Sắt tác dụng với axit HNO3 và H2SO4 đặc nóng
Chuyên đề Hóa học 12 Sắt tác dụng với axit HNO3 và H2SO4 đặc nóng. Nội dung tài liệu sẽ giúp các bạn học sinh giải bài tập Hóa học lớp 12 hiệu quả hơn. Mời các bạn tham khảo.
Hóa học 12: Sắt tác dụng với axit HNO3 và H2SO4 đặc nóng
1. Phương pháp và ví dụ sắt tác dụng với axit HNO3 và H2SO4 đặc nóng
Lý thuyết và Phương pháp giải
Khi cho Fe tác dụng với HNO3, H2SO4 đặc nóng, trình tự phản ứng xảy ra:
Fe + 4HNO3 → Fe(NO3)3 + NO + 2H2O (1)
Nếu Fe dư thì tiếp tục xảy ra phản ứng:
Fe + 2Fe(NO3)3 → 3Fe(NO3)2
⇒ Khi cho Fe vào dung dịch HNO3, H2SO4 đặc nóng, nếu sau phản ứng Fe dư thì muối sinh ra là muối Fe2+.
* Lưu ý: Khi cho Fe và hỗn hợp kim loại, trong đó có Fe tác dụng hết với dung dịch HNO3 thì:
mmuối nitrar = mKl + 62.ne nhận
Ví dụ minh họa
Bài 1: Cho m(g) Fe vào dung dịch chứa 1,38 mol HNO3, đun nóng đến kết thúc phản ứng còn 0,75m (g) chất rắn không tan và có 0,38 mol hỗn hợp khí NO, NO2 thoát ra ở (dktc). Giá trị của m là:
A. 70
B. 56
C. 84
D. 112
Hướng dẫn:
Sau phản ứng Fe dư nên chỉ tạo muồi Fe(NO3)2.
Fe + 4HNO3 → Fe(NO3)3 + NO + 2H2O
Fe + 2Fe(NO3)3 → 3Fe(NO3)2
Áp dụng sự bảo toàn khối lượng (số mol) N ta có:
nN(trong HNO3) = nN trong Fe(NO3)2 + nN trong NO,NO2
Hay: 1,28 = 2. nFe(NO3)2 + 0,38
nFe(NO3)2 = 0,5 mol = nFe phản ứng
Vậy: mFe = 0,5.56 = m - 0,75m ⇒ m = 112 (g)
Bài 2: Cho 6,72 gam Fe vào axit đặc chứa 0,3 mol H2SO4, đun nóng (giả sử SO2 là sản phẩm khử duy nhất). sau khi phản ứng xảy ra hoàn toàn thu được những sản phẩm nào?
Hướng dẫn:
Ta có nFe = 6,72/56 = 0,12(mol)

⇒ nFedu = 0,12 - 0,1 = 0,02(mol) nên tiếp tục khử Fe2(SO4)3

⇒ nFe2(SO4)3 = 0,05 - 0,02 = 0,03(mol)
Vậy sau phản ứng thu được 0,03 mol Fe2(SO4)3 và 0,06 mol FeSO4
Bài 3: Cho x mol Fe tan hoàn toàn trong dung dịch chứa y mol H2SO4 (tỉ lệ x : y = 2 : 5), thu được một sản phẩm khử duy nhất và dung dịch chỉ chứa muối sunfat. Số mol electron do lượng Fe trên nhường khi bị hòa tan là:
A. 3x
B. y
C. 2x
D. 2y
Hướng dẫn:
Do H2SO4 chưa biết nồng độ nên xét 2 trường hợp:
* TH1: H2SO4 loãng:

⇒ loại vì x = y
* TH2: H2SO4 đặc nóng

Ta có: ![]()
Do Fe dư nên tiếp tục xảy ra phản ứng:

Vậy Fe hết
Cuối cùng: Fe → Fe2+ nên ta có:

Áp dụng định luật bảo toàn electron ta có: 2x = y
Đáp án B.
Bài 4: Hoà tan hoàn toàn 12 gam hỗn hợp Fe và Cu (tỉ lệ mol 1:1) bằng axit HNO3, thu được V lít (đktc) hỗn hợp khí X (gồm NO và NO2) và dung dịch Y (chỉ chứa hai muối và axit dư). Tỉ khối của X đối với H2 bằng 19. Giá trị của V là.
A. 2,24
B. 5,60
C. 3,36
D.4,48
Hướng dẫn:
Như vậy đề bài cho axit dư nên 2 muối thu được là Fe3+ và Cu2+
Gọi x là số mol Fe và Cu ta có: 56x + 64 x = 12 ⇒ x = 0,1 mol

