Lý thuyết luyện tập: Mối liên hệ giữa hiđrocacbon và một số dẫn xuất của hiđrocacbon
VnDoc xin giới thiệu tới các bạn tài liệu Lý thuyết luyện tập: Mối liên hệ giữa hiđrocacbon và một số dẫn xuất của hiđrocacbon. Tài liệu đã được VnDoc tổng hợp chính xác sẽ giúp các bạn học tốt Hóa học 12 hiệu quả hơn. Mời các bạn tham khảo.
Luyện tập: Mối liên hệ giữa hiđrocacbon và một số dẫn xuất của hiđrocacbon
I. Mối quan hệ giữa các loại hidrocacbon
1. Chuyển hidrocacbon no thành không no và thơm
a) Phương pháp dehidro hóa
![]()
Ví dụ:

b) Phương pháp crakinh

2. Chuyển hiđrocacbon không no và thơm thành no
a) Phương pháp hiđro hóa không hoàn toàn

b) Phương pháp hiđro hóa hoàn toàn

II. Mối liên hệ giữa hidrocacbon và dẫn xuất chứa oxi của hidrocacbon
1. Chuyển hiđrocacbon trực tiếp thành dẫn xuất chứa oxi
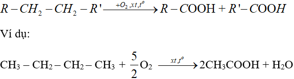
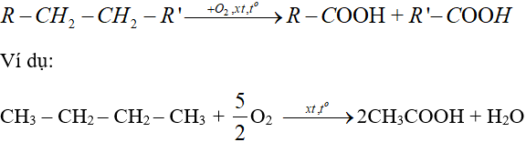
a) Oxi hóa hiđrocacbon ở điều kiện thích hợp: Oxi hóa ankan, aren ở nhiệt độ cao với xúc tác thích hợp thu được dẫn xuất chứa oxi.

b) Hiđrat hóa anken thành ancol

c) Hiđrat hóa ankin tạo thành anđehit hoặc xeton

2. Chuyển hiđrocacbon thành dẫn xuất chứa oxi qua dẫn xuất halogen
a) Thế nguyên tử H bằng nguyên tử halogen rồi thủy phân

b) Cộng halogen hoặc hiđro halogenua vào hiđrocacbon không no rồi thủy phân

3. Chuyển ancol và dẫn xuất halogen thành hiđrocacbon
a) Tách nước từ ancol thành anken

b) Tách hiđro halogenua từ dẫn xuất halogen thành anken

4. Chuyển hóa giữa các dẫn xuất chứa oxi
a) Phương pháp oxi hóa
Oxi hóa nhẹ ancol bậc I, bậc II thì được anđehit, xeton. Oxi hóa mạnh các dẫn xuất chứa oxi thì được axit cacboxylic:

b) Phương pháp khử
- Khử anđehit, xeton thành ancol:

- Khử este thành ancol:

c) Este hóa và thủy phân este

III. Sơ đồ biểu diễn mối quan hệ giữa hidrocacbon và một số dẫn xuất của hidrocacbon

Mời các bạn tham khảo thêm các bài viết dưới đây của chúng tôi:
- Lý thuyết Este: Tính chất hóa học, Tính chất vật lí, Cấu tạo, Điều chế, Ứng dụng
- Lý thuyết Lipit: Tính chất hóa học, Tính chất vật lí, Cấu tạo, Điều chế, Ứng dụng
- Lý thuyết Chất giặt rửa
- Lý thuyết Các phản ứng hóa học của Este, Lipit
Trên đây VnDoc đã giới thiệu tới các bạn Lý thuyết luyện tập: Mối liên hệ giữa hiđrocacbon và một số dẫn xuất của hiđrocacbon. Để có kết quả cao hơn trong học tập, VnDoc xin giới thiệu tới các bạn học sinh tài liệu Giải bài tập Toán lớp 12, Giải bài tập Hóa học lớp 12, Giải bài tập Vật Lí 12, Tài liệu học tập lớp 12 mà VnDoc tổng hợp và đăng tải.