.
Ta có:
M2On → M2(SO4)n
O → SO42-
1 mol → mtăng = 96 -16 = 80 gam
x mol → mtăng = 80x = 50 - 20 = 30 gam
→ x = nO/oxit = 30/80 = 0,375 mol
Khi khử oxit bằng CO ta có: nO/oxit = nCO = 0,375 mol
→ VCO = 0,375.22,4 = 8,4 lit
→ Đáp án D
Câu 64: Khử 3,48 g một oxit của kim loại M cần dùng 1,344 lít H2(đktc). Toàn bộ lượng kim loại M sinh ra cho tác dụng với dung dịch HCl dư thu được 1,008 lít H2 (đktc). Công thức oxit là:
A. Fe3O4.
B. Fe2O3.
C. FeO.
D. ZnO.
Ta có: nO/oxit = nH2 = 1,344 : 22,4 = 0,06 mol
→ mO/oxit = 0,06.16 = 0,96 gam
→ mM = moxit - mO/oxit = 3,48 - 0,96 = 2,52 gam
Gọi hóa trị của M là n.
PTPƯ: 

| n | 1 | 2 | 3 |
| M | 28 | 56 | 84 |
| Loại | Fe (TM) | Loại |
Vậy M là Fe.
→ nFe = 2,52 : 56 = 0,045
Vậy oxit Fe là Fe3O4.
→ Đáp án A
Câu 65: Hỗn hợp A dạng bột gồm Fe2O3 và Al2O3. Cho khí H2 dư tác dụng hoàn toàn với 14,2 gam hỗn hợp A nung nóng, thu được hỗn hợp chất rắn B. Hòa tan hết hỗn hợp B bằng dung dịch HCl thì thấy thoát ra 2,24(l) khí hiđro ở điều kiện tiêu chuẩn. Phần trăm khối lượng mỗi chất trong hỗn hợp A là:
A. 60% Fe2O3; 40% Al2O3
B. 52,48% Fe2O3; 47,52% Al2O3.
C. 40% Fe2O3; 60% Al2O3
D. 56,34% Fe2O3; 43,66% Al2O3
Do H2 chỉ khử được Fe2O3 thành Fe nên B gồm Fe và Al2O3, chỉ có Fe tạo H2.
Ta có nFe = nH2 = 2,24/22,4 = 0,1 (mol)
⇒ nFe2O3 = 0,05 (mol) ⇒ mFe2O3 = 0,05. 160 = 8 (g).
⇒%m Fe2O3 = (8/14,2).100% = 56,34 (%).
⇒ %mAl2O3 = 100% - 56,34 = 43,66%
→ Đáp án D
Câu 66: Thổi từ từ V lít hỗn hợp khí (đktc) gồm CO và H2 đi qua ống đựng 16,8 gam hỗn hợp 3 oxit CuO, Fe3O4, Al2O3 nung nóng, phản ứng hoàn toàn. Sau phản ứng thu được m gam chất rắn và một hỗn hợp khí nặng hơn khối lượng của hỗn hợp V là 0,32 gam. Tính V và m
A. 0,224 lít và 14,48 gam
B. 0,672 lít và 18,46 gam
C. 0,112 lít và 12,28 gam
D. 0,448 lít và 16,48 gam
Ta có: mO = 0,32 (g) → nO = 0,32/16 = 0,02 (mol) nên số mol của hỗn hợp CO, H2 cũng bằng 0,02 (mol)
⇒ V = 0,02. 22,4 = 0,448 (l).
Theo định luật bảo toàn khối lượng: m = 16,8 - 0,02.16 = 16,48 (g).
→ Đáp án D
Câu 67: Dẫn khí CO dư qua ống đựng bột một oxit sắt (FexOy) ở nhiệt độ cao. Sau khi phản ứng kết thúc thu được 0,84 gam sắt và dẫn khí sinh ra vào nước vôi trong dư thì thu được 2 gam kết tủa. Xác định công thức phân tử của FexOy.
A. FeO
B. Fe2O3
C. Fe3O4
D. Cả 3 đáp án đều sai
nCaCO3 = 2/100 = 0,02 mol; nFe = 0,84/56 = 0,015 mol
Phản ứng: 
Ta có nFe = 0,02x : y = 0,015 ⇒ 0,015 : 0,02 = 3 : 4
Vậy CTPT của oxit là Fe3O4
→ Đáp án C
Câu 68: Hòa tan 46g hỗn hợp gồm Ba và 2 kim loại kiềm A, B thuộc 2 chu kì liên tiếp vào nước thu được dd D và 11,2 lít khí (đktc). Nếu thêm 0,18 mol Na2SO4 vào dd D thì sau phản ứng vẫn còn dư ion Ba2+. Nếu thêm 0,21 mol Na2SO4 vào dd D thì sau phản ứng còn dư Na2SO4. Vậy 2 kim loại kiềm là?
A. Li và Na
B. Na và K
C. K và Rb
D. Rb và Cs
Gọi CTTB của 2 kim loại kiềm hóa trị I là M.
Đặt số mol của Ba và M lần lượt là a và b mol.
Ta có: mBa + mM = 46 → 137.a + M.b = 46 → M = (46 - 137a)/b (∗)
PTPU: 
![]()
Thế (∗∗) vào (∗) ta được: ![]()