Mặt khác:
Đặt x, y là số mol của NO và NO2 thì 30x + 46 y = 38 (x+ y) ⇒ x = y
ne nhận = 3x + y = 4x, ne cho = 0,5 ⇒ 4x = 0,5 . Vậy x = 0,125 mol
V = 0,125.2. 22.4= 5,6 lít (đáp án B)
2. Bài tập trắc nghiệm sắt tác dụng với axit HNO3 và H2SO4 đặc nóng
Bài 1: Cho 20 gam bột Fe vào dung dịch HNO3 và khuấy đến khi phản ứng xong thu V lít khí NO (đkc) và còn 3,2 gam kim loại. Giá trị của V là
A. 2,24 lít
B. 4,48 lít
C. 6,72 lít
D. 5,6 lít
Đáp án: B
Fe còn dư nên dung dịch chỉ gồm Fe2+
Fe + 4HNO3 → Fe(NO3 )3 + NO + 2H2O
Fe + 2Fe(NO3)3 → 3Fe(NO3)2
mFe (pu) = 20 – 3,2 =16,8g ⇒ nFe = 0,3 mol
Fe - 2e → Fe2+
N+5 + 3e → N+2 (NO)
BT e ⇒ 3nNO = 2nFe =2.0,3 = 0,6 mol ⇒ nNO 0,2 mol ⇒ V = 4,48l
Bài 2: Hòa tan hết a gam hỗn hợp X gồm Fe và một oxit sắt trong b gam dung dịch H2SO4 9,8% (lượng vừa đủ), sau phản ứng thu được dung dịch chứa 51,76 gam hỗn hợp hai muối khan. Mặt khác nếu hòa tan hết a gam X bằng dung dịch H2SO4 đặc nóng thì thu được duy nhất 58 gam muối Fe (III). Giá trị của b là
A. 370.
B. 220.
C. 500.
D. 420.
Đáp án: A
nFe = 2. 58/400 = 0,29 mol
nFeSO4 = x , n = yFe2(SO4)3
→ mdd = 152 x + 400y = 51,76
nFe = nFeSO4 + 2. nFe2(SO4)3 = x + 2y = 0,29
→ x = 0,13 mol , y = 0,08 mol
BT S: nH2SO4 = nFeSO4 + 3Fe2(SO4)3 = 0,13 + 3.0,08 = 0,37
→ b = 0,37.98/9,8% = 370g
Bài 3: Thể tích dung dịch HNO3 1M (loãng) ít nhất cần dùng để hoà tan hoàn toàn 18 gam hỗn hợp gồm Fe và Cu trộn theo tỉ lệ mol 1 : 1 là: ( biết phản ứng tạo chất khử duy nhất là NO)
A. 1,0 lít
B. 0,6 lít
C. 0,8 lít
D. 1,2 lít
Đáp án: C
nFe = nCu = 0,15 mol
- Do thể tích dung dịch HNO3 cần dùng ít nhất → muối Fe2+
→ ∑ ne cho = 2.(0,15 + 0,15) = 0,6 mol
- Theo ĐLBT mol electron: nH+ = nHNO3 = (0,6.4) : 3 = 0,8 mol
→ VHNO3 = 0,8 lít
Bài 4: Cho 6,72 gam Fe vào 400 ml dung dịch HNO3 1M, đến khi phản ứng xảy ra hoàn toàn, thu được khí NO (sản phẩm khử duy nhất) và dung dịch X. Dung dịch X có thể hoà tan tối đa m gam Cu. Giá trị của m là:
A. 1,92 gam
B. 3,20 gam
C. 0,64 gam
D. 3,84 gam
Đáp án: A
nFe = 0,12 mol → ne cho = 0,36 mol; nHNO3 = 0,4 mol → ne nhận = 0,3 mol
- Do ne cho > ne nhận → Fe còn dư → dung dịch X có Fe2+ và Fe3+
- Các phản ứng xảy ra là:

→ mCu = 0,03.64 = 1,92 gam
Bài 5: Cho hỗn hợp A gồm 2 gam Fe và 3 gam Cu vào dung dịch HNO3 thấy thoát ra 0,448 lít khí NO duy nhất (đktc). Tính khối lượng muối trong dung dịch thu được.
A. 54g
B. 42g
C. 36g
D. 32g
Đáp án: A
Ta có: nNO = 0,02 (mol); nFe ban đầu = 0,0375 (mol)

Nếu Fe phản ứng hết, số mol electron nhường = 0,0375 × 3= 0,1125 > 0,06 Fe dư, Cu chưa phản ứng với dung dịch HNO3.

Như vậy sau khi phản ứng kết thúc Fe dư, Cu chưa phản ứng muối tạo ta là Fe(NO3)2: mFe(NO3)2 = 0,03 × 180 = 54(gam)
Bài 6: Nung nóng 16,8 gam bột sắt ngoài không khí, sau một thời gian thu được m gam hỗn hợp X gồm các oxit sắt và sắt dư. Hòa tan hết hỗn hợp X bằng H2SO4 đặc nóng thu được 5,6 lít SO2 (đktc). Hãy xác định khối lượng của hỗn hợp X.
A. 40g
B. 20g
C.25g
D.32g
Đáp án: B
Áp dụng bảo toàn electron cho các quá trình oxi hóa và khử tổng hợp từ các giai đoạn của các phản ứng.

