Lý thuyết Vật liệu Polymer: Chất dẻo, tơ, cao su, keo dán
Chuyên đề Hóa học 12 Lý thuyết Vật liệu Polime: Chất dẻo, tơ, cao su, keo dán. Nội dung tài liệu sẽ giúp các bạn giải bài tập Hóa học lớp 12 hiệu quả hơn. Mời các bạn tham khảo.
Lý thuyết Vật liệu Polime:
I. Chất dẻo
1. Khái niệm
- Chất dẻo là những vật liệu polime có tính dẻo.
- Tính dẻo là tính bị biến dạng khi chịu tác dụng của nhiệt, áp lực bên ngoài và vẫn giữ nguyên được sự biến dạng đó khi thôi tác dụng
2. Một số polime dùng làm chất dẻo
a. Polietilen (PE)


PE là chất dẻo mềm, nóng chảy ở nhiệt độ lớn hơn 110oC, có tính trơ tương đối của ankan mạch dài, dùng làm màng mỏng, bình chứa, túi đựng, ...
b. Poli (vinyl clorua) (PVC)

PVC là chất vô định hình, cách điện tốt, bền với axit, dùng làm vật liệu điện, ống dẫn nước, vải che mưa, da giả, ...
c. Poli (metyl metacrylat)
+ Poli(metyl metacrylat) có đặc tính trong suốt cho ánh sáng truyền qua tốt (trên 90%) nên được dùng để chế tạo thủy tinh hữu cơ plexiglas.
+ Poli(metyl metacrylat) được điều chế từ metyl metacrylat bằng phản ứng trùng hợp:

d. Poli (phenol - fomanđehit) (PPF)
PPF có 3 dạng: nhựa novolac, nhựa rezol, nhựa rezit.
- Nhựa novolac:
+ Nhựa novolac là chất rắn, dễ nóng chảy, dễ tan trong một số dung môi hữu cơ, dùng để sản xuất vecni, sơn,...
+ Đun nóng hỗn hợp fomanđehit và phenol lấy dư với xúc tác axit được nhựa novolac (mạch không phân nhánh)

- Nhựa rezol:
+ Nhựa rezol là chất rắn, dễ nóng chảy, dễ trong nhiều dung môi hữu cơ, dùng để sản xuất sơn, keo và nhựa rezit,...
+ Đun nóng hỗn hợp phenol và fomanđehit theo tỉ lệ mol 1: 1,2 với xúc tác là kiềm ta được nhựa rezol (mạch không phân nhánh) nhưng có một số nhóm –CH2OH còn tự do ở vị trí số 4 hoặc 2 của nhân phenol:

- Nhựa rezit:
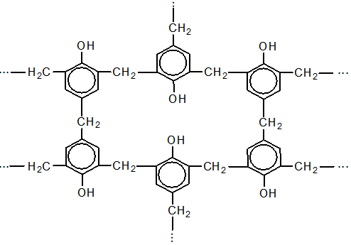
+ Đun nóng nhựa rezol ở 150oC được nhựa rezit (hay nhựa bakelit) có cấu trúc mạng lưới không gian.
+ Không nóng chảy, không tan trong nhiều dung môi hữu cơ, dùng sản xuất đồ điện, vỏ máy ...
II. Tơ
1. Khái niệm
Tơ là những vật liệu polime hình sợi dài và mảnh với độ bền nhất định.
2. Phân loại
| Loại tơ | Nguồn gốc | Ví dụ | |
| Tơ tự nhiên | Có sẵn trong thiên nhiên, được sử dụng trực tiếp | Bông, len, tơ tằm | |
| Tơ hóa học | Tơ tổng hợp | Polime được tổng hợp bằng phản ứng hóa học | Tơ poliamit (nilon, capron), tơ vinylic (nitron, vinilon), tơ lapsan... |
| Tơ bán tổng hợp hay nhân tạo | Chế biến polime thiên nhiên bằng phương pháp hóa học | Tơ visco, tơ xenlulozo axetat... | |
3. Một số loại tơ tổng hợp thường gặp
a. Tơ nilon-6,6
+ Tơ nilon-6,6 thuộc loại tơ poliamit vì các mắt xích nối với nhau bằng các nhóm amit –CO–NH–
+ Tơ nilon-6,6 có tính dai bền, mềm mại óng mượt, ít thấm nước, giặt mau khô nhưng kém bền với nhiệt, với axit và kiềm.
+ Nilon-6,6 được điều chế từ hexametylen điamin H2N[CH2]6NH2 và axit ađipit (axit hexanđioc):