Theo giả thiết ta có: 0,18 < a < 0,21
→ 29,7 < M < 33,3
→ A và B là Na và K.
→ Đáp án B
Câu 69: Cho 200 ml dung dịch AlCl3 1,5M tác dụng với V lít dung dịch NaOH 0,5M, thu được 15,6 gam kết tủa. Giá trị lớn nhất của V là
A. 1,2.
B. 1,8.
C. 2,0.
D. 2,4.
nAlCl3 = 1,5.0,2 = 0,3 mol;
Thấy nAl(OH)3 < nAlCl3 → Để lượng dd NaOH dùng tối đa thì kết tủa tạo ra tối đa, sau đó bị tan mất một phần.

Vì nAl(OH)3 = 0,2 mol nên có 0,1 mol Al(OH)3 bị tan mất.
→ nNaOH = nOH- = 0,9 + 0,1 = 1 mol
→ VNaOH max = 1 : 0,5 = 2 lit.
→ Đáp án C
Câu 70: Cho V lít dung dịch NaOH 2M vào dung dịch chứa 0,1 mol Al2(SO4)3 và 0,1 mol H2SO4 đến khi phản ứng hoàn toàn thu được 7,8 gam kết tủa. Giá trị lớn nhất của V để thu được lượng kết tủa trên là
A. 0,45.
B. 0,35.
C. 0,25.
D. 0,15.
nAl(OH)3 = 7,8/78 = 0,1 mol
Để NaOH phản ứng nhiều nhất thu được 0,1 mol kết tủa Al(OH)3 thì Al2(SO4)3 phải phản ứng hết tạo kết tủa tối đa, sau đó kết tủa tan một phần sao cho lượng kết tủa cuối cùng thu được bằng 0,1 mol

Từ (1), (2) và (3) ta có:
nNaOH pư = 0,6 + 0,1 + 0,2 = 0,9 mol
→ Vdd NaOH = 0,9 : 2 = 0,45 M
→ Đáp án A
Mời các bạn tham khảo thêm các bài viết dưới đây của chúng tôi:
- Phương pháp giải các bài toán về kim loại
- Kim loại tác dụng với dung dịch axit
- Kim loại tác dụng với dung dịch muối
- 80 câu trắc nghiệm Đại cương về kim loại có lời giải chi tiết (Cơ bản - phần 1)
- 80 câu trắc nghiệm Đại cương về kim loại có lời giải chi tiết (Cơ bản - phần 2)
- 100 câu trắc nghiệm Đại cương về kim loại có lời giải chi tiết (Nâng cao - phần 1)
Trên đây VnDoc đã giới thiệu tới các bạn 100 câu trắc nghiệm Đại cương về kim loại có lời giải chi tiết (Nâng cao - phần 2). Để có kết quả cao hơn trong học tập, VnDoc xin giới thiệu tới các bạn học sinh tài liệu Giải bài tập Toán lớp 12, Giải bài tập Hóa học lớp 12, Giải bài tập Vật Lí 12, Tài liệu học tập lớp 12 mà VnDoc tổng hợp và đăng tải.