Ta có: nFe = 16,8/56 = 0,3(mol); nSO2 = 5,6/22,5 = 0,25(mol)
Theo bảo toàn electron ta có: 4a + 0,5 = 0,9 ⇒ a = 0,1(mol)
Áp dụng định luật bảo toàn khối lượng ta có:
mX = mFe + mO2 = 16,8 + 32a = 16,8 + 32.0,1 = 20(gam)
Bài 7: Hòa tan hoàn toàn 12 gam hỗn hợp Fe và Cu (tỉ lệ mol 1:1) bằng axit HNO3, thu được V lít hỗn hợp X gồm (NO và NO2) và dung dịch Y chỉ chứa 2 muối và axit dư. Tỉ khối hơi của X đối vơi hidro bằng 19. Tính thể tích hỗn hợp khí X.
A. 3,36l
B. 4,48l
C. 5,6l
D. 1,2 l
Đáp án: C
Ta có:
là trung bình cộng nên nNO = nNO2
Trong 12 gam hỗn hợp có 0,1 mol Fe và 0,1 mol Cu
Fe → Fe3+ + 3e Cu → Cu2+ + 2e
⇒ ∑nelectron do chất khử cho = 0,5(mol)

Áp dụng định luật bảo toàn electron: 4x = 0,5 ⇒ x = 0,125(mol)
Vậy: V = 0,125.2.22,4 = 5,6(lít)
Bài 8: Cho hỗn hợp gồm 2 gam Fe và 3 gam Cu vào dung dịch HNO3 thấy thoát ra 0,448 lít khí NO(đktc). Tính khối lượng muối thu được trong dung dịch , biết các phản ứng xảy ra hoàn toàn.
A. 4,5g
B. 3,6g
C. 2,4g
D. 5,4g
Đáp án: D
Phản ứng:
Fe + 4HNO3 → Fe(NO3)3 + NO + 2H2O (1)
Fe + 2Fe(NO3 3 → 3Fe(NO3)2 (2)
Từ (1) ⇒ nFe = nFe(NO3 )3 = nNO = 0,448/22,4 = 0,02(mol)
Từ (2) ⇒ nFe = 1/2 nFe(NO3)2 = 0,01(mol)
nFe(NO3)2 = 3/2 nFe(NO3)3 = 0,03(mol)
nFedu = 0,0375 - 0,02 - 0,01 = 0,0075(mol)
Fe dư nên Cu chưa phản ứng.
⇒ mFe(NO3)3 = 180*0,03 = 5,4(gam)
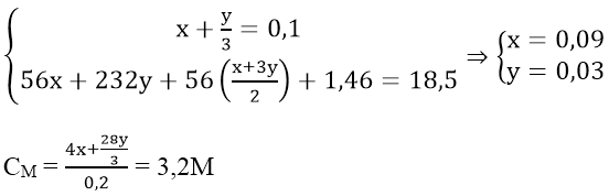
Bài 9: Cho 18,5 gam hỗn hợp X gồm Fe và Fe3O4 tác dụng với 200ml dung dịch HNO3 loãng, đun nóng và khuấy đều. Sau khi phản ứng xảy ra hoàn toàn thu được 2,24 lít khí NO duy nhất (đktc), dung dịch Y và 1,46 gam kim loại. Nồng độ mol của dung dịch HNO3 là:
A. 2M
B. 2,4M
C. 2,5M
D. 3,2M
Đáp án: D

Ta có:

Bài 10: Hòa tan hỗn hợp gồm 0,1 mol Fe và a mol Cu vào dung dịch HNO3 loãng dư thu được 5,6 lít hỗn hợp NO và N2 (đktc) có tỷ khối hơi so với H2 là 14,5. Vậy a có giá trị là:
A. 0,6625
B. 0,6225
C. 0,0325
D. 0,165
Đáp án: A
Gọi x, y là số mol của N2 và NO trong hỗn hợp.
Ta có: 

Ta có: ∑necho = ∑ne nhận ⇒ 0,3 + 2a = 1,25 + 0,375
⇒ a = 0,6625 mol
Mời các bạn tham khảo thêm các bài viết dưới đây của chúng tôi:
- Lý thuyết Crom: Tính chất hóa học, Tính chất vật lí, Điều chế, Ứng dụng
- Lý thuyết: Hợp chất của Crom
- Lý thuyết Sắt: Tính chất hóa học, Tính chất vật lí, Điều chế, Ứng dụng
- Lý thuyết: Hợp kim của sắt
- Lý thuyết Đồng và hợp chất của đồng: Tính chất hóa học, Tính chất vật lí, Điều chế, Ứng dụng
- Chuỗi phản ứng hóa học của sắt, crom
- Nhận biết, điều chế sắt và hợp chất của sắt
Trên đây VnDoc đã giới thiệu tới các bạn Sắt tác dụng với axit HNO3 và H2SO4 đặc nóng. Để có kết quả cao hơn trong học tập, VnDoc xin giới thiệu tới các bạn học sinh tài liệu Giải bài tập Toán lớp 12, Giải bài tập Hóa học lớp 12, Giải bài tập Vật Lí 12, Tài liệu học tập lớp 12 mà VnDoc tổng hợp và đăng tải.