+ Tơ nilon-6,6 cũng như nhiều loại tơ poliamit khác được dùng để dệt vải may mặc, vải lót săm lốp xe, dệt bít tất, bện làm dây cáp, dây dù, đan lưới,...
b. Tơ lapsan
+ Tơ lapsan rất bền về mặt cơ học, bền đới với nhiệt, axit, kiềm hơn nilon, được dùng đề dệt vải may mặc.
+ Tơ lapsan thuộc loại tơ polieste được tổng hợp từ axit terephtalic và etylen glicol.

c. Tơ nitron (hay olon)
+ Tơ nitron dai, bền với nhiệt và giữ nhiệt tốt nên thường được dùng để dệt vải may quần áo hoặc bện thành sợi len đan áo rét.
+ Tơ nitron thuộc loại tơ vinylic được tổng hợp từ vinyl xianua (hay acrilonitrin) nên được gọi poliacrilonitrin:
![]()
III. Cao su
1. Khái niệm
- Cao su là vật liệu polime có tính đàn hồi
- Cao su có tính đàn hồi. Tính đàn hồi là tính biến dạng khi chịu lực tác dụng bên ngoài và trở lại dạng ban đầu khi lực đó thôi tác dụng.
2. Phân loại
Có hai loại cao su: Cao su thiên nhiên và cao su tổng hợp.
a. Cao su thiên nhiên
Cao su thiên nhiên là polime của isopren:

n = 1500 – 15000
b. Cao su tổng hợp
+ Cao su buna
• Cao su buna chính là polibutađien tổng hợp bằng phản ứng trùng hợp buta-1,3-đien có mặt Na:

• Cao su buna có tính đàn hồi và độ bền kém cao su thiên nhiên.
Lưu ý:
• Khi đồng trùng hợp buta-1,3-đien với stiren C6H5CH=CH2 có mặt Na ta được cao su buna-S có tính đàn hồi cao.
• Khi đồng trùng hợp buta-1,3-đien với acrilonitrin CNCH=CH2 có mặt Na, ta được cao su buna-N có tính chống dầu cao.
+ Cao su isopren
• Khi trùng hợp isopren có hệ xúc tác đặc biệt, ta được poliisopren gọi là cao su isopren:

• Các polime này đều có đặc tính đàn hồi nên được gọi là cao su cloropren và cao su floropren. Chúng bền với dầu mỡ hơn cao su isopren.
IV. Keo dán
1. Khái niệm
- Keo dán là loại vật liệu có khả năng kết dính hai mảnh vật liệu giống nhau mà không làm biến đổi bản chất các vật liệu được kết dính.
- Bản chất của keo dán là có thể tạo ra màng hết sức mỏng, bền vững (kết dính nội) và bám chắc vào hai mảnh vật liệu được dán (kết dính ngoại).
2. Phân loại
- Theo bản chất hóa học: có keo dán hữu cơ như hồ tinh bột, keo epoxi,... và keo dán vô cơ như thủy tinh lỏng, matit vô cơ (hỗn hợp dẻo của thủy tinh lỏng với các oxit kim loại như ZnO, MnO, Sb2O3 ...)
- Theo dạng keo: có keo lỏng (như dung dịch hồ tinh bột trong nước nóng, dung dịch cao su trong xăng ...), keo nhựa dẻo (như matit vô cơ, matit hữu cơ, bitum,...) và keo dán dạng bột hay bản mỏng (chảy ra ở nhiệt độ thích hợp và gắn kết hai mảnh vật liệu lại khi để nguội).
V. Một số phản ứng hóa học thường gặp của vật liệu Polime
1. Nhựa
a. Nhựa PE

b. Nhựa PVC

c. Nhựa PS

d. Nhựa PVA

Thuỷ phân PVA trong môi trường kiềm thu được poli vinylic:

e. Nhựa PMM (thuỷ tinh hữu cơ - plexiglas)

f. Nhựa PPF
Poli (phenol - fomanđehit) (PPF) có 3 dạng: nhựa novolac, nhựa rezol, nhựa rezit.
- Nhựa novolac: Nếu dư phenol và xúc tác axit.

- Nhựa rezol: Nếu dư fomanđehit và xúc tác bazơ.

- Nhựa rezit (nhựa bakelít): Nhựa rezol nóng chảy (150oC) và để nguội thu được nhựa có cấu trúc mạng lưới không gian.

2. Cao su
a. Cao su buna

b. Cao su isopren

c. Cao su buna – S

d. Cao su buna – N

e. Cao su clopren

f. Cao su flopren

3. Tơ
a. Tơ capron (nilon-6)

b. Tơ enang (nilon-7)
![]()
c. Tơ nilon-6,6

d. Tơ clorin

e. Tơ dacron (lapsan)

f. Tơ nitron (hay olon)
![]()